Numerical Investigation of the Semi-Active Flapping Foil of the Wave Glider
Abstract
:1. Introduction
2. Problem Description and Methodology
2.1. Problem Description
2.2. Numerical Method and Validation
3. Results and Discussion
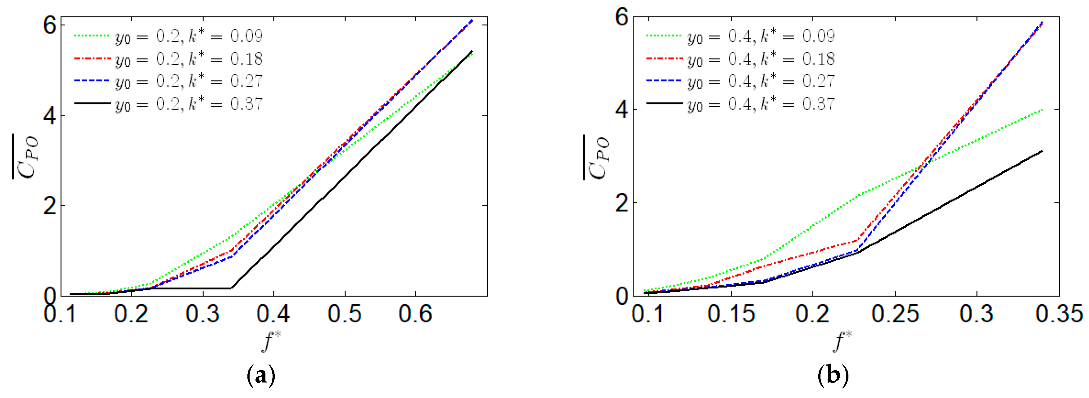
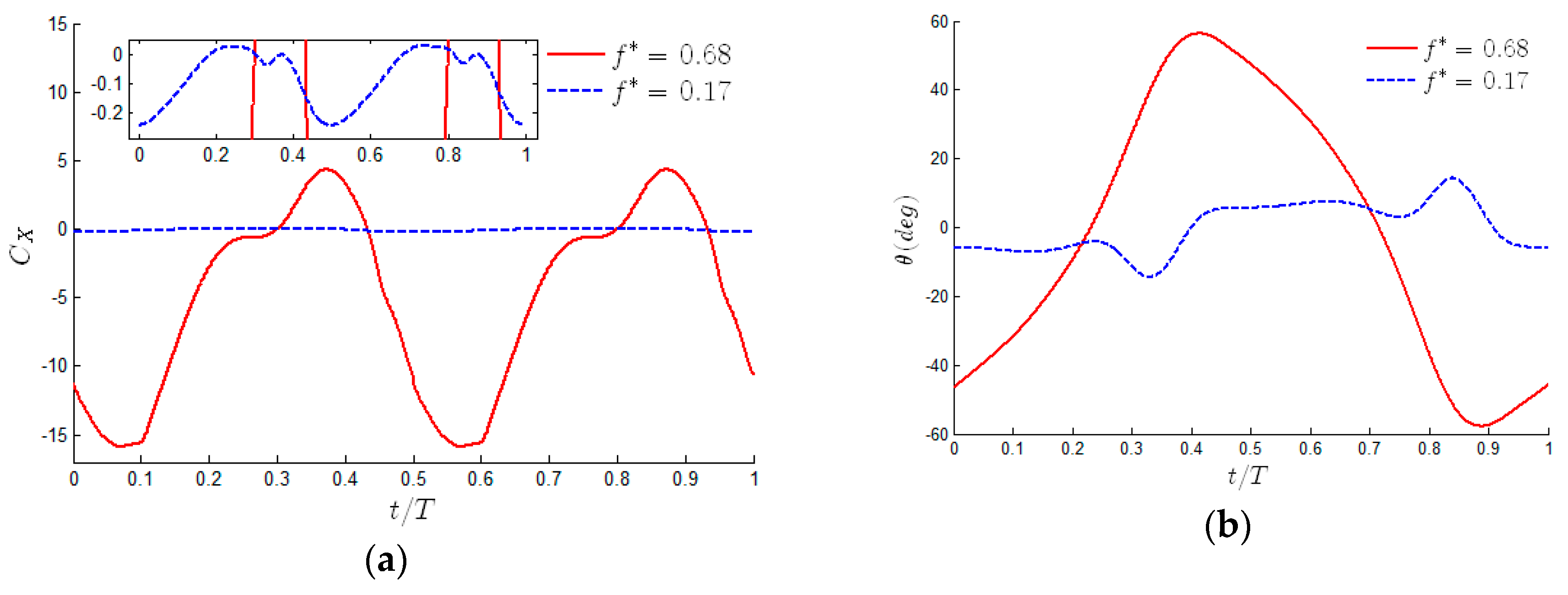
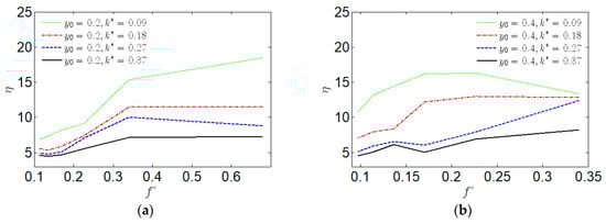
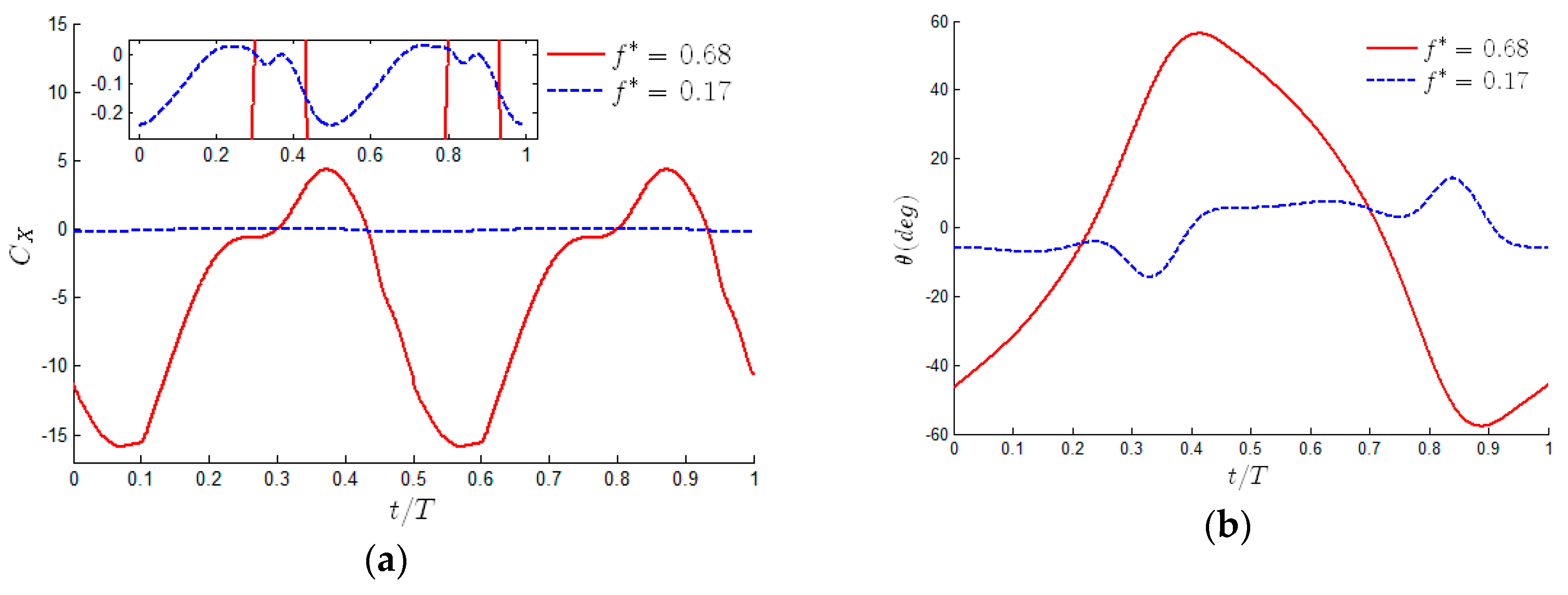
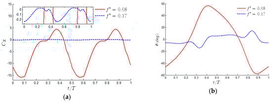
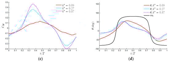
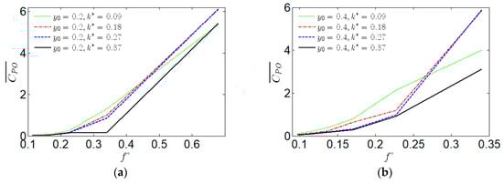
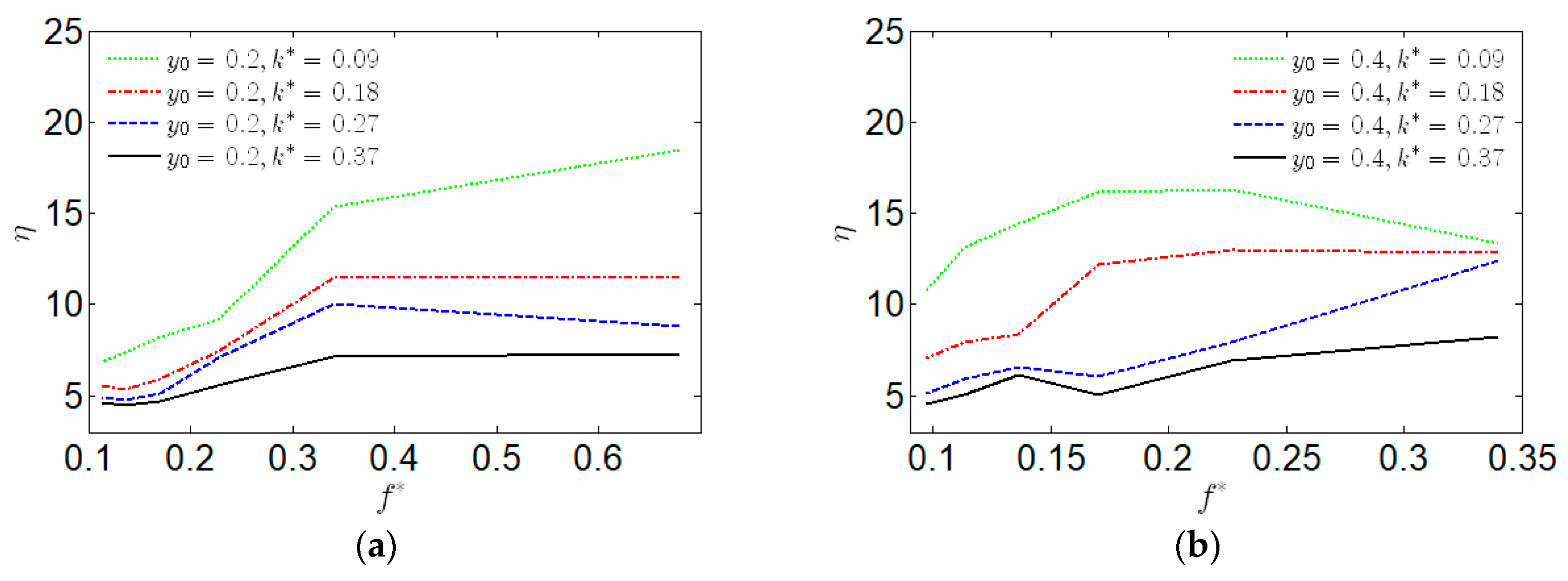
3.1. The Influence of the Reduced Frequency
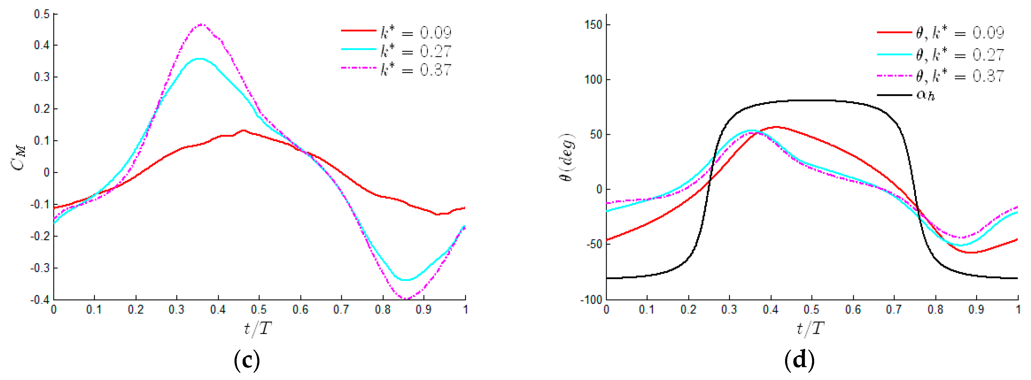
3.2. The Influence of the Spring Stiffness
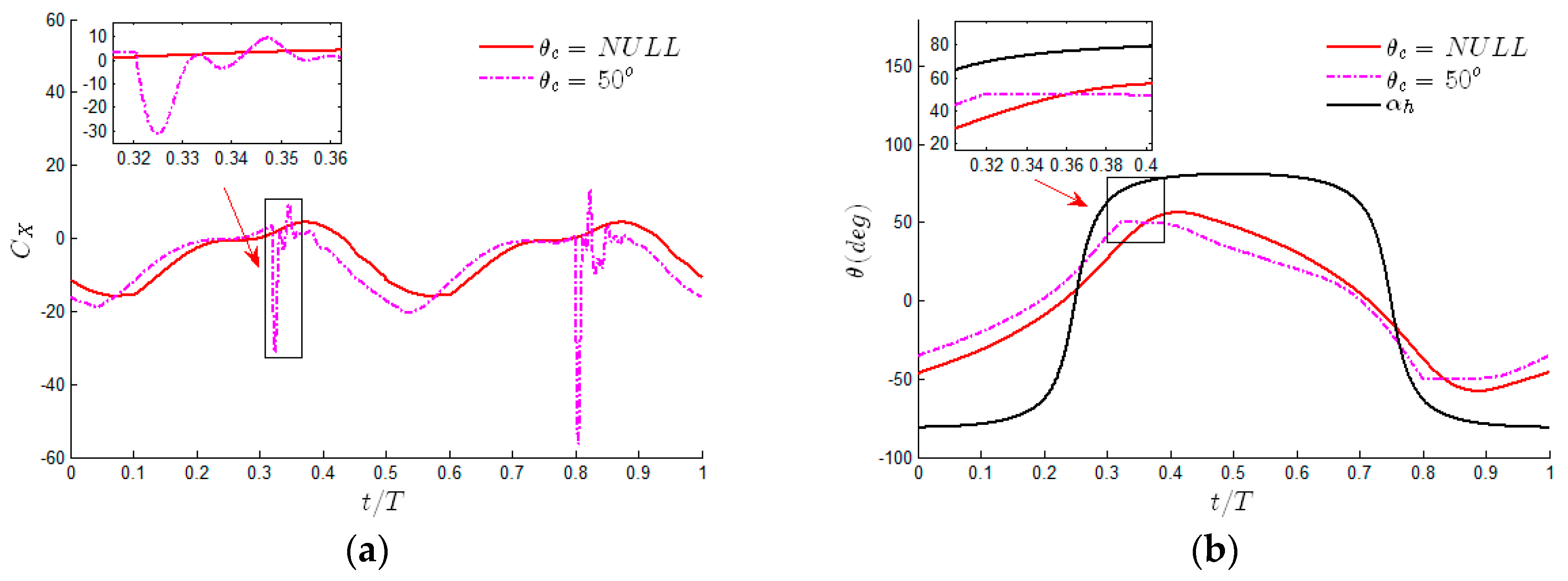
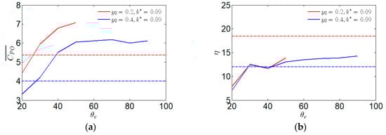
3.3. The Influence of the Critical Pitching Amplitude
4. Conclusions
Author Contributions
Funding
Acknowledgments
Conflicts of Interest
Appendix A


| Turbulence Model | Mesh | Time-Step | Mean Error (%) | |
|---|---|---|---|---|
| Spalart–Allmaras | Medium-1 grid | 5000 ts | −2.9692 | −1.8 |
| SST with low-Re corrections | Medium-1 grid | 5000 ts | −3.0238 | --- |
| SST | Medium-1 grid | 5000 ts | −2.9987 | −0.8 |
References
- Daniel, T.; Manley, J.; Trenaman, N. The Wave Glider: Enabling a new approach to persistent ocean observation and research. Ocean Dyn. 2011, 61, 1509–1520. [Google Scholar] [CrossRef]
- Hine, R.; Willcox, S.; Hine, G.; Richardson, T. The Wave Glider: A Wave-Powered Autonomous Marine Vehicle. In Proceedings of the OCEANS 2009, Biloxi, MS, USA, 26–29 October 2009; pp. 1–6. [Google Scholar] [CrossRef]
- Manley, J.; Willcox, S. The Wave Glider: A New Concept for Deploying Ocean Instrumentation. IEEE Instrum. Meas. Mag. 2010, 13, 8–13. [Google Scholar] [CrossRef]
- Qi, Z.F.; Liu, W.X.; Jia, L.J.; Qin, Y.F.; Sun, X.J. Dynamic Modeling and Motion Simulation for Wave Glider. Appl. Mech. Mater. 2013, 397–400, 285–290. [Google Scholar] [CrossRef]
- Qi, Z.; Zhai, J.; Li, G.; Peng, J. Effects of non-sinusoidal pitching motion on the propulsion performance of an oscillating foil. PLoS ONE 2019, 14, e0218832. [Google Scholar] [CrossRef] [PubMed]
- Yang, F.; Shi, W.; Xu, Z.; Guo, B.; Wang, D. Numerical investigation of a wave glider in head seas. Ocean Eng. 2018, 164, 127–138. [Google Scholar] [CrossRef] [Green Version]
- Kraus, N.D. Wave Glider Dynamic Modeling, Parameter Identification and Simulation; University of Hawaii: Honolulu, HI, USA, 2012. [Google Scholar]
- Kraus, N.; Bingham, B. Estimation of wave glider dynamics for precise positioning. Oceans 2011, 2011, 1–9. [Google Scholar]
- Bing, H.Z.; Xu, C.Y.; Chao, L.Y.; Jia, W.C. The Effect of Attack Angle in the performance of Wave Glider Wings. Appl. Mech. Mater. 2015, 727–728, 587–591. [Google Scholar]
- Liu, P.; Su, Y.M.; Liao, Y.L. Numerical and experimental studies on the propulsion performance of a Wave Glide propulsor. China Ocean Eng. 2016, 30, 393–406. [Google Scholar] [CrossRef]
- Smith, R.; Das, J.; Hine, G.; Anderson, W. Predicting Wave Glider speed from environmental measurements. Oceans 2012, 2012, 1–8. [Google Scholar]
- Griffith, J. Long Term Autonomous Ocean Remote Sensing Using the Wave Glider. In Proceedings of the AGU Fall Meeting, San Francisco, CA, USA, 9–13 December 2012. [Google Scholar]
- Ngo, P.; Al-Sabban, W.; Thomas, J.; Anderson, W.; Das, J.; Smith, R.N. An Analysis of Regression Models for Predicting the Speed of a Wave Glider Autonomous Surface Vehicle. In Proceedings of the Australasian Conference on Robotics and Automation, Sydney, Australian, 2–4 December 2013. [Google Scholar]
- Tian, B.; Yu, J.; Zhang, A.; Zhang, F.; Chen, Z.; Kai, S. Dynamics analysis of wave-driven unmanned surface vehicle in longitudinal profile. Oceans 2014, 2014, 1–6. [Google Scholar]
- Li, J.J.; Xuan, M.Z.; Zhan, F.Q.; Yu, F.Q.; Xiu, J.S. Hydrodynamic Analysis of Submarine of the Wave Glider. Adv. Mater. Res. 2014, 834–836, 1505–1511. [Google Scholar] [CrossRef]
- Lee, J.; Choi, H.; Kim, H.Y. A scaling law for the lift of hovering insects. J. Fluid Mech. 2015, 782, 479–490. [Google Scholar] [CrossRef] [Green Version]
- Shyy, W.; Aono, H.; Chimakurthi, S.K.; Trizila, P.; Kang, C.K.; Cesnik, C.E.S.; Liu, H. Recent progress in flapping wing aerodynamics and aeroelasticity. Prog. Aerosp. Sci. 2010, 46, 284–327. [Google Scholar] [CrossRef]
- Anderson, J.M.; Streitlien, K.; Barrett, D.S.; Triantafyllou, M.S. Oscillating foils of high propulsive efficiency. J. Fluid Mech. 1998, 360, 41–72. [Google Scholar] [CrossRef] [Green Version]
- Triantafyllou, G.S.; Triantafyllou, M.S.; Grosenbaugh, M.A. Optimal Thrust Development in Oscillating Foils with Application to Fish Propulsion. J. Fluids Struct. 1993, 7, 205–224. [Google Scholar] [CrossRef]
- Thaweewat, N.; Phoemsapthawee, S.; Juntasaro, V. Semi-active flapping foil for marine propulsion. Ocean Eng. 2018, 147, 556–564. [Google Scholar] [CrossRef]
- Floc’h, F.; Phoemsapthawee, S.; Laurens, J.M.; Leroux, J.B. Porpoising foil as a propulsion system. Ocean Eng. 2012, 39, 53–61. [Google Scholar] [CrossRef]
- Wu, T.Y. Hydromechanics of swimming propulsion. Part 2. Some optimum shape problems. J. Fluid Mech. 1971, 46, 521–544. [Google Scholar] [CrossRef] [Green Version]
- Schouveiler, L.; Hover, F.S.; Triantafyllou, M.S. Performance of flapping foil propulsion. J. Fluids Struct. 2005, 20, 949–959. [Google Scholar] [CrossRef]
- Lin, X.; Wu, J.; Zhang, T. Performance investigation of a self-propelled foil with combined oscillating motion in stationary fluid. Ocean Eng. 2019, 175, 33–49. [Google Scholar] [CrossRef]
- Das, A.; Shukla, R.K.; Govardhan, R.N. Existence of a sharp transition in the peak propulsive efficiency of a low-Re pitching foil. J. Fluid Mech. 2016, 800, 307–326. [Google Scholar] [CrossRef]
- Boudis, A.; Bayeul-Lainé, A.C.; Benzaoui, A.; Oualli, H.; Guerri, O.; Coutier-Delgosha, O. Numerical Investigation of the Effects of Nonsinusoidal Motion Trajectory on the Propulsion Mechanisms of a Flapping Airfoil. J. Fluids Eng. 2019, 141, 1–18. [Google Scholar] [CrossRef] [Green Version]
- Young, J.; Lai, J.C.S. On the aerodynamic forces of a plunging airfoil. J. Mech. Sci. Technol. 2007, 21, 1388–1397. [Google Scholar] [CrossRef]
- Hoke, C.M.; Young, J.; Lai, J.C.S. Effects of time-varying camber deformation on flapping foil propulsion and power extraction. J. Fluids Struct. 2015, 56, 152–176. [Google Scholar] [CrossRef]
- Ashraf, M.A.; Young, J.; Lai, J.C.S. Reynolds number, thickness and camber effects on flapping airfoil propulsion. J. Fluids Struct. 2011, 27, 145–160. [Google Scholar] [CrossRef]
- Murray, M.M.; Howle, L.E. Spring stiffness influence on an oscillating propulsor. J. Fluids Struct 2003, 17, 915–926. [Google Scholar] [CrossRef]
- Pourmahdavi, M.; Safari, M.N.; Derakhshan, S. Numerical investigation of the power extraction mechanism of flapping foil tidal energy harvesting devices. Energy Environ. 2018, 30, 193–211. [Google Scholar] [CrossRef]
- Jiang, W.; Wang, Y.L.; Zhang, D.; Xie, Y.H. Numerical investigation into the effect of nonlinear spring on the adaptation of an oscillating foil for energy extraction. Renew. Energy 2018, 117, 12–21. [Google Scholar] [CrossRef]
- Teng, L.; Deng, J.; Pan, D.; Shao, X. Effects of non-sinusoidal pitching motion on energy extraction performance of a semi-active flapping foil. Renew. Energy 2016, 85, 810–818. [Google Scholar] [CrossRef]
- La Mantia, M.; Dabnichki, P. Added mass effect on flapping foil. Eng. Anal. Bound. Elem. 2012, 36, 579–590. [Google Scholar] [CrossRef]
- Zhu, X.-J.; He, G.-W.; Zhang, X. Underlying principle of efficient propulsion in flexible plunging foils. Acta Mech. Sin. 2015, 30, 839–845. [Google Scholar] [CrossRef] [Green Version]
- Olivier, M.; Dumas, G. Effects of mass and chordwise flexibility on 2D self-propelled flapping wings. J. Fluids Struct. 2016, 64, 46–66. [Google Scholar] [CrossRef] [Green Version]
- Liao, Y.L.; Li, Y.M.; Wang, L.F.; Li, Y.; Jiang, Q.Q. Heading control method and experiments for an unmanned wave glider. J. Cent. South Univ. 2017, 24, 2504–2512. [Google Scholar] [CrossRef]
- Jiang, W.; Zhang, D.; Xie, Y.H. Numerical investigation into the effects of arm motion and camber on a self-induced oscillating hydrofoil. Energy 2016, 115, 1010–1021. [Google Scholar] [CrossRef]
- Kinsey, T.; Dumas, G. Computational Fluid Dynamics Analysis of a Hydrokinetic Turbine Based on Oscillating Hydrofoils. J. Fluids Eng. 2012, 134, 1–16. [Google Scholar] [CrossRef]
- Ma, P.; Wang, Y.; Xie, Y.; Huo, Z. Effects of time-varying freestream velocity on energy harvesting using an oscillating foil. Ocean Eng. 2018, 153, 353–362. [Google Scholar] [CrossRef]
- Xiao, Q.; Liao, W. Numerical investigation of angle of attack profile on propulsion performance of an oscillating foil. Comput. Fluids 2010, 39, 1366–1380. [Google Scholar] [CrossRef]
- Richards, A.J.; Oshkai, P. Effect of the stiffness, inertia and oscillation kinematics on the thrust generation and efficiency of an oscillating-foil propulsion system. J. Fluids Struct. 2015, 57, 357–374. [Google Scholar] [CrossRef]






















| Mesh | Time-Step | Mean Error (%) | ||
|---|---|---|---|---|
| Mesh Independence | Coarse grid | 5000 ts | −0.0636 | 40.39 |
| Medium-1 grid | −0.0456 | 0.66 | ||
| Medium-2 grid | −0.0455 | 0.44 | ||
| Fine Grid | −0.0453 | --- | ||
| Time-step Independence | Medium-1 grid | 1000 ts | −0.0542 | 18.34 |
| 2000 ts | −0.0485 | 5.89 | ||
| 5000 ts | −0.0456 | 0.43 | ||
| 10000 ts | −0.0458 | --- |
| Parameters | Scale |
|---|---|
| Chord length, c | 0.17 m |
| Hydrofoil shape | 2-D NACA0012 |
| Hydrofoil thickness, d | 0.02 m |
| Free stream velocity, | 0.25 m/s |
| Mass ratio, r | 1.8 |
| Heaving amplitude, | 0.2 m and 0.4 m |
| Reduced frequency, | 0.1–0.68 |
| Critical pitching amplitude, | 20–90° |
| Normalized spring constant, | 0.09–0.37 |
© 2019 by the authors. Licensee MDPI, Basel, Switzerland. This article is an open access article distributed under the terms and conditions of the Creative Commons Attribution (CC BY) license (http://creativecommons.org/licenses/by/4.0/).
Share and Cite
Qi, Z.; Zou, B.; Lu, H.; Shi, J.; Li, G.; Qin, Y.; Zhai, J. Numerical Investigation of the Semi-Active Flapping Foil of the Wave Glider. J. Mar. Sci. Eng. 2020, 8, 13. https://doi.org/10.3390/jmse8010013
Qi Z, Zou B, Lu H, Shi J, Li G, Qin Y, Zhai J. Numerical Investigation of the Semi-Active Flapping Foil of the Wave Glider. Journal of Marine Science and Engineering. 2020; 8(1):13. https://doi.org/10.3390/jmse8010013
Chicago/Turabian StyleQi, Zhanfeng, Bo Zou, Huiqiang Lu, Jian Shi, Guofu Li, Yufeng Qin, and Jingsheng Zhai. 2020. "Numerical Investigation of the Semi-Active Flapping Foil of the Wave Glider" Journal of Marine Science and Engineering 8, no. 1: 13. https://doi.org/10.3390/jmse8010013
APA StyleQi, Z., Zou, B., Lu, H., Shi, J., Li, G., Qin, Y., & Zhai, J. (2020). Numerical Investigation of the Semi-Active Flapping Foil of the Wave Glider. Journal of Marine Science and Engineering, 8(1), 13. https://doi.org/10.3390/jmse8010013

