Vertical Structure of the Water Column at the Virgin Islands Shelf Break and Trough
Abstract
1. Introduction
2. Materials and Methods
3. Results
3.1. Defining Features of the Water Column
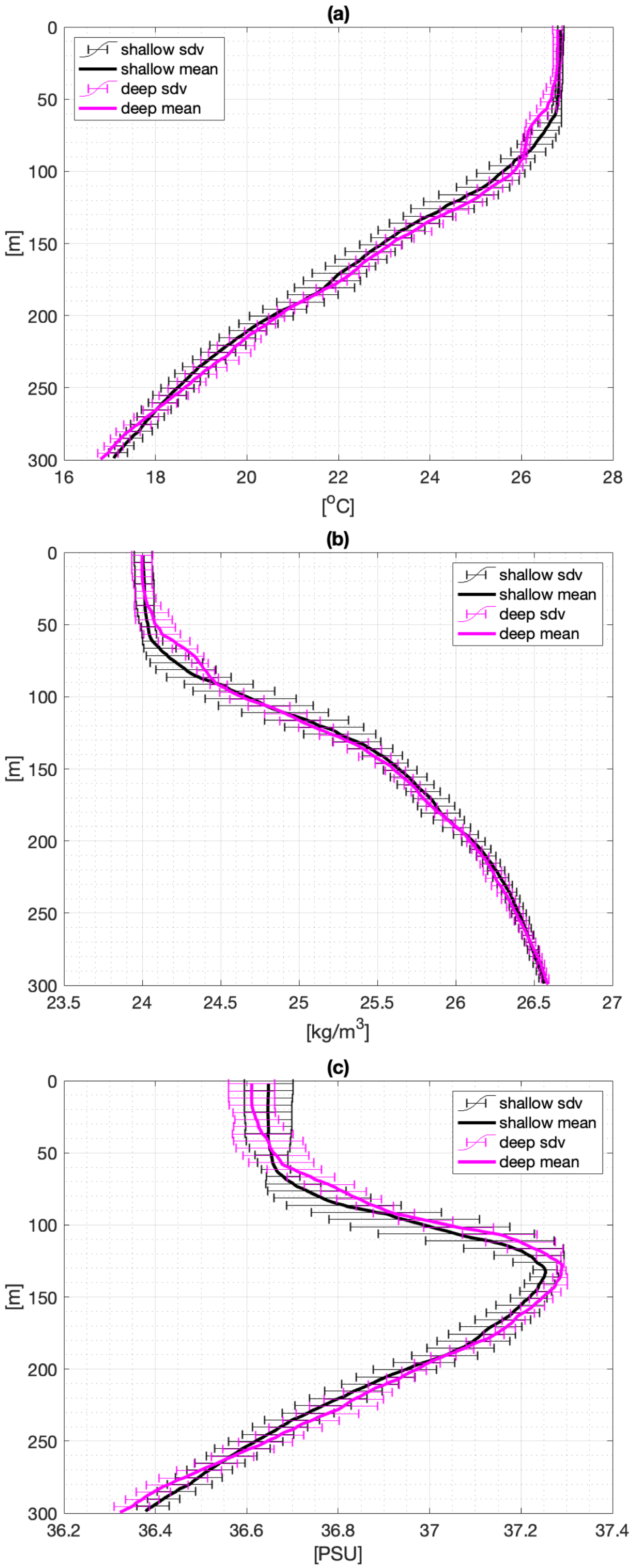
3.2. Comparison of Cross- and Along-Shelf Groups
3.3. Water Mass Identification
4. Discussion
5. Conclusions
- Differences exist in temperature, density, and salinity of the mixed layer among stations within the same group. For shallow stations the depth of the mixed layer is more variable and becomes shallower to the East. The opposite occurs for the deep stations.
- The transition between the mixed layer and the pycnocline in both shallow and deep stations is characterized by a marked step followed by staircase-like profiles, indicating strong stratification of the water column.
- Variations in temperature, density, salinity, and chlorophyll-a exist among shallow and deep stations but variability is higher in shallow stations as shown by comparing standard deviations between shallow and deep stations.
- The strong vertical stratification that characterizes the vertical structure of the water column in the region is a result, in part, of six water mass types present in the Northeastern Caribbean sea: Caribbean Surface Water, Subtropical Underwater, Sargasso Sea Water, Tropical Atlantic Central Water, Antarctic Intermediate Water, and North Atlantic Deep Water.
- CSW, SUW, and SSW water mass types dominate the first 500 m of the water, which indicates that intrusions of these water masses onto the VISB may potentially occur.
Author Contributions
Funding
Acknowledgments
Conflicts of Interest
References
- White, C.; Selkoe, K.A.; Watson, J.; Siegel, D.A.; Zacherl, D.C.; Toonen, R.J. Ocean currents help explain population genetic structure. Proc. R. Soc. B 2010, 277, 1685–1694. [Google Scholar] [CrossRef]
- Pineda, J.; Hare, J.A.; Sponaugle, S. Larval Transport and Dispersal in the Coastal Ocean and Consequences for Population Connectivity. Oceanography 2007, 20, 22–39. [Google Scholar] [CrossRef]
- Palma, E.D.; Matano, R.P.; Piola, A.R. A numerical study of the Southwestern Atlantic Shelf circulation: Stratified ocean response to local and offshore forcing. J. Geophys. Res. Oceans 2008, 113. [Google Scholar] [CrossRef]
- Baltazar-Soares, M.; Biastoch, A.; Harrod, C.; Hanel, R.; Marohn, L.; Prigge, E.; Evans, D.; Bodles, K.; Behrens, E.; Böning, C.; et al. Recruitment Collapse and Population Structure of the European Eel Shaped by Local Ocean Current Dynamics. Curr. Biol. 2014, 24, 104–108. [Google Scholar] [CrossRef] [PubMed]
- Smedile, F.; Scarfi, S.; De Domenico, E.; Garel, M.; Glanville, H.; Gentile, G.; Cono, V.L.; Tamburini, C.; Giuliano, L.; Yakimov, M. Variations in Microbial Community Structure through the Stratified Water Column in the Tyrrhenian Sea (Central Mediterranean). J. Mar. Sci. Eng. 2015, 3, 845–865. [Google Scholar] [CrossRef]
- Matano, R.P.; Palma, E.D. On the Upwelling of Downwelling Currents. J. Phys. Oceanogr. 2008, 38, 2482–2500. [Google Scholar] [CrossRef]
- Linder, C.A.; Gawarkiewicz, G.G.; Pickart, R.S. Seasonal characteristics of bottom boundary layer detachment at the shelfbreak front in the Middle Atlantic Bight. J. Geophys. Res. Oceans 2004, 109. [Google Scholar] [CrossRef]
- Zhang, W.G.; Gawarkiewicz, G.G. Dynamics of the direct intrusion of Gulf Stream ring water onto the Mid-Atlantic Bight shelf. Geophys. Res. Lett. 2015, 42, 7687–7695. [Google Scholar] [CrossRef]
- Rueda-Roa, D.T.; Ezer, T.; Muller-Karger, F.E. Description and Mechanisms of the Mid-Year Upwelling in the Southern Caribbean Sea from Remote Sensing and Local Data. J. Mar. Sci. Eng. 2018, 6, 36. [Google Scholar] [CrossRef]
- Harlan, J.A.; Swearer, S.E.; Leben, R.R.; Fox, C.A. Surface circulation in a Caribbean island wake. Cont. Shelf Res. 2002, 22, 417–434. [Google Scholar] [CrossRef]
- Chérubin, L.; Garavelli, L. Eastern Caribbean Circulation and Island Mass Effect on St. Croix, US Virgin Islands: A Mechanism for Relatively Consistent Recruitment Patterns. PLoS ONE 2016, 11, e0150409. [Google Scholar] [CrossRef]
- Johns, E.M.; Muhling, B.A.; Perez, R.C.; Muller-Karger, F.E.; Melo, N.; Smith, R.H.; Lamkin, J.T.; Gerard, T.L.; Malca, E. Amazon River water in the northeastern Caribbean Sea and its effect on larval reef fish assemblages during April 2009. Fish. Oceanogr. 2014, 23, 472. [Google Scholar] [CrossRef]
- Quattrini, A.M.; Demopoulos, A.W.; Singer, R.; Roa-Varon, A.; Chaytor, J.D. Demersal fish assemblages on seamounts and other rugged features in the northeastern Caribbean. Deep-Sea Res. Part I 2017, 123, 90–104. [Google Scholar] [CrossRef]
- Pittman, S.J.; Monaco, M.E.; Friedlander, A.M.; Legare, B.; Nemeth, R.S.; Kendall, M.S.; Poti, M.; Clark, R.D.; Wedding, L.M.; Caldow, C. Fish with chips: Tracking reef fish movements to evaluate size and connectivity of Caribbean marine protected areas. PLoS ONE 2014, 9, e96028. [Google Scholar] [CrossRef] [PubMed]
- Suga, T.; Motoki, K.; Aoki, Y.; Macdonald, A.M. The North Pacific Climatology of Winter Mixed Layer and Mode Waters. J. Phys. Oceanogr. 2004, 34, 3–22. [Google Scholar] [CrossRef]
- Schneider, N.; Müller, P. The Meridional and Seasonal Structures of the Mixed-Layer Depth and its Diurnal Amplitude Observed during the Hawaii-to-Tahiti Shuttle Experiment. J. Phys. Oceanogr. 1990, 20, 1395–1404. [Google Scholar] [CrossRef]
- Thomson, R.E.; Fine, I.V. Estimating Mixed Layer Depth from Oceanic Profile Data. J. Atmos. Ocean. Technol. 2003, 20, 319–329. [Google Scholar] [CrossRef]
- National Weather Service 2017 Preliminary Rainfall Data; Puerto Rico and U.S. Virgin Islands Climate Division, 2018. Available online: www.weather.gov/media/sju/climo/stats/2017.pdf (accessed on 18 March 2019).
- Gosnell, R.; Fairall, C.W.; Webster, P.J. The sensible heat of rainfall in the tropical ocean. J. Geophys. Res. Oceans 1995, 100, 18437–18442. [Google Scholar] [CrossRef]
- Corredor, J.E.; Morell, J.M. Seasonal variation of physical and biogeochemical features in eastern Caribbean Surface Water. J. Geophys. Res. Oceans 2001, 106, 4517–4525. [Google Scholar] [CrossRef]
- Morrison, J.M.; Nowlin, W.D. General distribution of water masses within the eastern Caribbean Sea during the winter of 1972 and fall of 1973. J. Geophys. Res. Oceans. 1982. [Google Scholar] [CrossRef]
- Molinari, R.L.; Fine, R.A.; Johns, E. The Deep Western Boundary Current in the tropical North Atlantic Ocean. Deep Sea Res. Part A Oceanogr. Res. Pap. 1992, 39, 1967–1984. [Google Scholar] [CrossRef]
- Pickart, R.S. Water mass components of the North Atlantic deep western boundary current. Deep Sea Res. Part A Oceanogr. Res. Pap. 1992, 39, 1553–1572. [Google Scholar] [CrossRef]
- Fine, R.A.; Rhein, M.; Andrié, C. Using a CFC effective age to estimate propagation and storage of climate anomalies in the deep western North Atlantic Ocean. Geophys. Res. Lett. 2002, 29. [Google Scholar] [CrossRef]
- Metcalf, W.G. Caribbean-Atlantic water exchange through the Anegada-Jungfern passage. J. Geophys. Res. 1976, 81, 6401–6409. [Google Scholar] [CrossRef]
- Fine, R.A.; Molinari, R.L. A continuous deep western boundary current between Abaco (26.5N) and Barbados (13N). Deep Sea Res. Part A Oceanogr. Res. Pap. 1988, 35, 1441–1450. [Google Scholar] [CrossRef]
- Schlitzer, R. Ocean Data View. 2018. Available online: odv.awi.de (accessed on 18 March 2019).
- Chapman, D.C.; Lentz, S.J. Acceleration of a Stratified Current over a Sloping Bottom, Driven by an Alongshelf Pressure Gradient. J. Phys. Oceanogr. 2005, 35, 1305–1317. [Google Scholar] [CrossRef]
- Acker, J.G.; Leptoukh, G. Online analysis enhances use of NASA Earth science data. Eos Trans. Am. Geophys. Union 2007, 88, 14–17. [Google Scholar] [CrossRef]
- Johns, W.E.; Townsend, T.L.; Fratantoni, D.M.; Wilson, W. On the Atlantic inflow to the Caribbean Sea. Deep-Sea Res. Part I 2002, 49, 211–243. [Google Scholar] [CrossRef]










| Group | Stations |
|---|---|
| Shallow | 22, 26, 29, 30, 32, 34, 48, 51, 55, 60, 69, 70, 71, 73, 74, 75, 77, 79, 80, 82 |
| Deep | 23, 25, 42, 43, 44, 45, 49, 50, 56, 57, 61, 83 |
| North–South | 82, 83, 84, 85, 86 |
| Range of | Range of | Range of | ||
|---|---|---|---|---|
| Group | Temperature | Density | Salinity | |
| [C] | [kg/m3] | [PSU] | ||
| Shallow (0–50 m) | 0.25 | 0.22 | 0.2 | |
| Deep (0–50 m) | 0.33 | 0.23 | 0.17 | |
| Shallow (51–100 m) | 1.03 | 0.54 | 0.30 | |
| Deep (51–100 m) | 0.40 | 0.24 | 0.18 | |
| Shallow (101–200 m) | 2.02 | 0.55 | 0.25 | |
| Deep (101–200 m) | 0.84 | 0.25 | 0.11 | |
| Shallow (201–300 m) | 1.23 | 0.16 | 0.20 | |
| Deep (201–300 m) | 0.97 | 0.12 | 0.16 |
| Water Mass | Depth Range | Temp. Range | Sal. Range | Oxygen Range | Dens. Interface |
|---|---|---|---|---|---|
| [m] | [C] | [PSU] | [mg/L] | ||
| CSW | 0–100 | >24 | 36.2–37 | >5.5 | >25 |
| SUW | 100–200 | 20–25 | >37 | >5.5 | 25–26 |
| SSW | 200–400 | 14–20 | 36–37 | 4.7–5.5 | 26–27 |
| TACW | 400–750 | 8–14 | 35.3–36 | 4–4.7 | 26–28 |
| AAIW | 750–1000 | 5–8 | 34.7–35.3 | 3.8–4 | 27–28 |
| NADW | >1000 | <6 | 34.7–35 | >4 | >27 |
© 2019 by the authors. Licensee MDPI, Basel, Switzerland. This article is an open access article distributed under the terms and conditions of the Creative Commons Attribution (CC BY) license (http://creativecommons.org/licenses/by/4.0/).
Share and Cite
Seijo-Ellis, G.; Lindo-Atichati, D.; Salmun, H. Vertical Structure of the Water Column at the Virgin Islands Shelf Break and Trough. J. Mar. Sci. Eng. 2019, 7, 74. https://doi.org/10.3390/jmse7030074
Seijo-Ellis G, Lindo-Atichati D, Salmun H. Vertical Structure of the Water Column at the Virgin Islands Shelf Break and Trough. Journal of Marine Science and Engineering. 2019; 7(3):74. https://doi.org/10.3390/jmse7030074
Chicago/Turabian StyleSeijo-Ellis, Giovanni, David Lindo-Atichati, and Haydee Salmun. 2019. "Vertical Structure of the Water Column at the Virgin Islands Shelf Break and Trough" Journal of Marine Science and Engineering 7, no. 3: 74. https://doi.org/10.3390/jmse7030074
APA StyleSeijo-Ellis, G., Lindo-Atichati, D., & Salmun, H. (2019). Vertical Structure of the Water Column at the Virgin Islands Shelf Break and Trough. Journal of Marine Science and Engineering, 7(3), 74. https://doi.org/10.3390/jmse7030074

