Investigation of Focusing Wave Properties in a Numerical Wave Tank with a Fully Nonlinear Potential Flow Model
Abstract
1. Introduction
2. Numerical Model
2.1. Governing Equations
2.2. Focused Wave Generation
3. Results and Discussion
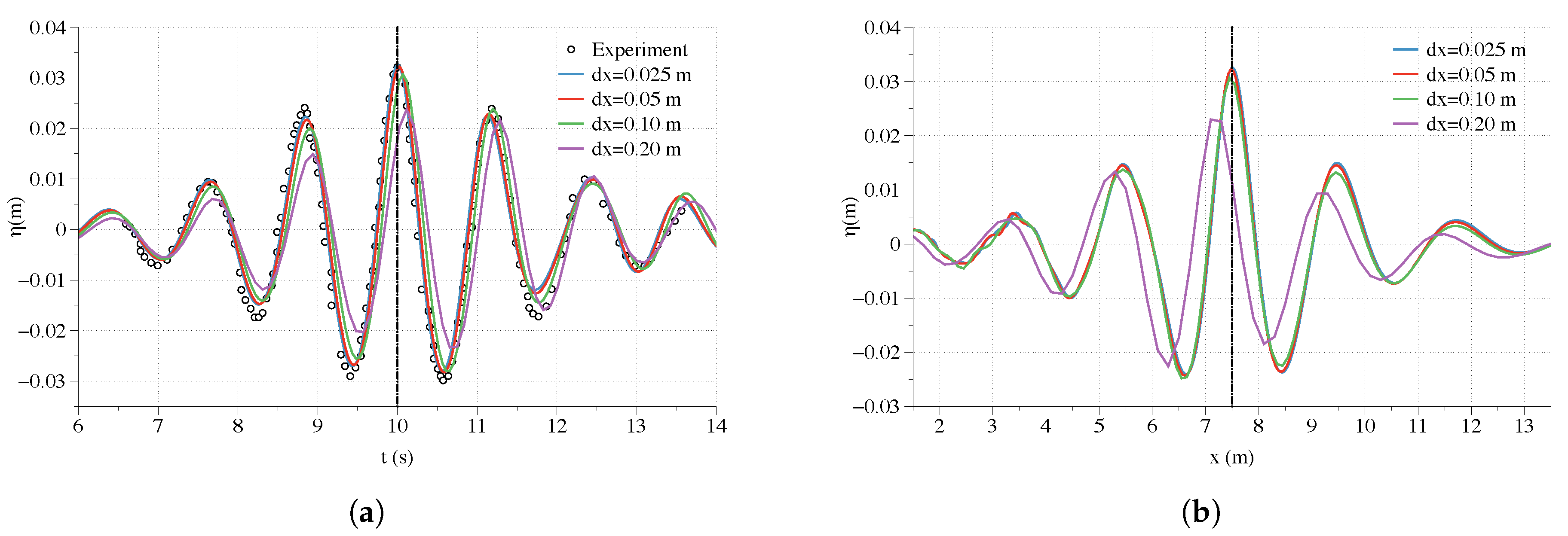
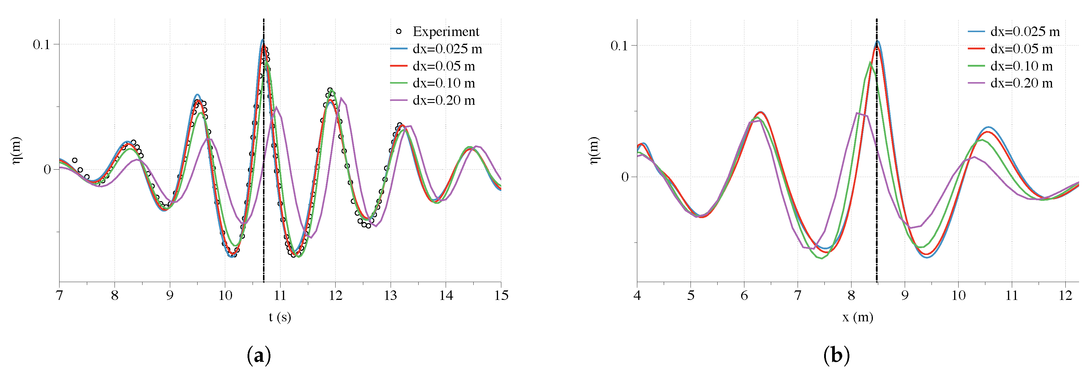
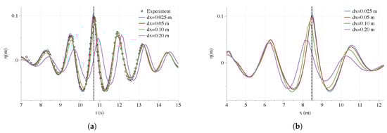
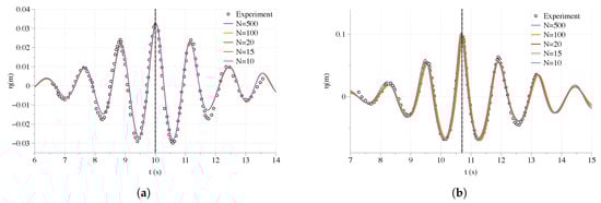
3.1. Validation of the Focused Wave Group Generation in the Numerical Wave Tank (NWT)
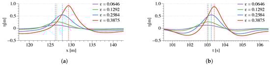
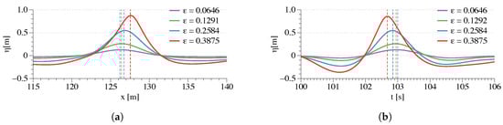
3.2. Effects of Nonlinearity
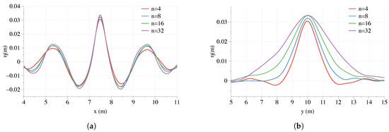
3.3. Effects of Frequency Bandwidth
3.4. Effects of Wave Generation Method
3.5. Effects of Directional Spreading on 3D Focused Wave Group
4. Conclusions
Author Contributions
Funding
Acknowledgments
Conflicts of Interest
References
- Haver, S. A possible freak wave event measured at the Draupner jacket January 1 1995. In Proceedings of the Rogue Waves 2004, Brest, France, 20–22 October 2004. [Google Scholar]
- Lindgren, G. Some Properties of a Normal Process Near a Local Maximum. Ann. Math. Stat. 1970, 41, 1870–1883. [Google Scholar] [CrossRef]
- Tromans, P.S.; Anaturk, A.R.; Hagemeijer, P. A New Model for the Kinematics of Large Ocean Waves-Application as a Design Wave. Int. J. Offshore Polar. 1991, 4, 64–71. [Google Scholar]
- Jonathan, P.; Taylor, P.H. On Irregular, Nonlinear Waves in a Spread Sea. J. Offshore Mech. Arct. Eng. 1997, 119, 37–41. [Google Scholar] [CrossRef]
- Taylor, P.H.; Williams, B.A. Wave Statistics for Intermediate Depth Water—NewWaves and Symmetry. J. Offshore Mech. Arct. Eng. 2004, 126, 54–59. [Google Scholar] [CrossRef]
- Bateman, W.; Swan, C.; Taylor, P. On the Efficient Numerical Simulation of Directionally Spread Surface Water Waves. J. Comput. Phys. 2001, 174, 277–305. [Google Scholar] [CrossRef]
- Johannessen, T.B.; Swan, C. A Laboratory Study of the Focusing of Transient and Directionally Spread Surface Water Waves. Proceedings 2001, 457, 971–1006. [Google Scholar] [CrossRef]
- Borthwick, A.G.; Hunt, A.C.; Feng, T.; Taylor, P.H.; Stansby, P.K. Flow kinematics of focused wave groups on a plane beach in the U.K. Coastal Research Facility. Coast. Eng. 2006, 53, 1033–1044. [Google Scholar] [CrossRef]
- Whittaker, C.; Fitzgerald, C.; Raby, A.; Taylor, P.; Orszaghova, J.; Borthwick, A. Optimisation of focused wave group runup on a plane beach. Coast. Eng. 2017, 121, 44–55. [Google Scholar] [CrossRef]
- Hunt, A. Extreme Waves, Overtopping and Flooding at Sea Defences. Ph.D. Thesis, University of Oxford, Oxford, UK, 2003. [Google Scholar]
- Hunt-Raby, A.C.; Borthwick, A.G.; Stansby, P.K.; Taylor, P.H. Experimental measurement of focused wave group and solitary wave overtopping. J. Hydraul. Res. 2011, 49, 450–464. [Google Scholar] [CrossRef]
- Whittaker, C.; Raby, A.; Fitzgerald, C.; Taylor, P. The average shape of large waves in the coastal zone. Coast. Eng. 2016, 114, 253–264. [Google Scholar] [CrossRef]
- Whittaker, C.; Fitzgerald, C.; Raby, A.; Taylor, P.; Borthwick, A. Extreme coastal responses using focused wave groups: Overtopping and horizontal forces exerted on an inclined seawall. Coast. Eng. 2018, 140, 292–305. [Google Scholar] [CrossRef]
- Hofland, B.; Wenneker, I.; Van Steeg, P. Short test durations for wave overtopping experiments. In Proceedings of the 5th International Conference on the Application of Physical Modelling to Port and Coastal Protection, Varna, Bulgaria, 29 September–2 October 2014; pp. 349–358. [Google Scholar]
- Clauss, G.F.; Bergmann, J. Gaussian wave packets—A new approach to seakeeping testsof ocean structures. Appl. Ocean Res. 1986, 8, 190–206. [Google Scholar] [CrossRef]
- Clauss, G.F.; Kühhnlein, W.L. Numerical Simulation of Nonlinear Transient Waves and Its Validation by Laboratory Data. In Proceedings of the 3rd International Conference on Fast Sea Transport, Luebeck/Travemuende, Germany, 25–27 September 1995; Volume 2, pp. 1193–1204. [Google Scholar]
- Clauss, G.F.; Kuhnlein, W.L. A New Tool for Seakeeping Tests—Nonlinear Transient Wave Packets; 1997; Volume 2, pp. 269–285. Available online: https://www.osti.gov/etdeweb/biblio/634779 (accessed on 20 October 2019).
- Ning, D.Z.; Zang, J.; Liu, S.X.; Eatock Taylor, R.; Teng, B.; Taylor, P.H. Free-surface evolution and wave kinematics for nonlinear uni-directional focused wave groups. Ocean Eng. 2009, 36, 1226–1243. [Google Scholar] [CrossRef]
- Clauss, G.F.; Steinhagen, U. Numerical Simulation of Nonlinear Transient Waves and Its Validation by Laboratory Data. In Proceedings of the 9th International Offshore and Polar Engineering Conference, Brest, France, 30 May–4 June 1999. [Google Scholar]
- Sriram, V.; Schlurmann, T.; Schimmels, S. Focused wave evolution using linear and second order wavemaker theory. Appl. Ocean Res. 2015, 53, 279–296. [Google Scholar] [CrossRef]
- Bai, J.; Ma, N.; Gu, X. Numerical Simulation of Focused Wave and Its Uncertainty Analysis. J. Shanghai Jiaotong Univ. (Sci.) 2018, 23, 475–481. [Google Scholar] [CrossRef]
- Forristall, G.Z.; Barstow, S.F.; Krogstad, H.E.; Prevosto, M.; Taylor, P.H.; Tromans, P.S. Wave Crest Sensor Intercomparison Study: An Overview of WACSIS. J. Offshore Mech. Arct. Eng. 2004, 126, 26–34. [Google Scholar] [CrossRef]
- Buldakov, E.; Stagonas, D.; Simons, R. Extreme wave groups in a wave flume: Controlled generation and breaking onset. Coast. Eng. 2017, 128, 75–83. [Google Scholar] [CrossRef]
- Zang, J.; Taylor, P.H.; Tello, M. Steep Wave and Breaking Wave Impact on Offshore Wind Turbine Foundations—Ringing Re-Visited. In Proceedings of the 25th International Workshop on Water Waves and Floating Bodies, Harbin, China, 9–12 May 2010. [Google Scholar]
- Zang, J.; Gibson, R.; Taylor, P.; Eatock Taylor, R.; Swan, C. Second order wave diffraction around a fixed ship-shaped body in unidirectional steep waves. J. Offshore Mech. Arct. Eng. 2006, 128, 89–99. [Google Scholar] [CrossRef]
- Bai, W.; Taylor, R.E. Numerical simulation of fully nonlinear regular and focused wave diffraction around a vertical cylinder using domain decomposition. Appl. Ocean Res. 2007, 29, 55–71. [Google Scholar] [CrossRef]
- Grilli, S.T.; Guyenne, P.; Dias, F. A fully non-linear model for three-dimensional overturning waves over an arbitrary bottom. Int. J. Numer. Methods Fluids 2001, 35, 829–867. [Google Scholar] [CrossRef]
- Grilli, S.T.; Dias, F.; Guyenne, P.; Fochesato, C.; Enet, F. Progress in Fully Nonlinear Potential Flow Modeling of 3D Extreme Ocean Waves. In Advances in Numerical Simulation of Nonlinear Water Waves; World Scientific: Singapore, 2010; Chapter 1; pp. 75–128. [Google Scholar] [CrossRef]
- Brandini, C.; Grilli, S.T. Three-Dimensional Wave Focusing in Fully Nonlinear Wave Models. In Ocean Wave Measurement and Analysis (2001); American Society of Civil Engineers: Reston, VA, USA, 2001; pp. 1102–1111. [Google Scholar] [CrossRef]
- Fochesato, C.; Grilli, S.; Dias, F. Numerical modeling of extreme rogue waves generated by directional energy focusing. Wave Motion 2007, 44, 395–416. [Google Scholar] [CrossRef]
- Wu, G.; Taylor, R.E. Finite element analysis of two-dimensional non-linear transient water waves. Appl. Ocean Res. 1994, 16, 363–372. [Google Scholar] [CrossRef]
- Wu, G.; Taylor, R.E. Time stepping solutions of the two-dimensional nonlinear wave radiation problem. Ocean Eng. 1995, 22, 785–798. [Google Scholar] [CrossRef]
- Madsen, P.A.; Murray, R.; Sørensen, O.R. A new form of the Boussinesq equations with improved linear dispersion characteristics. Coast. Eng. 1991, 15, 371–388. [Google Scholar] [CrossRef]
- Nwogu, O. Alternative form of Boussinesq equations for nearshore wave propagation. J. Waterw. Port Coast. Ocean Eng. 1993, 119, 618–638. [Google Scholar] [CrossRef]
- Madsen, P.A.; Bingham, H.B.; Liu, H. A new Boussinesq method for fully nonlinear waves from shallow to deep water. J. Fluid Mech. 2002, 462, 1–30. [Google Scholar] [CrossRef]
- Chazel, F.; Benoit, M.; Ern, A.; Piperno, S. A double-layer Boussinesq-type model for highly nonlinear and dispersive waves. Proc. R. Soc. A 2009, 465, 2319–2346. [Google Scholar] [CrossRef]
- Bateman, W.; Swan, C.; Taylor, P. On the calculation of the water particle kinematics arising in a directionally spread wavefield. J. Comput. Phys. 2003, 186, 70–92. [Google Scholar] [CrossRef]
- Bateman, W.; Katsardi, V.; Swan, C. Extreme ocean waves. Part I. The practical application of fully nonlinear wave modelling. Appl. Ocean Res. 2012, 34, 209–224. [Google Scholar] [CrossRef]
- Craig, W.; Sulem, C. Numerical Simulation of Gravity Waves. J. Comput. Phys. 1993, 108, 73–83. [Google Scholar] [CrossRef]
- Ducrozet, G.; Bonnefoy, F.; Le Touzé, D.; Ferrant, P. A modified High-Order Spectral method for wavemaker modeling in a numerical wave tank. Eur. J. Mech. B/Fluids 2012, 34. [Google Scholar] [CrossRef]
- Bonnefoy, F.; Touzé, D.L.; Ferrant, P. A fully-spectral 3D time-domain model for second-order simulation of wavetank experiments. Part A: Formulation, implementation and numerical properties. Appl. Ocean Res. 2006, 28, 33–43. [Google Scholar] [CrossRef]
- Bonnefoy, F.; Touzé, D.L.; Ferrant, P. A fully-spectral 3D time-domain model for second-order simulation of wavetank experiments. Part B: Validation, calibration versus experiments and sample applications. Appl. Ocean Res. 2006, 28, 121–132. [Google Scholar] [CrossRef]
- Bingham, H.B.; Zhang, H. On the accuracy of finite-difference solutions for nonlinear water waves. J. Eng. Math. 2007, 58, 211–228. [Google Scholar] [CrossRef]
- Engsig-Karup, A.; Bingham, H. Boundary-fitted solutions for 3D nonlinear water wave-structure interaction. IWWWFB24. 2009; 20. [Google Scholar]
- Yates, M.L.; Benoit, M. Accuracy and efficiency of two numerical methods of solving the potential flow problem for highly nonlinear and dispersive water waves. Int. J. Numer. Methods Fluids 2015, 77, 616–640. [Google Scholar] [CrossRef]
- Raoult, C.; Benoit, M.; Yates, M.L. Validation of a fully nonlinear and dispersive wave model with laboratory non-breaking experiments. Coast. Eng. 2016, 114, 194–207. [Google Scholar] [CrossRef]
- Zhang, J.; Benoit, M.; Kimmoun, O.; Chabchoub, A.; Hsu, H.C. Statistics of Extreme Waves in Coastal Waters: Large Scale Experiments and Advanced Numerical Simulations. Fluids 2019, 4, 99. [Google Scholar] [CrossRef]
- Clamond, D.; Grue, J. A fast method for fully nonlinear water-wave computations. J. Fluid Mech. 2001, 447, 337–355. [Google Scholar] [CrossRef]
- Fructus, D.; Clamond, D.; Grue, J.; Øyvind, K. An efficient model for three-dimensional surface wave simulations: Part I: Free space problems. J. Comput. Phys. 2005, 205, 665–685. [Google Scholar] [CrossRef]
- Belibassakis, K.; Athanassoulis, G. A coupled-mode system with application to nonlinear water waves propagating in finite water depth and in variable bathymetry regions. Coast. Eng. 2011, 58, 337–350. [Google Scholar] [CrossRef]
- Athanassoulis, G.A.; Belibassakis, K.A.; Papoutsellis, C.E. An exact Hamiltonian coupled-mode system with application to extreme design waves over variable bathymetry. J. Ocean Eng. Mar. Energy 2017, 3, 373–383. [Google Scholar] [CrossRef]
- Engsig-Karup, A.P.; Eskilsson, C. Spectral Element FNPF Simulation of Focused Wave Groups Impacting a Fixed FPSO. In The 28th International Ocean and Polar Engineering Conference; International Society of Offshore and Polar Engineers: Sapporo, Japan, 2018; p. 8. [Google Scholar]
- Chen, L.F.; Zang, J.; Hillis, A.J.; Morgan, G.C.J.; Plummer, A.R. Numerical investigation of wave–structure interaction using OpenFOAM. Ocean Eng. 2014, 88, 91–109. [Google Scholar] [CrossRef]
- Vyzikas, T.; Stagonas, D.; Buldakov, E.; Greaves, D. The evolution of free and bound waves during dispersive focusing in a numerical and physical flume. Coast. Eng. 2018, 132, 95–109. [Google Scholar] [CrossRef]
- Westphalen, J.; Greaves, D.; Williams, C.; Hunt-Raby, A.; Zang, J. Focused waves and wave–structure interaction in a numerical wave tank. Ocean Eng. 2012, 45, 9–21. [Google Scholar] [CrossRef]
- Bihs, H.; Kamath, A.; Chella, M.A.; Aggarwal, A.; Arntsen, Ø.A. A new level set numerical wave tank with improved density interpolation for complex wave hydrodynamics. Comput. Fluids 2016, 140, 191–208. [Google Scholar] [CrossRef]
- Bihs, H.; Kamath, A.; Alagan Chella, M.; Arntsen, Ø. Extreme Wave Generation, Breaking and Impact Simulations With REEF3D. Proceeding of the 36th International Conference on Ocean, Offshore & Arctic Engineering, Trondheim, Norway, 25–30 June 2017. [Google Scholar]
- Bihs, H.; Kamath, A.; Alagan Chella, M.; Arntsen, Ø.A. Extreme Wave Generation, Breaking, and Impact Simulations Using Wave Packets in REEF3D. J. Offshore Mech. Arct. Eng. 2019, 141, 41802–41807. [Google Scholar] [CrossRef]
- Bihs, H.; Alagan Chella, M.; Kamath, A.; Arnsten, Ø.A. Wave-Structure Interaction of Focussed Waves with REEF3D. In Proceedings of the ASME 2016 35th International Conference on Ocean, Offshore and Arctic Engineering, Busan, Korea, 19–24 June 2016; number 49934. p. V002T08A027. [Google Scholar]
- Bihs, H.; Chella, M.A.; Kamath, A.; Arntsen, Ø.A. Numerical Investigation of Focused Waves and Their Interaction With a Vertical Cylinder Using REEF3D. J. Offshore Mech. Arct. Eng. 2017, 139, 41101–41108. [Google Scholar] [CrossRef]
- Paulsen, B.T.; Bredmose, H.; Bingham, H. An efficient domain decomposition strategy for wave loads on surface piercing circular cylinders. Coast. Eng. 2014, 86, 57–76. [Google Scholar] [CrossRef]
- Chella, M.A.; Bihs, H.; Myrhaug, D. Wave impact pressure and kinematics due to breaking wave impingement on a monopile. J. Fluids Struct. 2019, 86, 94–123. [Google Scholar] [CrossRef]
- Kamath, A.; Chella, M.A.; Bihs, H.; Arntsen, Ø.A. Evaluating wave forces on groups of three and nine cylinders using a 3D numerical wave tank. Eng. Appl. Comput. Fluid Mech. 2015, 9, 343–354. [Google Scholar] [CrossRef]
- Kamath, A.; Bihs, H.; Arntsen, Ø.A. Study of Water Impact and Entry of a Free Falling Wedge Using Computational Fluid Dynamics Simulations. J. Offshore Mech. Arct. Eng. 2017, 139, 31802–31806. [Google Scholar] [CrossRef]
- Ahmad, N.; Bihs, H.; Myrhaug, D.; Kamath, A.; Arntsen, Ø.A. Numerical modelling of pipeline scour under the combined action of waves and current with free-surface capturing. Coast. Eng. 2019, 148, 19–35. [Google Scholar] [CrossRef]
- Bihs, H.; Kamath, A.; Aggarwal, A.; Pakozdi, C. Efficient Wave Modeling using Nonhydrostatic Pressure Distribution and Free Surface Tracking on Fixed Grids. J. Offshore Mech. Arct. Eng. 2019, 141, 41805–41806. [Google Scholar] [CrossRef]
- Beji, S.; Battjes, J.A. Experimental investigation of wave propagation over a bar. Coast. Eng. 1993, 19, 151–162. [Google Scholar] [CrossRef]
- Bihs, H.; Wang, W.; Martin, T.; Kamath, A. REEF3D::FNP—A Flexible Fully Nonlinear Potential Flow Solver. In Proceeding of the 38th International Conference on Ocean, Offshore & Arctic Engineering, Glasgow, Scotland, UK, 9–14 June 2019. in press. [Google Scholar]
- Mayer, S.; Garapon, A.; Sørensen, L.S. A fractional step method for unsteady free surface flow with applications to non-linear wave dynamics. Int. J. Numer. Methods Fluids 1998, 28, 293–315. [Google Scholar] [CrossRef]
- Van der Vorst, H. BiCGStab: A fast and smoothly converging variant of Bi-CG for the solution of nonsymmetric linear systems. SIAM J. Sci. Comput. 1992, 13, 631–644. [Google Scholar] [CrossRef]
- Jiang, G.S.; Shu, C.W. Efficient Implementation of Weighted ENO Schemes. J. Comput. Phys. 1996, 126, 202–228. [Google Scholar] [CrossRef]
- Shu, C.W.; Osher, S. Efficient Implementation of Essentially Non-Oscillatory Shock Capturing Schemes. J. Comput. Phys. 1988, 77, 439–471. [Google Scholar] [CrossRef]
- Hennig, J. Generation and Analysis of Harsh Wave Environments. Ph.D. Thesis, Technical University Berlin, Berlin, Germany, 2005. [Google Scholar]
- DNV Recommended Practice RP-C205 “Environmental Conditions and Environmental Loads”; Technical Report; 2000; Available online: https://books.google.com.ph/books?hl=en&lr=&id=p6dpDQAAQBAJ&oi=fnd&pg=PR5&dq=In+Advances+in+Numerical+Simulation+of+Nonlinear+Water+Waves%3B+World+Scientific:&ots=ACLl5FYHQ0&sig=GJHXXMCd29gQ23p3FTAQD1jHnZk&redir_esc=y#v=onepage&q=In%20Advances%20in%20Numerical%20Simulation%20of%20Nonlinear%20Water%20Waves%3B%20World%20Scientific%3A&f=false (accessed on 20 October 2019).
- Pierson, W.J.; Neumann, G.; James, R.W. Practical Methods for Observing and Forecasting Ocean Waves by Means of Wave Spectra and Statistics; U.S. Government Printing Office: Washington, DC, USA, 1955.
- Duarte, T.; Gueydon, S.; Jonkman, J.; Sarmento, A. Computation of Wave Loads under Multidirectional Sea States for Floating Offshore Wind Turbines. In Proceedings of the 33rd International Conference on Ocean, Offshore and Arctic Engineering, San Francisco, CA, USA, 8–13 June 2014. [Google Scholar] [CrossRef]
- Jefferys, E.R. Directional seas should be ergodic. Appl. Ocean Res. 1987. [Google Scholar] [CrossRef]
- Schäffer, H.A. Second-Order Wavemaker Theory for Irregular Waves. Ocean Eng. 1996, 23, 47–88. [Google Scholar] [CrossRef]
- Baldock, T.E.; Swan, C.; Taylor, P.H. A laboratory study of nonlinear surface waves on water. Philos. Trans. R. Soc. A 1996. [Google Scholar] [CrossRef]
- Alber, I.E.; Stewartson, K. The effects of randomness on the stability of two-dimensional surface wavetrains. Proc. R. Soc. Lond. A 1978, 363, 525–546. [Google Scholar] [CrossRef]
- Socquet-Juglard, H.; Dysthe, K.; Trulsen, K.; Krogstad, H.E.; Liu, J. Probability distributions of surface gravity waves during spectral changes. J. Fluid Mech. 2005, 542, 195–216. [Google Scholar] [CrossRef]
- Dysthe, K.B.; Trulsen, K.; Krogstad, H.E.; Socquet-Juglard, H. Evolution of a narrow-band spectrum of random surface gravity waves. J. Fluid Mech. 2003, 478, 1–10. [Google Scholar] [CrossRef]
- Kharif, C.; Pelinovsky, E.; Slunyaev, A. Rogue Waves in the Ocean. In Advances in Geophysical and Environmental Mechanics and Mathematics; Springer: Berlin/Heidelberg, Germany, 2009. [Google Scholar] [CrossRef]



























| Case No. | (s) | (m) | (m) | (s) | (m) | (s) |
|---|---|---|---|---|---|---|
| NING1 | 1.20 | 0.0313 | 7.5 | 10.0 | 7.5 | 10.0 |
| NING3 | 1.25 | 0.0875 | 7.2 | 10.0 | 8.475 | 10.7 |
| Case No. | (m) | (s) | (m) | (m) | (s) | |
|---|---|---|---|---|---|---|
| Case PK1 | 0.25 | 4.20 | 24.32 | 0.0646 | 0.00 | 0.00 |
| Case PK2 | 0.50 | 4.20 | 24.32 | 0.1292 | 0.09 | 0.05 |
| Case PK3 | 1.00 | 4.20 | 24.32 | 0.2584 | 0.54 | 0.15 |
| Case PK4 | 1.50 | 4.20 | 24.32 | 0.3875 | 1.29 | 0.31 |
| Case No. | (m) | (s) | (m) | (m) | (s) | |
|---|---|---|---|---|---|---|
| NS1 | 0.0391 | 1.20 | 2.00 | 0.1229 | 0.000 | 0.000 |
| NS2 | 0.0470 | 1.20 | 2.00 | 0.1475 | 0.075 | 0.015 |
| NS3 | 0.0626 | 1.20 | 2.00 | 0.1967 | 0.375 | 0.165 |
| NS4 | 0.0783 | 1.20 | 2.00 | 0.2458 | 1.025 | 0.520 |
| Case No. | Range (rad/s) | Bandwidth (rad/s) | (m) | |
|---|---|---|---|---|
| NB1 | [5.02, 6.54] | 1.52 | 0.06191 | 1.10 |
| NB2 | [4.27, 7.04] | 2.77 | 0.06142 | 1.88 |
| NB3 | [3.77, 7.54] | 3.77 | 0.06143 | 1.87 |
| NB4 | [2.77, 9.54] | 6.77 | 0.05690 | 9.11 |
| NB5 | [1.77, 11.04] | 9.27 | 0.05495 | 12.22 |
© 2019 by the authors. Licensee MDPI, Basel, Switzerland. This article is an open access article distributed under the terms and conditions of the Creative Commons Attribution (CC BY) license (http://creativecommons.org/licenses/by/4.0/).
Share and Cite
Wang, W.; Kamath, A.; Pakozdi, C.; Bihs, H. Investigation of Focusing Wave Properties in a Numerical Wave Tank with a Fully Nonlinear Potential Flow Model. J. Mar. Sci. Eng. 2019, 7, 375. https://doi.org/10.3390/jmse7100375
Wang W, Kamath A, Pakozdi C, Bihs H. Investigation of Focusing Wave Properties in a Numerical Wave Tank with a Fully Nonlinear Potential Flow Model. Journal of Marine Science and Engineering. 2019; 7(10):375. https://doi.org/10.3390/jmse7100375
Chicago/Turabian StyleWang, Weizhi, Arun Kamath, Csaba Pakozdi, and Hans Bihs. 2019. "Investigation of Focusing Wave Properties in a Numerical Wave Tank with a Fully Nonlinear Potential Flow Model" Journal of Marine Science and Engineering 7, no. 10: 375. https://doi.org/10.3390/jmse7100375
APA StyleWang, W., Kamath, A., Pakozdi, C., & Bihs, H. (2019). Investigation of Focusing Wave Properties in a Numerical Wave Tank with a Fully Nonlinear Potential Flow Model. Journal of Marine Science and Engineering, 7(10), 375. https://doi.org/10.3390/jmse7100375

