Contribution of Pumping Action of Wave-Induced Pore-Pressure Response to Development of Fluid Mud Layer
Abstract
1. Introduction
2. Materials and Methods
2.1. Experiment Introduction
2.2. Quantification of Kaolin
2.3. Experimental Procedure
3. Results
3.1. Experimental Phenomena
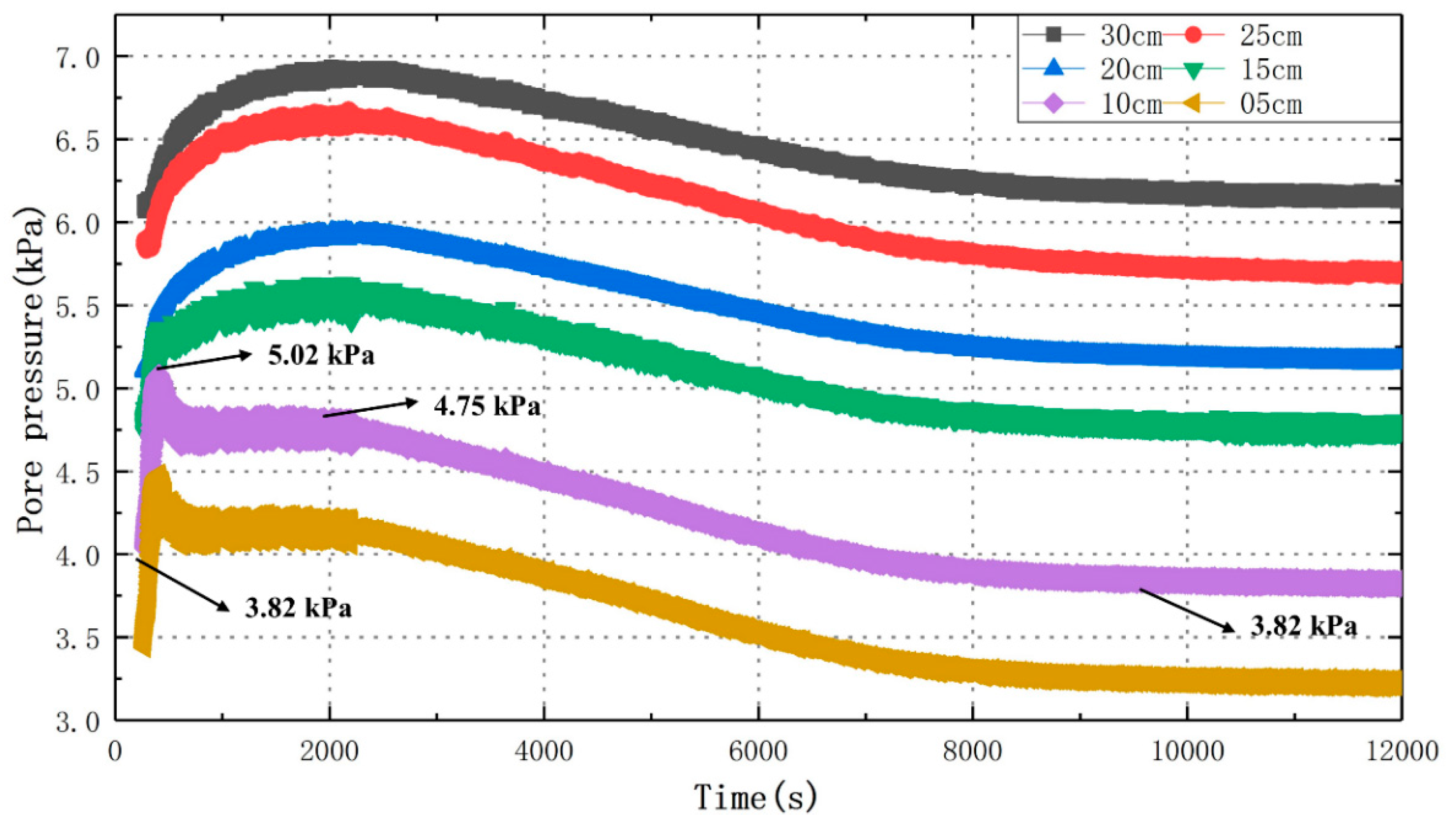
3.2. Pore Pressure Response
3.3. Particle Size and Kaolin Content
4. Discussion
4.1. Pore-Pressure Response Analysis
4.2. Discrimination of Instantaneous Liquefaction
4.3. Centralized Pumping Migration Based on Splitting Channels
4.4. Particle-Force Analysis
5. Conclusions
Author Contributions
Funding
Acknowledgments
Conflicts of Interest
References
- Li, W.H.; Shi, L.Q.; Liu, M. Review of estuarine and coastal fluid mud measurement technique, characteristics and transportation researches. J. Sediment Res. 2013, 1, 74–80. [Google Scholar]
- Mcanally, W.H.; Friedrichs, C.T.; Hamilton, D. Management of Fluid Mud in Estuaries, Bays, and Lakes. I: Present State of Understanding on Character and Behavior. J. Hydraul. Eng. 2007, 133, 9–22. [Google Scholar] [CrossRef]
- Qian, N.; Wan, Z.H. Mechanics of Sediment Transport; Science Press: Beijing, China, 1983; pp. 158–159. [Google Scholar]
- Granboulan, J.; Feral, A.; Villerot, M. Study of the sedimentological and rheological properties of fluid mud in the fluvio-estuarine system of the Gironde estuary. Ocean Shorel. Manag. 1989, 12, 23–46. [Google Scholar] [CrossRef]
- Allison, M.A.; Nittrouer, C.A.; Kineke, G.C. Seasonal sediment storage on mudflats adjacent to the Amazon River. Mar. Geol. 1995, 125, 303–328. [Google Scholar] [CrossRef]
- Kineke, G.C.; Sternberg, R.W. Distribution of fluid muds on the Amazon continental shelf. Mar. Geol. 1995, 125, 193–233. [Google Scholar] [CrossRef]
- Xu, H.G.; Xu, H.T.; Li, J.F. Study on the nautical depth utilizing fluid mud layer of the Changjiang estuary. J. East China Norm. Univ. (Nat. Sci.) 1994, 2, 91–97. [Google Scholar]
- Wainright, S. Sediment-to-water fluxes of particulate material and microbes by resuspension and their contribution to the planktonic food web. Mar. Ecol. Prog. Ser. 1990, 62, 271–281. [Google Scholar] [CrossRef]
- Gao, Y.F.; Yang, S.; Jian, Z. Analysis of wave-induced liquefaction in seabed deposits of silt. China Ocean Eng. 2011, 25, 31–42. [Google Scholar] [CrossRef]
- Xu, H.; Dong, P. A probabilistic analysis of random wave-induced liquefaction. Ocean Eng. 2011, 38, 860–867. [Google Scholar] [CrossRef]
- Moriarty, J.M.; Harris, C.K.; Fennel, K. The roles of resuspension, diffusion and biogeochemical processes on oxygen dynamics offshore of the Rhône River, France: A numerical modeling study. Biogeosciences. 2017, 14, 1919. [Google Scholar] [CrossRef]
- Zhang, S.; Jia, Y.; Wen, M. Vertical Migration of Fine-Grained Sediments from Interior to Surface of Seabed Driven by Seepage Flows—“Sub-Bottom Sediment Pump Action”. J. Ocean Univ. China 2017, 16, 15–24. [Google Scholar] [CrossRef]
- Corselli, C.; Basso, D. First evidence of benthic communities based on chemosynthesis on the Napoli mud volcano (Eastern Mediterranean). Mar. Geol. 1996, 132, 227–239. [Google Scholar] [CrossRef]
- Montserrat, F.; Suykerbuyk, W.; Al-Busaidi, R. Effects of mud sedimentation on lugworm ecosystem engineering. J. Sea Res. 2011, 65, 170–181. [Google Scholar] [CrossRef]
- Niu, G.Z.; Shen, X.M.; Pei, W.B. The test of SILAS sounding system. Hydrogr. Surv. Chart. 2003, 23, 28–31. [Google Scholar]
- Yang, Y.; Li, Y.; Sun, Z.; Fan, Y. Suspended sediment load in the turbidity maximum zone at the Yangtze River Estuary; The trends and causes. J. Geogr. Sci. 2014, 24, 129–142. [Google Scholar] [CrossRef]
- Liu, T.; Li, S.P.; Kou, H.L. Excess pore pressure observation in marine sediment based on Fiber Bragg Grating pressure sensor. Mar. Georesources Geotechnol. 2019, 37, 775–782. [Google Scholar] [CrossRef]
- Shi, Z. Physical Processes of Fine Sediment in Estuaries and Coasts; Shanghai Jiaotong University Press: Shanghai, China, 2013; pp. 102–105. [Google Scholar]
- Ju, Y.; Gao, M.; Wang, Y.Y. Review on field observation technologies for fluid mud. J. Chongqing Jiaotong Univ. (Nat. Sci.) 2014, 33, 98–102. [Google Scholar]
- Maa, J.P.Y.; Mehta, A.J. Soft Mud Properties: Voigt Model. J. Waterw. Port Coast. Ocean Eng. 1988, 114, 765–770. [Google Scholar] [CrossRef]
- Abujdayil, B.; Banat, F.; Alsameraiy, M. Steady Rheological Properties of Rotating Biological Contactor (RBC) Sludge. J. Water Resour. Prot. 2010, 2, 1–7. [Google Scholar] [CrossRef][Green Version]
- Yeh, H.; Masn, H.B. Sediment response to tsunami loading: mechanisms and estimates. Géotechnique 2014, 64, 131–143. [Google Scholar] [CrossRef]
- Wang, Z.T.; Luan, M.T.; Dong-Sheng, J. Theoretical analysis of random wave-induced seabed response and liquefaction. Rock Soil Mech. 2008, 29, 2051–2056. [Google Scholar]
- Lambrechts, J.; Humphrey, C.; Mckinna, L. Importance of wave-induced bed liquefaction in the fine sediment budget of Cleveland Bay, Great Barrier Reef. Estuar. Coast. Shelf Sci. 2010, 89, 154–162. [Google Scholar] [CrossRef]
- Hong, R.J.; Ying, Y.L. Experimental Study on Starting Flow Velocity of Floating Sludge under Water Flow. J. Hydraul. Eng. 1988, 8, 51–57. [Google Scholar]
- Kreeke, J.V.D.; Day, C.M.; Mulder, H.P.J. Tidal variations in suspended sediment concentration in the Ems estuary: origin and resulting sediment flux. J. Sea Res. 1997, 38, 1–16. [Google Scholar] [CrossRef]
- Almroth, E.; Tengberg, A.; Andersson, J.H. Effects of resuspension on benthic fluxes of oxygen, nutrients, dissolved inorganic carbon, iron and manganese in the Gulf of Finland, Baltic Sea. Cont. Shelf Res. 2009, 29, 807–818. [Google Scholar] [CrossRef]
- Wu, W.; Soligo, G.; Marchioli, C.; Soldati, A.; Piomelli, U. Particle resuspension by a periodically forced impinging jet. J. Fluid Mech. 2017, 820, 284–311. [Google Scholar] [CrossRef]
- Xu, J.Y.; Yuan, J.Z. Study on the Fluid Mud in the Yangtze Estuary. J. Sediment Res. 2001, 3, 74–80. [Google Scholar]
- Maa, J.P.Y.; Mehta, A.J. Soft mud response to water waves. J. Waterw. Port Coast. Ocean Eng. 1990, 116, 634–650. [Google Scholar] [CrossRef]
- Li, D. Flocculation process of fine-grained sediments by the combined effect of salinity and humus in the Changjiang Estuary. Acta Oceanol. Sin. 2007, 26, 140–149. [Google Scholar]
- Li, J.; Zhang, C. Sediment resuspension and implications for turbidity maximum in the Changjiang Estuary. Mar. Geol. 1998, 148, 117–124. [Google Scholar] [CrossRef]
- Li, J.F.; Dai, Z.J.; Liu, Q.Z. In-situ observation of floccule size and fluid mud in the Changjiang Estuary. J. Sediment Res. 2008, 3, 26–32. [Google Scholar]
- Mingzheng, W.; Zhenhao, W.; Bowen, Z. Survey on the distribution of fluid mud and disturbed strata on subaqueous Yellow River Delta. J. Eng. Geol. 2018, 26, 677–683. [Google Scholar] [CrossRef]
- Winterwerp, J.C. On the Dynamics of High-Concentrated Mud Suspensions; Netherlands, Delft University of Technology: Delft, The Netherlands, 1999; pp. 58–59. [Google Scholar]
- Li, D.S.; Ren, R.S. Research for special property of gravity current with the movement of wave. Ocean Eng. 1996, 4, 54–59. [Google Scholar]
- Miao, L.M.; Yang, S.L.; Zhu, Q. Variations of suspended sediment concentrations and transport in response to a storm and its dynamic mechanism. J. Oceanogr. 2016, 38, 158–167. [Google Scholar]
- Sheremet, A.; Stone, G.W.; Zhang, X. Wave-induced sediment resuspension on a muddy inner shelf during Hurricane Claudette. Estuar. Coast. Shelf Sci. 2005, 63, 225–233. [Google Scholar] [CrossRef]
- Ranasinghe, R.; Swinkels, C.; Luijendijk, A.; Roelvink, D. Morphodynamic upscaling with the MORFAC approach: Dependencies and sensitivities. Coast. Eng. 2011, 58, 806–811. [Google Scholar] [CrossRef]
- Gallerano, F.; Cannata, G.; Scarpone, S. Bottom changes in coastal areas with complex shorelines. Eng. Appl. Comput. Fluid Mech. 2017, 11, 396–416. [Google Scholar] [CrossRef]
- Bradford, S.F. Non-hydrostatic model for surf zone simulation. J. Waterw. Port Coast. Ocean Eng. 2011, 137, 163–174. [Google Scholar] [CrossRef]
- Ma, G.; Shi, F.; Kirby, J.T. Shock-capturing non-hydrostatic model for fully dispersive surface wave processes. Ocean Model. 2012, 4344, 22–35. [Google Scholar] [CrossRef]
- Gallerano, F.; Cannata, G.; Lasaponara, F.; Petrelli, C. A new three-dimensional finite-volume non-hydrostatic shock-capturing model for free surface flow. J. Hydrodyn. 2017, 29, 552–566. [Google Scholar] [CrossRef]
- Mclaren, P.; Bowles, D. The effects of sediment transport on grain-size distributions. J. Sediment Res. 1985, 55, 457–470. [Google Scholar]
- Wang, W.; Li, A.C.; Xu, F.J. Distribution of surface sediments and sedimentary environment in the north yellow sea. Oceanol. Limnol. Sin. 2009, 40, 525–531. [Google Scholar]
- Stark, N. Pore pressure response to irregular waves at a sandy beach. In Proceedings of the Geotechnical Frontiers 2017, Orlando, FL, USA, 12–15 March 2017; pp. 409–417. [Google Scholar] [CrossRef]
- Guo, Z.; Jeng, D.S.; Zhao, H.; Guo, W.; Wang, L. Effect of seepage flow on sediment incipient motion around a free spanning pipeline. Coast. Eng. 2019, 143, 50–62. [Google Scholar] [CrossRef]
- Li, K.; Guo, Z.; Wang, L.; Jiang, H. Effect of seepage flow on shields number around a fixed and sagging pipeline. Ocean Eng. 2019, 172, 487–500. [Google Scholar] [CrossRef]
- Tao, L.; Guanli, W.; Hailei, K.; Lei, G. Pore pressure observation: pressure response of probe penetration and tides. Acta Oceanol. Sin. 2019, 38, 107–113. [Google Scholar] [CrossRef]
- Liu, T.; Lu, Y.; Zhou, L.; Yang, X.; Guo, L. Experiment and Analysis of Submarine Landslide Model Caused by Elevated Pore Pressure. J. Mar. Sci. Eng. 2019, 7, 146. [Google Scholar] [CrossRef]
- Yamamoto, T. Wave-induced pore pressures and effective stresses in inhomogeneous seabed foundations. Ocean Eng. 1981, 8, 1–16. [Google Scholar] [CrossRef]
- Jia, Y.; Zhang, L.; Zheng, J. Effects of wave-induced seabed liquefaction on sediment re-suspension in the Yellow River Delta. Ocean Eng. 2014, 89, 146–156. [Google Scholar] [CrossRef]
- Cao, W.H.; Liu, Q.Q. Analysis on dynamic mechanism of sediment winnowing caused by wave. J. Hydraul. Eng. 2000, 1, 49–53. [Google Scholar]
- Mei, C.C.; Foda, M.A. Wave-induced responses in a fluid-filled poro-elastic solid with a free surface—A boundary layer theory. Geophys. J. R. Astron. Soc. 2010, 66, 597–631. [Google Scholar] [CrossRef]
- Xia, L. Sediment Threshold and Local Scour Around Submarine Pipelines under Wave Action. Ph.D. Thesis, Zhejiang University, Hangzhou, China, 2006. [Google Scholar]










| Property | Value | |
|---|---|---|
| Moisture Content (ω) | 28.1% | |
| Density (ρ) | 2.0 g/cm3 | |
| Dry density (ρd) | 1.55 g/cm3 | |
| Specific gravity (Gs) | 2.7 | |
| Void ratio (e) | 0.74 | |
| Porosity (n) | 44% | |
| Plasticity index (Ip) | 6.9 | |
| Saturated unit weight (γs) | 16.0 kN/m3 | |
| Shear strength of uu test | Cohesion (c) | 7 kPa |
| Internal friction angle (φ) | 20° | |
| Group | Kaolin Layer | Sample Number | Wave Action | Sample Number | |||
|---|---|---|---|---|---|---|---|
| Time (min) | Wave Height (cm) | Wave Length (cm) | Wave Period (s) | ||||
| A | × | 1–4 | 20 | 7 | 100 | 1 | 5–8 |
| B | √ | 9–12 | 10 | 7 | 100 | 1 | 13–16 |
| C | √ | 17–20 | 20 | 7 | 100 | 1 | 21–24 |
| D | √ | 25–28 | 30 | 7 | 100 | 1 | 29–32 |
| E | √ | 33–36 | 20 | 5 | 90 | 0.9 | 37–40 |
| F | √ | 41–44 | 20 | 3 | 80 | 0.9 | 45–48 |
| Position | Before | Wave Action | After | |||
|---|---|---|---|---|---|---|
| Initial Pore Water Pressure | Maximum Pore Water Pressure umax (kPa) | Maximum Cumulative Pore Pressure ∆umax (kPa) | Stable Pore Pressure (kPa) | Stable Cumulative Pore Pressure | Ultimate Pore Pressure | |
| 5 cm | 3.35 | 4.40 | 1.05 | 4.11 | 0.76 | 3.24 |
| 10 cm | 3.82 | 5.02 | 1.19 | 4.75 | 0.94 | 3.82 |
| 15 cm | 4.75 | 5.62 | 0.87 | 5.55 | 0.80 | 4.75 |
| 20 cm | 5.11 | 5.96 | 0.85 | 5.89 | 0.78 | 5.14 |
| 25 cm | 5.85 | 6.68 | 0.83 | 6.62 | 0.77 | 5.76 |
| 30 cm | 6.11 | 6.93 | 0.82 | 6.89 | 0.78 | 6.15 |
| Group | Average Size of the Surface Particles before Wave Action Dav0 (μm) | Average Size of the Surface Particles after Wave Action Dav1 (μm) | Kaolin Content after Wave Action (%) |
|---|---|---|---|
| A | 44.9 | 36.5 | 0.0 |
| B | 33.6 | 27.6 | 3.9 |
| C | 39.0 | 16.1 | 22.2 |
| D | 44.0 | 18.6 | 11.2 |
| E | 44.4 | 19.8 | 4.5 |
| F | 41.2 | 34.0 | 0.0 |
| Group | Depth of Water (m) | Wave Height (m) | Wave Length (m) | Liquefaction Critical Thickness (m) |
|---|---|---|---|---|
| A | 0.33 | 0.07 | 1 | 0.04 |
| B | 0.33 | 0.07 | 1 | 0.04 |
| C | 0.33 | 0.07 | 1 | 0.04 |
| D | 0.33 | 0.07 | 1 | 0.04 |
| E | 0.33 | 0.05 | 0.9 | 0.03 |
| F | 0.33 | 0.03 | 0.8 | 0.02 |
© 2019 by the authors. Licensee MDPI, Basel, Switzerland. This article is an open access article distributed under the terms and conditions of the Creative Commons Attribution (CC BY) license (http://creativecommons.org/licenses/by/4.0/).
Share and Cite
Yang, Z.; Zhu, Y.; Liu, T.; Sun, Z.; Ling, X.; Zheng, Y. Contribution of Pumping Action of Wave-Induced Pore-Pressure Response to Development of Fluid Mud Layer. J. Mar. Sci. Eng. 2019, 7, 317. https://doi.org/10.3390/jmse7090317
Yang Z, Zhu Y, Liu T, Sun Z, Ling X, Zheng Y. Contribution of Pumping Action of Wave-Induced Pore-Pressure Response to Development of Fluid Mud Layer. Journal of Marine Science and Engineering. 2019; 7(9):317. https://doi.org/10.3390/jmse7090317
Chicago/Turabian StyleYang, Zhongnian, Yongmao Zhu, Tao Liu, Zhongqiang Sun, Xianzhang Ling, and Yuqian Zheng. 2019. "Contribution of Pumping Action of Wave-Induced Pore-Pressure Response to Development of Fluid Mud Layer" Journal of Marine Science and Engineering 7, no. 9: 317. https://doi.org/10.3390/jmse7090317
APA StyleYang, Z., Zhu, Y., Liu, T., Sun, Z., Ling, X., & Zheng, Y. (2019). Contribution of Pumping Action of Wave-Induced Pore-Pressure Response to Development of Fluid Mud Layer. Journal of Marine Science and Engineering, 7(9), 317. https://doi.org/10.3390/jmse7090317
