Dynamic Impedances of Offshore Rock-Socketed Monopiles
Abstract
1. Introduction
- (1)
- To compare the dynamic impedances of the monopile under different soil depths, rock weathering conditions, and exciting frequencies;
- (2)
- To analyze the deformation of monopile under different loading conditions;
- (3)
- To find out the distributions of von-Mises stresses in rock-socketed monopile, and special attention is paid on the stresses in monopile near the interface of rock and soil.
2. The Finite Element Model Created by ABAQUS
2.1. Introduction to the Model
2.2. Comparision with the Existing Solutions
3. Numerical Results
3.1. Dynamic Impedance
3.1.1. Effects of Rock-Socketed Depth on Dynamic Impedance of Monopile
3.1.2. Influence of Elastic Modulus Ratio of Rock to Soil
3.2. Analysis of Pile Deformation Under Simple Harmonic Horizontal Forces
3.2.1. Effect of Dimensionless Frequency on Monopile Deformation
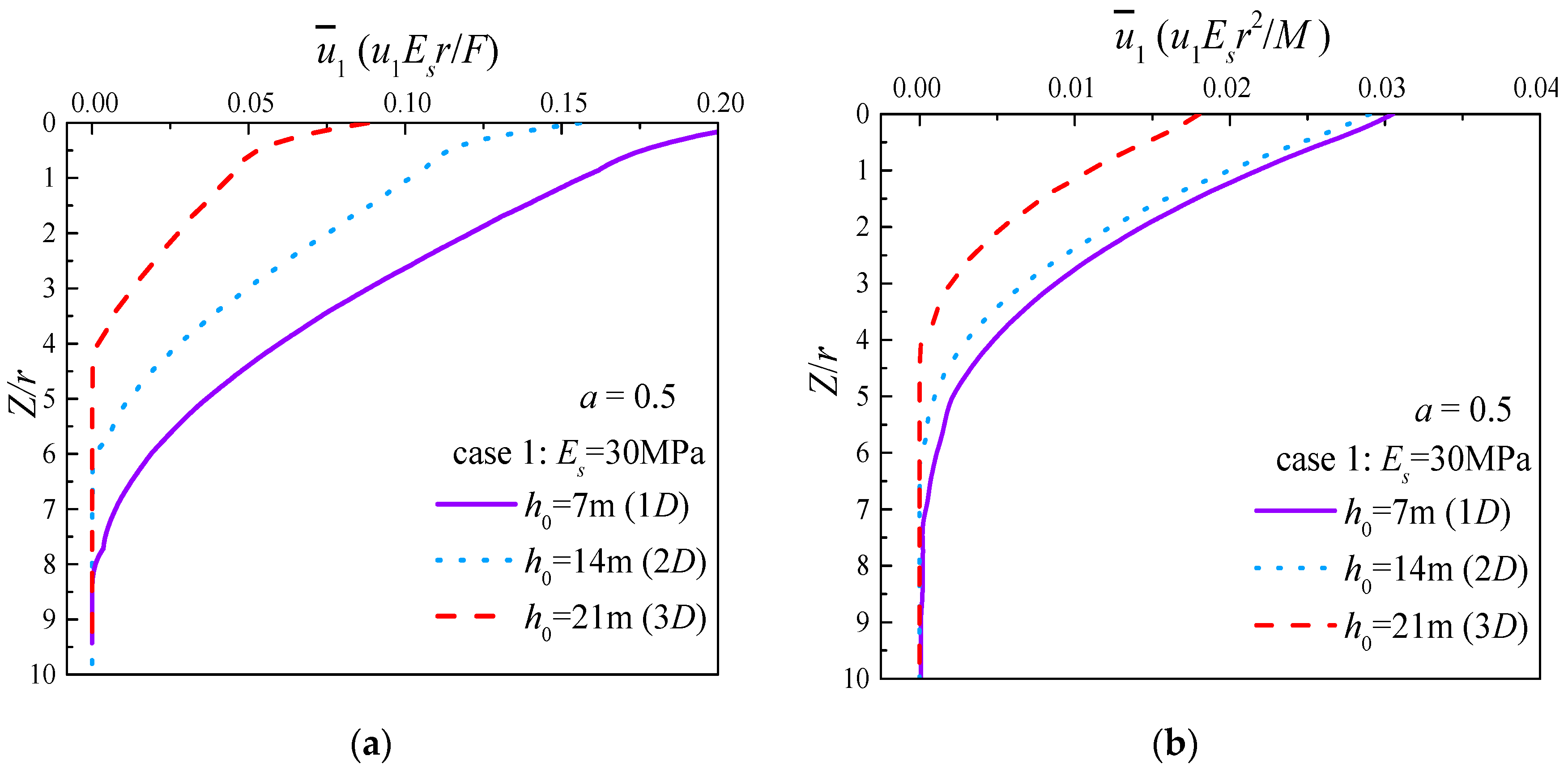
3.2.2. Effect of Rock-Socketed Depth on Pile Deformation
3.2.3. Effect of Elastic Modulus Ratio Between Soil and Rock on Monopile Deformation
3.3. Analysis of the Internal Force of Pile under Simple Harmonic Forces
3.3.1. Effect of Dimensionless Frequency on von-Mises Stress of Pile
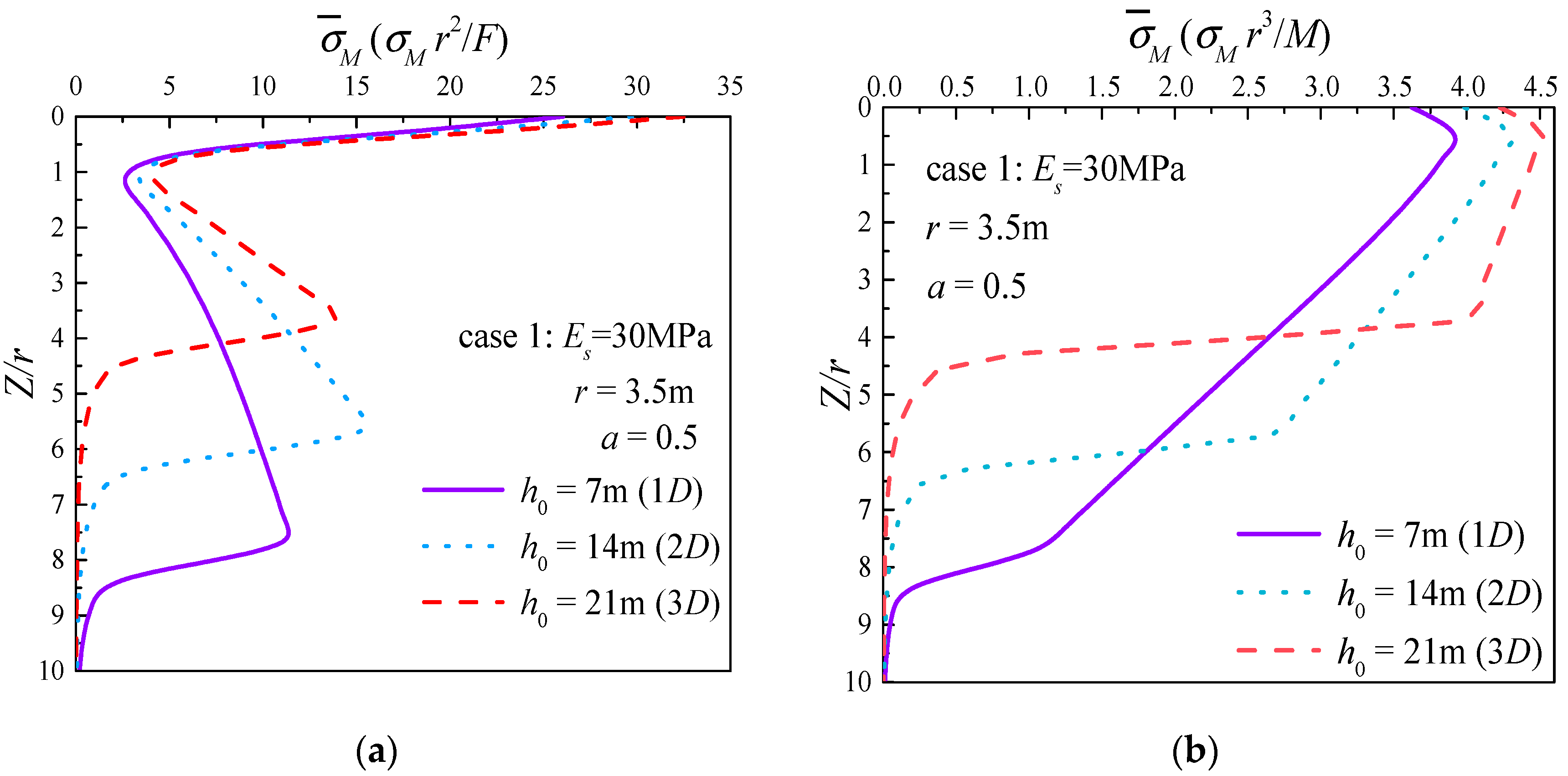
3.3.2. Effect of Rock-Socketed Depth on Von-Mises Stress
3.3.3. Effect of Elastic Modulus Ratio between Soil and Rock on Von-Mises Stress
4. Conclusions and Outlook
4.1. Basic Conclusions
- (1)
- When rock-socketed depth increases:
- the dynamic stiffness of pile increases, while the sensitivity to dimensionless frequency decreases, indicating that the ability of pile to resist deformation increases under dynamic load, which is consistent with the results obtained from monopile deformation analysis;
- the radiative damping of pile decreases, and the horizontal radiative damping decreases the most. When the contact surface between the pile and the soil becomes smaller, less stress wave energies will be generated and radiated;
- the deformation of monopile reduces and the deformation of the rock-embedded part of the monopile is very small;
- von-Mises stress of the monopile in the soil layer increases, and there is a sudden drop at the soil–rock interface.
- (2)
- When the elastic modulus ratio of soil to rock increases, that is, the weathering degree of rock increases:
- the dynamic stiffness of the monopile reduces, and the closer the elastic modulus of rock is to that of soil, the faster its reduction rate is. When the elastic modulus of the rock is reduced, resulting in the weakened ability of the pile to resist deformation under external force;
- the radiative damping increases, with the rotational radiative damping increasing the most. Compared with rock, it seems that the capability of the soil to radiate stress waves is stronger;
- the deflection of the monopile increases and the point at which the displacement is 0 shifts downward, considering that the effect of rock on fastening the pile is reduced;
- von-Mises stress of monopile in the soil layer decreases while increasing in the rock layer. The phenomenon of stress drop at the soil–rock interface is no longer obvious.
4.2. Outlook on Further Study
- (1)
- The deformation and stress of the soil/rock around monopile under dynamic loadings with different amplitudes can be analyzed, in order to know more about the soil-rock-monopile dynamic contact problem;
- (2)
- The dynamic impedances and responses of rock-socketed monopile under long-term alternating loads remain to be further studied in the future;
- (3)
- More complicated soil and rock models can be further used to study the dynamic responses of rock-socketed monopiles under extreme loading conditions.
Author Contributions
Funding
Conflicts of Interest
References
- Wen, M.; Wu, B.; Lin, X.; You, L.; Yang, L. Distribution characteristics and assessment of wind energy resources at 70 m height over Fujian coastal areas. Resour. Sci. 2011, 33, 1346–1352. [Google Scholar]
- Chen, W.Y.; Chen, G.X.; Chen, W.; Liao, C.C.; Gao, H.M. Numerical simulation of the nonlinear wave-induced dynamic response of anisotropic poro-elastoplastic seabed. Mar. Georesour. Geotechnol. 2018, 1–12. [Google Scholar] [CrossRef]
- Guo, Z.; Jeng, D.S.; Zhao, H.Y.; Guo, W.; Wang, L.Z. Effect of Seepage Flow on Sediment Incipient Motion around a Free Spanning Pipeline. Coast. Eng. 2019, 143, 50–62. [Google Scholar] [CrossRef]
- Li, K.; Guo, Z.; Wang, L.Z.; Jiang, H.Y. Effect of Seepage Flow on Shields Number around a Fixed and Sagging Pipeline. Ocean Eng. 2019, 172, 487–500. [Google Scholar] [CrossRef]
- Qi, W.G.; Li, Y.X.; Xu, K.; Gao, F.P. Physical modelling of local scour at twin piles under combined waves and current. Coast. Eng. 2019, 143, 63–75. [Google Scholar] [CrossRef]
- Zhao, H.Y.; Jeng, D.S.; Liao, C.C.; Zhou, J.F. Three-dimensional modeling of wave-induced residual seabed response around a mono-pile foundation. Coast. Eng. 2017, 128, 1–21. [Google Scholar] [CrossRef]
- Ke, W.; Fan, Q.; Jing, Z. Insight into Failure Mechanism of Large-Diameter Monopile for Offshore Wind Turbines Subjected to Wave-Induced Loading. J. Coast. Res. 2015, 73, 554–558. [Google Scholar]
- Liao, C.; Chen, J.; Zhang, Y. Accumulation of pore water pressure in a homogeneous sandy seabed around a rocking mono-pile subjected to wave loads. Ocean Eng. 2019, 173, 810–822. [Google Scholar] [CrossRef]
- Arany, L.; Bhattacharya, S.; Macdonald, J.; Hogan, S.J. Design of monopiles for offshore wind turbines in 10 steps. Soil Dyn. Earthq. Eng. 2017, 92, 126–152. [Google Scholar] [CrossRef]
- Rackwitz, F.; Savidis, S.; Tasan, E. New Design Approach for Large Diameter Offshore Monopiles Based on Physical and Numerical Modelling. Am. Soc. Civ. Eng. 2012, 356–365. [Google Scholar]
- Jonkman, J.; Butterfield, S.; Passon, P.; Larsen, T.J.; Camp, T.; Nichols, J.; Azcona, J.; Martinez, A. Offshore Code Comparison Collaboration within IEA Wind Annex XXIII: Phase II Results Regarding Monopile Foundation Modeling; Office of Scientific & Technical Information Technical Reports; European Wind Energy Association: Brussels, Belgium, 2010. [Google Scholar]
- Frontier Technology. Longyuan Electric Power Successfully Implemented Construction of the World’s First “Implanted” Rock-Socketed Monopile Foundation. Available online: http://www.souhu.com/a/201123560_99902347 (accessed on 30 October 2017).
- Byrne, B.; Mcadam, R.; Burd, H.J.; Houlsby, G.T.; Martin, C.M.; Beuckelaers, W.J.A.P. PISA: New Design Methods for Offshore Wind Turbine Monopiles. In Proceedings of the 8th International Conference for Offshore Site Investigation and Geotechnics, London, UK, 12–14 September 2017; Volume 1, pp. 142–161. [Google Scholar]
- He, R.; Wang, L.Z. Elastic rocking vibration of an offshore Gravity Base Foundation. Appl. Ocean Res. 2016, 55, 48–58. [Google Scholar] [CrossRef]
- Harte, M.; Basu, B.; Nielsen, S.R.K. Dynamic analysis of wind turbines including soil-structure interaction. Eng. Struct. 2012, 45, 509–518. [Google Scholar] [CrossRef]
- Damgaard, M.; Bayat, M.; Andersen, L.V. Assessment of the dynamic behavior of saturated soil subjected to cyclic loading from offshore monopile wind turbine foundations. Comput. Geotech. 2014, 61, 116–126. [Google Scholar] [CrossRef]
- Leblanc, C. Design of Offshore Wind Turbine Support Structures. Ph.D. Thesis, Aalborg University, Aalborg, Denmark, January 2009. [Google Scholar]
- Lombardi, D.; Bhattacharya, S.; Wood, D.M. Dynamic soil structure interaction of monopile supported wind turbines in cohesive soil. Soil Dyn. Earthq. Eng. 2013, 49, 165–180. [Google Scholar] [CrossRef]
- Andersen, L.V.; Vahdatirad, M.J.; Sichani, M.T. Natural frequencies of wind turbines on monopile foundations in clayey soils A probabilistic approach. Comput. Geotech. 2012, 43, 1–11. [Google Scholar] [CrossRef]
- Liao, W.M.; Zhang, J.J.; Wu, J.B. Response of flexible monopile in marine clay under cyclic lateral load. Ocean Eng. 2017, 147, 89–106. [Google Scholar] [CrossRef]
- Achmus, M.; Kuo, Y.S.; Abdel-Rahman, K. Behavior of monopile foundations under cyclic lateral load. Comput. Geotech. 2009, 36, 725–735. [Google Scholar] [CrossRef]
- Abadie, C.N. Cyclic Lateral Loading of Monopile Foundations in Cohesionless Soils. Ph.D. Thesis, University of Oxford, Oxford, UK, March 2015. [Google Scholar]
- Liu, R.; Zhou, L.; Lian, J.J.; Ding, H.Y. Behavior of Monopile Foundations for Offshore Wind Farms in Sand. J. Waterw. Port Coast. Ocean Eng. 2016, 142, 04015010. [Google Scholar] [CrossRef]
- Hokmabadi, A.S.; Fakher, A.; Fatahi, B. Full scale lateral behavior of monopiles in granular marine soils. Mar. Struct. 2012, 29, 198–210. [Google Scholar] [CrossRef]
- Omer, J.R.; Robinson, R.B.; Delpak, R. Large-scale pile tests in Mercia mud stone: Data analysis and evaluation of current design methods. Geotech. Geol. Eng. 2003, 21, 167–200. [Google Scholar] [CrossRef]
- He, R.; Kaynia, A.M.; Zhang, J.S. A poroelastic solution for dynamics of laterally loaded offshore monopiles. Ocean Eng. 2019, 179, 337–350. [Google Scholar] [CrossRef]
- He, R.; Kaynia, A.M.; Zhang, J.S.; Chen, W.Y.; Guo, Z. Influence of vertical shear stresses due to pile-soil interaction on lateral dynamic responses for offshore monopiles. Mar. Struct. 2019, 64, 341–359. [Google Scholar] [CrossRef]
- He, R.; Pak, R.Y.S.; Wang, L.Z. Elastic lateral dynamic impedance functions for a rigid cylindrical shell type foundation. Int. J. Numer. Anal. Methods Geomech. 2017, 41, 508–526. [Google Scholar] [CrossRef]
- Liu, T.L.; Wu, W.B.; Dou, B.; Jang, G.S.; Lv, S.H. Vertical dynamic impedance of pile considering the dynamic stress diffusion effect of pile end soil. Mar. Geotechnol. 2017, 35, 8–16. [Google Scholar] [CrossRef]
- Bhattacharya, S.; Nikitas, N.; Garnsey, J. Observed dynamic soil structure interaction in scale testing of offshore wind turbine foundations. Soil Dyn. Earthq. Eng. 2013, 54, 47–60. [Google Scholar] [CrossRef]
- Zhang, M.; Shang, W.; Wang, X. Lateral dynamic analysis of single pile in partially saturated soil. Eur. J. Environ. Civ. Eng. 2017, 1–22. [Google Scholar] [CrossRef]
- Rajapakse, R.K.; Shah, A.H. On the lateral harmonic motion of an elastic bar embedded in an elastic half-space. Int. J. Solids Struct. 1987, 23, 287–303. [Google Scholar] [CrossRef]
- Clough, R.W.; Penzien, J.; Griffin, D.S. Dynamics of Structures; McGraw-Hill: New York, NY, USA, 1975; ISBN 978-0-07011-392-3. [Google Scholar]
- He, R. Dynamic responses of offshore wind turbines on bucket foundations in sand considering soil-structure interaction. In Proceedings of the 27th International Ocean and Polar Engineering Conference, San Francisco, CA, USA, 25–30 June 2017. [Google Scholar]
















| Variable | Case 1 h0 (m) | 7 | 14 | 21 |
| Case 2 Er (GPa) | 0.5 | 5 | 60 | |
| Properties | Parts | Steel pile | Soil | Rock |
| Density-ρ (kg/m3) | 7900 | 1500 | 3000 | |
| Poisson’s Ration-ν | 0.3 | 0.3 | 0.25 | |
| Elastic Modulus-E (MPa) | 2.1 × 105 |
© 2019 by the authors. Licensee MDPI, Basel, Switzerland. This article is an open access article distributed under the terms and conditions of the Creative Commons Attribution (CC BY) license (http://creativecommons.org/licenses/by/4.0/).
Share and Cite
He, R.; Ji, J.; Zhang, J.; Peng, W.; Sun, Z.; Guo, Z. Dynamic Impedances of Offshore Rock-Socketed Monopiles. J. Mar. Sci. Eng. 2019, 7, 134. https://doi.org/10.3390/jmse7050134
He R, Ji J, Zhang J, Peng W, Sun Z, Guo Z. Dynamic Impedances of Offshore Rock-Socketed Monopiles. Journal of Marine Science and Engineering. 2019; 7(5):134. https://doi.org/10.3390/jmse7050134
Chicago/Turabian StyleHe, Rui, Ji Ji, Jisheng Zhang, Wei Peng, Zufeng Sun, and Zhen Guo. 2019. "Dynamic Impedances of Offshore Rock-Socketed Monopiles" Journal of Marine Science and Engineering 7, no. 5: 134. https://doi.org/10.3390/jmse7050134
APA StyleHe, R., Ji, J., Zhang, J., Peng, W., Sun, Z., & Guo, Z. (2019). Dynamic Impedances of Offshore Rock-Socketed Monopiles. Journal of Marine Science and Engineering, 7(5), 134. https://doi.org/10.3390/jmse7050134
