Possible Criterion to Estimate the Juvenile Reference Length of Common Sardine (Strangomera bentincki) off Central-Southern Chile
Abstract
1. Introduction
2. Materials and Methods
2.1. Data
2.2. Change Point Criterion
2.3. Model Selection Criterion
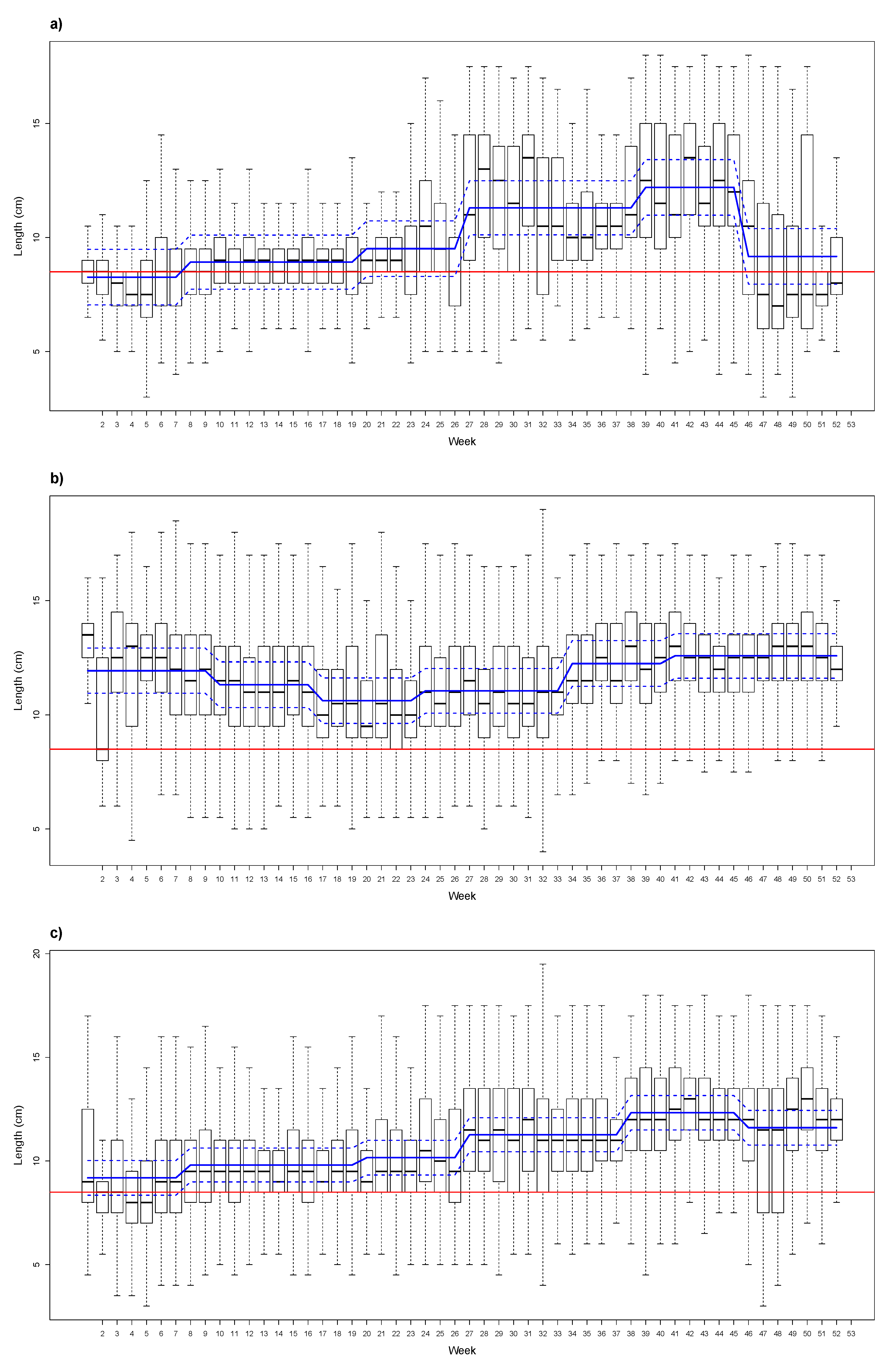
3. Results
4. Discussion and Conclusions
Author Contributions
Acknowledgments
Conflicts of Interest
References
- Cochrane, K.L. (Ed.) Guía del Administrador Pesquero. Medidas de Ordenación y su Aplicación; FAO Documento Técnico de Pesca 424; División de Recursos Pesqueros, Departamento de pesca, FAO: Rome, Italy, 2005. [Google Scholar]
- Cubillos, L.A.; Bucarey, D.A.; Canales, M. Monthly abundance estimation for common sardine Strangomera bentincki and anchovy Engraulis ringens in the central-southern area off Chile (34-40 S). Fish. Res. 2002, 57, 117–130. [Google Scholar] [CrossRef]
- Aranis, A.; Gómez, A.; Caballero, L.; Walker, K.; Ramírez, M.; Muñoz, G.; Eisele, G.; Cerna, F.; Valero, C.; López, A.; et al. Informe Final, Programa de Seguimiento de Pesquerías Pelágicas de la Zona Centro-Sur de Chile, 2016; Subsecretaría de Economía y EMT, Instituto de Fomento Pesquero: Valparaíso, Chile, 2015; 337p. [Google Scholar]
- Cubillos, L. Diseño y Evaluación Integral de Políticas de Escape de la Fracción Recluta, Pelágicos Pequeños, Zona Centro sur de Chile; Informe de Avance, Universidad de Concepción: Concepción, Chile, 2013; 131p. [Google Scholar]
- Csirke, J. Introducción a la Dinámica de Poblaciones de Peces; FAO Documento Técnico de Pesca; FAO: Rome, Italy, 1989; Volume 192, 82p. [Google Scholar]
- Mace, P.M. Relationships between common biological reference points used as thresholds and targets of fisheries management strategies. Can. J. Fish. Aquat. Sci. 1994, 51, 110–122. [Google Scholar] [CrossRef]
- Cubillos, L.A.; Arcos, D.F.; Bucarey, D.A.; Canales, M.T. Seasonal growth of small pelagic fish off Talcahuano, Chile (37∘ S, 73∘ W): A consequence of their reproductive strategy to seasonal upwelling? Aquat. Liv. Res. 2001, 14, 115–124. [Google Scholar] [CrossRef]
- Contreras-Reyes, J.E.; Arellano-Valle, R.B.; Canales, T.M. Comparing growth curves with asymmetric heavy-tailed errors: Application to southern blue whiting (Micromesistius australis). Fish. Res. 2014, 159, 88–94. [Google Scholar] [CrossRef]
- Comité Científico Pelágicos Pequeños. Análisis de Indicadores del Reclutamiento de Peces Pelágicos en la Zona Centro-Sur. In Proceedings of the GT Historia de Vida y Ecología Reproductiva, 20p, Viña del Mar, Chile, 4–5 October 2012. [Google Scholar]
- Andrews, D.W. Tests for parameter instability and structural change with unknown change point. Econometrica 1993, 61, 821–856. [Google Scholar] [CrossRef]
- Balke, N.S. Detecting level shifts in time series. J. Bus. Econ. Stat. 1993, 11, 81–92. [Google Scholar]
- Valderrama, L.; Contreras-Reyes, J.E.; Carrasco, R. Ecological impact of forest fires and subsequent restoration in Chile. Resources 2018, 7, 26. [Google Scholar] [CrossRef]
- Contreras-Reyes, J.E. Analyzing fish condition factor index through skew-gaussian information theory quantifiers. Fluct. Noise Lett. 2016, 15, 1650013. [Google Scholar] [CrossRef]
- Contreras-Reyes, J.E.; Canales, T.M.; Rojas, P.M. Influence of climate variability on anchovy reproductive timing off northern Chile. J. Mar. Syst. 2016, 164, 67–75. [Google Scholar] [CrossRef]
- Arellano-Valle, R.B.; Contreras-Reyes, J.E.; Stehlík, M. Generalized skew-normal negentropy and its application to fish condition factor time series. Entropy 2017, 19, 528. [Google Scholar] [CrossRef]
- Perron, P.-M.; Bai, J. Computation and Analysis of Multiple Structural Change Models. J. Appl. Economet. 2003, 18, 1–22. [Google Scholar]
- Zeileis, A.; Kleiber, C.; Krämer, W.; Hornik, K. Testing and dating of structural changes in practice. Comput. Stat. Data Anal. 2003, 44, 109–123. [Google Scholar] [CrossRef]
- Zeileis, A.; Leisch, F.; Hornik, K.; Kleiber, C. strucchange: An R Package for Testing for Structural Change in Linear Regression Models. J. Stat. Softw. 2002, 7, 1–38. [Google Scholar] [CrossRef]
- R Core Team. R: A Language and Environment for Statistical Computing. R Foundation for Statistical Computing; R Core Team: Vienna, Austria, 2017; ISBN 3-900051-07-0. [Google Scholar]
- Saavedra, A.; Catasti, V.; Leiva, F.; Vargas, R.; Cifuentes, U.; Reyes, H.; Molina, E.; Cerna, F. Evaluación Hidroacústica de los Stocks de Anchoveta y Sardina Común entre la V y X Regiones, aÑo 2014; Informe Final FIP Nro 2013-05; Subsecretaría de Pesca, Gobierno de Chile: Valparaíso, Chile, 2014; 306p. [Google Scholar]
- Cubillos, L.; Arancibia, H. On the seasonal growth of common sardine (Strangomera bentincki) and anchovy (Engraulis ringens) off Talcahuano, Chile. Rev. Biol. Mar. 1993, 28, 39–43. [Google Scholar]
- Sepúlveda, A. Variabilidad Temporal del Ictioplancton en El área de Surgencia Costera de Chile Central: Procesos Ambientales y Biológicos Asociados. M.Sc. Thesis, Universidad de Concepción, Concepción, Chile, 1990; 81p. [Google Scholar]
- Galleguillos, R.; Troncoso, L.; Oyarzún, C. Population differentiation in the Chilean herring, Strangomera bentincki (Pisces: Clupeidae) I: Genetic analysis of protein variability. Rev. Chil. Hist. Nat. 1997, 70, 351–361. [Google Scholar]
- Nicholson, M.D.; Jennings, S. Testing candidate indicators to support ecosystem-based management: The power of monitoring surveys to detect temporal trends in fish community metrics. ICES J. Mar. Sci. 2004, 61, 35–42. [Google Scholar] [CrossRef]
- Barría, P.; Böhm, M.G.; Aranis, A.; Gili, R.; Donoso, M.; Rosales, S. Evaluación Indirecta y Análisis de la Variabilidad del Crecimiento de Sardina Común y Anchoveta en la Zona Centro-Sur; Informe Final. FIP Nro. 97-10; Subsecretaría de Pesca, Gobierno de Chile: Valparaíso, Chile, 1999; 115p. [Google Scholar]
- Gulland, J. Informe sobre la dinámica de la población de la anchoveta peruana. Boletín IMARPE 1968, 1, 305–346. [Google Scholar]



| Area | Intercept | 95% Confidence Bands | k | AIC | ||
|---|---|---|---|---|---|---|
| V–VIII | 8.773 | 8.336–9.210 | −74.986 | 2 | 155.972 | 0.506 |
| 8.903 | 8.629–9.177 | −53.385 | 3 | 114.770 | 0.785 | |
| 8.318 | 7.862–8.774 | −48.646 | 4 | 107.292 | 0.821 | |
| 8.318 | 7.900–8.736 | −43.527 | 5 | 99.054 | 0.853 | |
| 8.263 | 7.832–8.693 | −40.994 | 6 | 95.989 | 0.866 | |
| 8.263 | 7.775–8.750 | −46.808 | 7 | 109.617 | 0.833 | |
| IX–XIV | 11.261 | 11.053–11.470 | −45.855 | 2 | 97.709 | 0.494 |
| 11.854 | 11.554–12.153 | −35.591 | 3 | 79.183 | 0.659 | |
| 11.938 | 11.615–12.260 | −33.694 | 4 | 77.388 | 0.683 | |
| 11.938 | 11.623–12.252 | −31.837 | 5 | 75.674 | 0.705 | |
| 11.938 | 11.627–12.249 | −30.616 | 6 | 75.231 | 0.718 | |
| 11.938 | 11.598–12.278 | −34.645 | 7 | 85.289 | 0.671 | |
| V–XIV | 9.737 | 9.516–9.958 | −42.629 | 2 | 91.257 | 0.759 |
| 9.640 | 9.433–9.846 | −35.490 | 3 | 78.979 | 0.817 | |
| 9.188 | 8.851–9.526 | −29.515 | 4 | 69.030 | 0.854 | |
| 9.188 | 8.884–9.493 | −23.506 | 5 | 59.012 | 0.884 | |
| 9.188 | 8.892–9.485 | −21.526 | 6 | 57.052 | 0.893 | |
| 9.188 | 8.878–9.499 | −23.337 | 7 | 62.674 | 0.885 |
© 2018 by the authors. Licensee MDPI, Basel, Switzerland. This article is an open access article distributed under the terms and conditions of the Creative Commons Attribution (CC BY) license (http://creativecommons.org/licenses/by/4.0/).
Share and Cite
Walker, K.; Aranis, A.; Contreras-Reyes, J.E. Possible Criterion to Estimate the Juvenile Reference Length of Common Sardine (Strangomera bentincki) off Central-Southern Chile. J. Mar. Sci. Eng. 2018, 6, 82. https://doi.org/10.3390/jmse6030082
Walker K, Aranis A, Contreras-Reyes JE. Possible Criterion to Estimate the Juvenile Reference Length of Common Sardine (Strangomera bentincki) off Central-Southern Chile. Journal of Marine Science and Engineering. 2018; 6(3):82. https://doi.org/10.3390/jmse6030082
Chicago/Turabian StyleWalker, Karen, Antonio Aranis, and Javier E. Contreras-Reyes. 2018. "Possible Criterion to Estimate the Juvenile Reference Length of Common Sardine (Strangomera bentincki) off Central-Southern Chile" Journal of Marine Science and Engineering 6, no. 3: 82. https://doi.org/10.3390/jmse6030082
APA StyleWalker, K., Aranis, A., & Contreras-Reyes, J. E. (2018). Possible Criterion to Estimate the Juvenile Reference Length of Common Sardine (Strangomera bentincki) off Central-Southern Chile. Journal of Marine Science and Engineering, 6(3), 82. https://doi.org/10.3390/jmse6030082

