A Computational Approach to the Prediction of the Floating Condition of ROPAX Vessel after Firewater Accumulation in Firefighting Operation
Abstract
1. Introduction
2. Mathematic Formulation and Computational Approach
2.1. Firewater Accumulation
2.2. Firewater Accumulation without a Persistent Heeling Angle
2.3. Firewater Accumulation with a Persistent Heeling Angle
2.4. A Time-Dependent Prediction of Floating Condition of Roll On/Roll Off Cargo (ROPAX) Vessels after Firewater Accumulation on the Vehicle Deck
3. The Firewater Accumulation in the Accident of the M/V Dashun
3.1. Fire Water Accumulation
3.2. The Accident of the M/V Dashun
4. Discussion
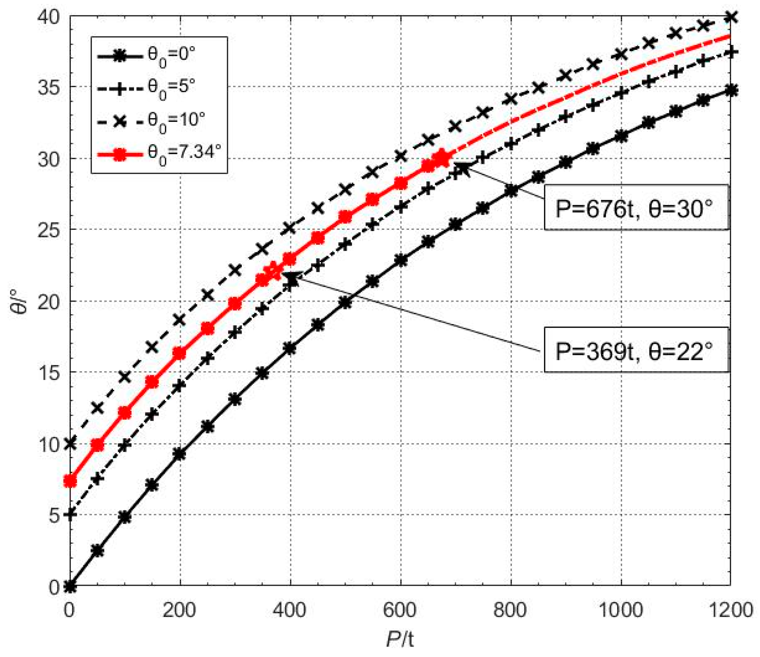
4.1. A Critical Static Heeling Angle for Firefighting Operation with Water
4.2. The Guidelines of the International Maritime Organization (IMO) and the Problems at Present
5. Conclusions
Author Contributions
Funding
Conflicts of Interest
References
- Endrina, N.; Rasero, J.C.; Konovessis, D. Risk analysis for RoPax vessels: A case of study for the Strait of Gibraltar. Ocean Eng. 2018, 151, 141–151. [Google Scholar] [CrossRef]
- Wilson, P.A. Basic Naval Architecture Ship Stability, 1st ed.; Springer International Publishing AG: Gewerbestrasse, Switzerland, 2018; pp. 141–142. [Google Scholar]
- China Maritime Safety Agency. Books for Marine Investigators—Investigation and Analysis of Typical Shipping Accidents, 1st ed.; Dalian Maritime University Press: Dalian, China, 2003; pp. 88–126. [Google Scholar]
- Sun, H. The Mathematical Model of Ship’s Stability in Waves and Its Application in Ro-Ro Ships. Master’s Thesis, Dalian Maritime University, Dalian, China, 2002. [Google Scholar]
- Jiang, H.; Tian, B. Stability analysis of the capsizing accident of ROPAX vessel Dashun. In Proceedings of Nautical Science and Technology of Dalian Institute of Navigation; Chen, D., Ed.; Dalian Maritime University Press: Dalian, China, 2002; pp. 143–147. [Google Scholar]
- Garibaldi, R.; Smith, N. Preliminary Investigation Report on the Sinking of MV AL-SALAM-BOCCACCIO-98; Panama Maritime Authority: Panama City, Republic of Panama, 2006; pp. 1–3. [Google Scholar]
- Skjong, R. Report FSA of HLA on Passenger Vessels—Annex I Passenger Vessel Evacuation Descriptions; DNV-GL: Oslo, Norway, 1999; pp. 5–26. [Google Scholar]
- Dalian Maritime Safety Agency. Case analysis of firefighting assistance and emergency management of M/V Liaohai. China Emerg. Manag. 2004, 5, 34–38. [Google Scholar]
- Marine Accident Investigation Branch (MAIB). Report on the Investigation of the Fire on the Main Vehicle Deck of Commodore Clipper; MAIB: Southampton, UK, 2011; pp. 13–39. [Google Scholar]
- Federal Bureau of Maritime Casualty Investigation (FBMCI). Investigation Report of Fire on the Ro-Ro Passenger Vessel LISCO GLORIA; FBMCI: Hamburg, Germany, 2012; pp. 30–128. [Google Scholar]
- Vassalos, D. The water on deck problem of damaged RO-RO ferries. In Contemporary Ideas on Ship Stability; Elsevier Science Ltd.: Okford, UK, 2000; pp. 163–185. [Google Scholar]
- Pawłowski, M. A modified static equivalency method for Roll-on/Roll-off vessels. J. Ship Res. 2007, 51, 39–46. [Google Scholar]
- Krueger, S.; Nafouti, O.; Mains, C. A New Approach for the Water-On-Deck-Problem of RoRo-Passenger Ships. In Proceedings of the 12th International Conference on the Stability of Ships and Ocean Vehicles (STAB 2015), Glasgow, UK, 14–19 June 2015; University of Strathclyde: Glasgow, UK, 2015; pp. 215–225. [Google Scholar]
- Lee, D.; Lee, S.S.; Park, B.J.; Kim, S.Y. A study on the framework for survivability assessment system of damaged ships. Ocean Eng. 2005, 32, 1122–1132. [Google Scholar] [CrossRef]
- Jasionowski, A. Decision support for ship flooding crisis management. Ocean Eng. 2011, 38, 1568–1581. [Google Scholar] [CrossRef]
- Choi, J.; Lee, D.; Kang, H.J.; Kim, S.Y.; Shin, S.C. Damage scenarios and onboard support system for damaged ships. Int. J. Nav. Archit. Ocean Eng. 2014, 6, 236–244. [Google Scholar] [CrossRef]
- Spanos, D.; Papanikolaou, A. On the time for the abandonment of flooded passenger ships due to collision damages. J. Mar. Sci. Technol. 2014, 19, 327–337. [Google Scholar] [CrossRef]
- Varela, J.M.; Rodrigues, J.M.; Guedes Soares, C. On-board decision support system for ship flooding emergency response. Procedia Comput. Sci. 2014, 29, 1688–1700. [Google Scholar] [CrossRef]
- Kang, H.J.; Kim, I.; Choi, J.; Lee, G.J.; Park, B.J. A concept study for the buoyancy support system based on the fixed fire-fighting system for damaged ships. Ocean Eng. 2018, 155, 361–370. [Google Scholar] [CrossRef]
- Ruponen, P.; Pulkkinen, A.; Laaksonen, J.A. A method for breach assessment onboard a damaged passenger ship. Appl. Ocean Res. 2017, 64, 236–248. [Google Scholar] [CrossRef]
- International Maritime Organization (IMO). Guidelines for Flooding Detection Systems on Passenger Ships; IMO: London, UK, 2008. [Google Scholar]
- Ruponen, P. Progressive Flooding of a Damaged Passenger Ship. Ph.D. Thesis, Helsinki University of Technology, Espoo, Finland, 2007. [Google Scholar]
- Gao, Z.; Wang, Y.; Su, Y.; Chen, L. Numerical study of damaged ship’s compartment sinking with air compression effect. Ocean Eng. 2018, 147, 68–76. [Google Scholar] [CrossRef]
- Braidotti, L.; Mauro, F. A new calculation technique for onboard progressive flooding simulation. Ship Tech. Res. 2019, 66, 150–162. [Google Scholar] [CrossRef]
- Pawłowski, M. Accumulation of water on the vehicle deck. Proc. Inst. Mech. Eng. Part M J. Eng. Marit. Environ. 2003, 217, 201–211. [Google Scholar] [CrossRef]
- Fujiwara, T.; Haraguchi, T. Roll Motion of Ro-Ro Passenger Ship with Flooded Vehicle Deck. Int. J. Offshore Polar Eng. 2005, 15, 109–116. [Google Scholar]
- Fujiwara, T.; Haraguchi, T. On Estimation of Ship Rolling Motion with Flooded Water on Vehicle Deck. In Proceedings of the 12th International Offshore and Polar Engineering Conference (ISOPE2002), Kitakyushu, Japan, 26–31 May 2002; International Society of Offshore and Polar Engineers: Cupertino, CA, USA, 2002. [Google Scholar]
- International Maritime Organization (IMO). The International Convention for the Safety of Life at Sea (Consolidated Edition 2014), 6th ed.; IMO: London, UK, 2014; p. 64. [Google Scholar]
- White, F.M. Pressure Distribution in a Fluid. In Fluid Mechanics, 8th ed.; McGraw-Hill: Boston, MA, USA, 2016; pp. 362–385. [Google Scholar]
- Wang, S. Lessons learned from major maritime accident of “11.24”. Mar. Technol. 2001, 1, 5–6. [Google Scholar]
- Zheng, X. The sinking of M/V Dashun. Labour Prot. 2000, 11, 6–12. [Google Scholar]
- Kendrick, A.; Molyneux, W.D.; Taschereau, A.; Peirce, T. Exploration of the applicability of the static equivalence method using experimental data. In Contemporary Ideas on Ship Stability; Elsevier Science Ltd.: Okford, UK, 2000; pp. 303–313. [Google Scholar]
- Pawłowski, M.; Tuzcu, C. The stability of a damaged roll-on roll-off vessel with water on deck. Proc. Inst. Mech. Eng. Part M J. Eng. Marit. Environ. 2009, 223, 211–226. [Google Scholar] [CrossRef]
- Salem, A. Vehicle-deck fires aboard RoPax ships: A comparison between numerical modelling and experimental results. Pol. Marit. Res. 2019, 26, 155–162. [Google Scholar] [CrossRef]
- International Maritime Organization (IMO). Guidelines for the Drainage of Fire-Fighting Water from Closed Vehicle and Ro-Ro Spaces and Special Category Spaces of Passenger and Cargo Ships; IMO: London, UK, 2009. [Google Scholar]
- Veritas, D.N. Fires on Ro-Ro Decks; DNV: Oslo, Norway, 2005; pp. 1–3. [Google Scholar]
- Ruponen, P.; Manderbacka, T.; Lindroth, D. On the calculation of the righting lever curve for a damaged ship. Ocean Eng. 2018, 149, 313–324. [Google Scholar] [CrossRef]
- Gao, Q.; Vassalos, D. Numerical study of damage ship hydrodynamics. Ocean Eng. 2012, 55, 199–205. [Google Scholar] [CrossRef]
- Acanfora, M.; Cirillo, A. On the development of a fast modeling of floodwater effects on ship motions in waves. Proc. Inst. Mech. Eng. Part M J. Eng. Marit. Environ. 2017, 231, 877–887. [Google Scholar] [CrossRef]
- Acanfora, M.; Begovic, E.; De Luca, F. A Fast Simulation Method for Damaged Ship Dynamics. J. Mar. Sci. Technol. 2019, 7, 111. [Google Scholar] [CrossRef]












| Ship Name | Date | Location | Accident Description |
|---|---|---|---|
| Angelina Lauro [7] | 30 March 1979 | Caribbean | The vessel was heavily heeled due to firewater accumulation, and while under towage, finally sank. |
| Farah II [7] | 06 March 1986 | Neweiba, Egypt | The vessel listed due to the water pumped on board to fight a fire. The vessel capsized in the Gulf of Aqaba after being towed away from the berth. |
| Dronning Margrethe II [7] | 14 March 1991 | Rødbyhavn | After being flooded due to a collision, the vessel was further damaged by firewater, which caused the heeling to be out of control. The vessel was finally grounded. |
| Pegasus [7] | 02 June 1991 | Venice | The vessel sank to the sea bed due to firewater accumulation, and later, was declared as a total loss. |
| Albatros [7] | 22 May 1995 | Red Sea | The engine room was partly flooded with firewater, and the boilers were shut down. The vessel was drifted to port. |
| Romantica [7] | 04 October 1997 | Mediterranean | Firewater caused the vessel to heel to 10° and later to 30°. The vessel was towed into port. |
| Shenglu [3] | 17 October 1999 | Bohai Sea, China | A fire was started by the collision of two trucks on the vehicle deck during an improper ship handling operation. The entire drencher system on the deck was started later. Too much water accumulated on vehicle deck due to the blockage of the scuppers. The vessel was finally sunk. Two people were reported as missing. |
| Dashun [3] | 24 November 1999 | Bohai Sea, China | The vessel was heavily heeled due to firewater accumulation on the vehicle deck, and finally sunk in combination with other reasons. A total of 282 people died. |
| Liaohai [8] | 16 November 2004 | Sanshan Island of Dalian, China | The onboard water-drencher system broke down immediately after being started. A foreign firefighting assistance was deployed and engaged by local authority. The maximum heeling angle due to firewater accumulation was controlled within 15° on the starboard side. The fire was successfully put out. |
| Al salam98 [6] | 03 February 2006 | Red Sea | The accumulation of a large amount of water coupled with weather conditions finally caused an excessive heeling of the vessel towards starboard. A total of 1031 people died. |
| Commodore Clipper [9] | 16 June 2010 | On passage to Portsmouth, UK | Firefighting efforts were suspended due to the blockage of vehicle deck scuppers. The firewater accumulated on deck reduced the vessel’s stability. |
| LISCO GLORIA [10] | 08 October 2010 | NW of Fehmarn, Germany | The scuppers had become partly clogged with debris from a fire, resulting in the firewater being trapped on the upper deck, which caused the ferry to heel to the port side. The vessel was declared as a constructive total loss. A total of 28 people injured. |
| Item | Value |
|---|---|
| Pipe length, l | 5.80 m |
| Pipe diameter, dr | 0.125 m |
| Roughness, ε | 0.003 m |
| Coefficient of viscosity, μ | 0.00089 kg/(m s) |
| Seawater density, ρ | 1025 kg/m3 |
| Initial freeboard of vehicle deck D, F0 | 1.87 m |
| Acceleration due to gravity, g | 9.81 m/s2 |
| Number of valves, a1 | 2 |
| Number of elbows, a2 | 1 |
| Number of inlets, a3 | 1 |
| Number of outlets, a4 | 1 |
| Coefficient of valve loss, k1 | 2 |
| Coefficient of elbow loss, k2 | 0.64 |
| Coefficient of inlet loss, k3 | 0.5 |
| Coefficient of outlet loss, k4 | 1.0 |
| Item | Value |
|---|---|
| Actual displacement, Δ | 6451.00 t |
| Actual draught, T | 4.83 m |
| Ship length, L | 115.00 m |
| Molded depth, D | 11.55 m |
| Vehicle deck D length, Lc | 104.00 m |
| Vehicle deck D breadth, B | 20.00 m |
| Height of center of gravity, KG | 8.60 m |
| Vehicle deck height, KP | 6.70 m |
| Initial metacentric height, GM | 1.45 m |
| Tonnage per centimeter, TPC | 20.23 t/cm |
| permeability of the cargo space, μp | 0.9 |
| Longitudinal step length, δli | 0.01 m |
| Transverse step length, δywj | 0.01 m |
| Local Time | Fire Fighting Operation | Floating Condition |
|---|---|---|
| 1520 | The vessel encountered heavy beam waves and thus suffered a heavy rolling. Vehicles on deck D were shifted to port side. | 7.34° (port side) [5] |
| 1621 | Fire occurred on vehicle deck D. The Water-drencher system on the deck was stared manually on bridge. Four fire hoses were also engaged for firefighting minutes later. | 7.34° (port side) [5] |
| 1630 | Fire spread to vehicle deck C. Water-drencher system on vehicle deck C was also stared. The total volumetric flow into vehicle deck C and vehicle deck D was 700 m3/h at least. Such amount of firewater was not stopped until the power of fire pumps was accidentally cut off at 2300. Most of the firewater was sprayed into vehicle deck D. Obvious firewater was found accumulated on vehicle deck D. | No record |
| 1921 | Firefighting operations continued. | Approximately 22° (port side) [31] |
| 1930 | Firefighting operations continued. To keep the vessel upright, a balancing operation was undertaken by discharging a ballast tank on the port side until empty and adding ballast water to all the tanks available on the starboard side. | Approximately 30° (port side) [5] |
| 2220 | Firefighting operations continued. | Greater than 35° (port side) |
| 2230 | Firefighting operations continued. Water flooded into the vessel due to rolling. | No record |
| 2300 | Firefighting pumps were stopped due to pump power failure. | No record |
| 2338 | The vessel capsized. The final position was 35°28′5″ N, 121°47′6″ E, only 1.5 nm to the coast of Yantai city of China. | Capsized to port side |
© 2020 by the authors. Licensee MDPI, Basel, Switzerland. This article is an open access article distributed under the terms and conditions of the Creative Commons Attribution (CC BY) license (http://creativecommons.org/licenses/by/4.0/).
Share and Cite
Wang, H.; Wu, Z. A Computational Approach to the Prediction of the Floating Condition of ROPAX Vessel after Firewater Accumulation in Firefighting Operation. J. Mar. Sci. Eng. 2020, 8, 30. https://doi.org/10.3390/jmse8010030
Wang H, Wu Z. A Computational Approach to the Prediction of the Floating Condition of ROPAX Vessel after Firewater Accumulation in Firefighting Operation. Journal of Marine Science and Engineering. 2020; 8(1):30. https://doi.org/10.3390/jmse8010030
Chicago/Turabian StyleWang, Honggui, and Zhaolin Wu. 2020. "A Computational Approach to the Prediction of the Floating Condition of ROPAX Vessel after Firewater Accumulation in Firefighting Operation" Journal of Marine Science and Engineering 8, no. 1: 30. https://doi.org/10.3390/jmse8010030
APA StyleWang, H., & Wu, Z. (2020). A Computational Approach to the Prediction of the Floating Condition of ROPAX Vessel after Firewater Accumulation in Firefighting Operation. Journal of Marine Science and Engineering, 8(1), 30. https://doi.org/10.3390/jmse8010030

