Wave-Created Mud Suspensions: A Theoretical Study
Abstract
1. Introduction
2. Materials and Methods
2.1. 1DV Model: Wave Forcing and Momentum Equation
2.2. 1DV Model: Suspended Sediment Equation
2.3. 1DV Model: Sediment Flux across the Seafloor
2.4. 1DV Model: Turbulence Closure
2.5. Experimental Design
3. Results
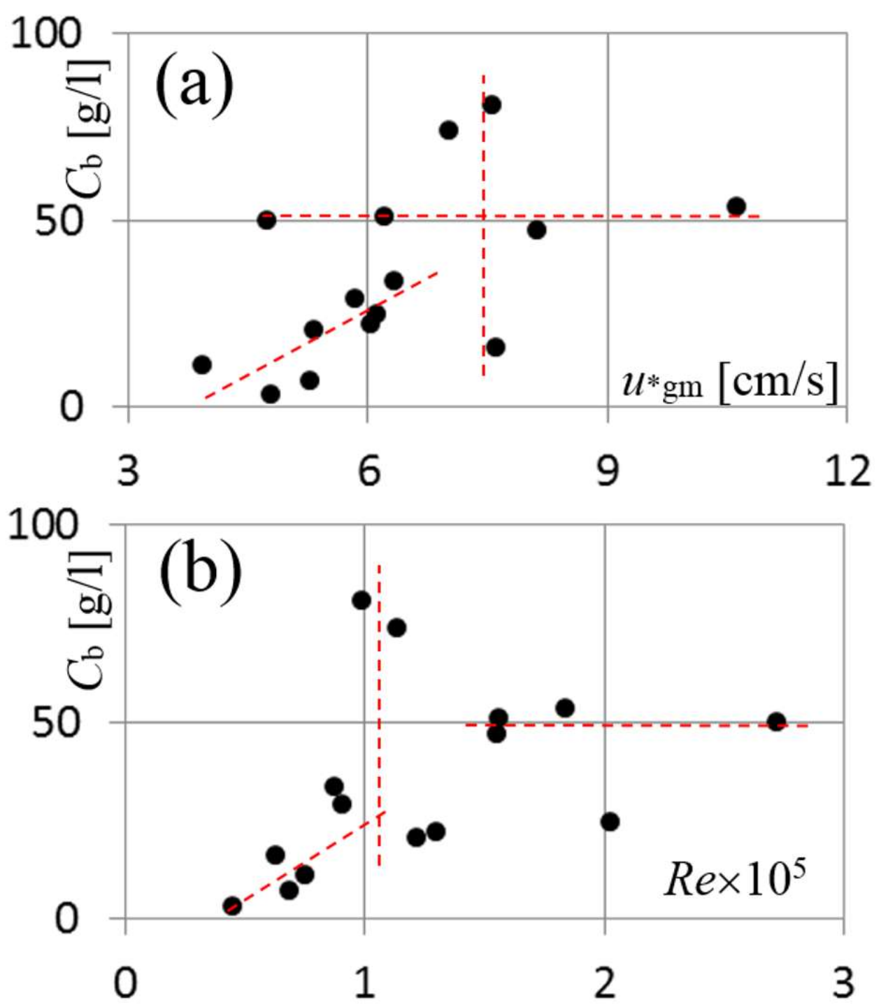
3.1. Characteristics of Mud Suspensions in Laboratory Experiments
3.2. Erosion-Deposition Characteristics of Suspended Mud
3.3. One-Dimensional Water-Column Model Simulations
3.3.1. Variations of Wave Forcing and C*
3.3.2. Development and Equilibrium of Fluid Mud Layers
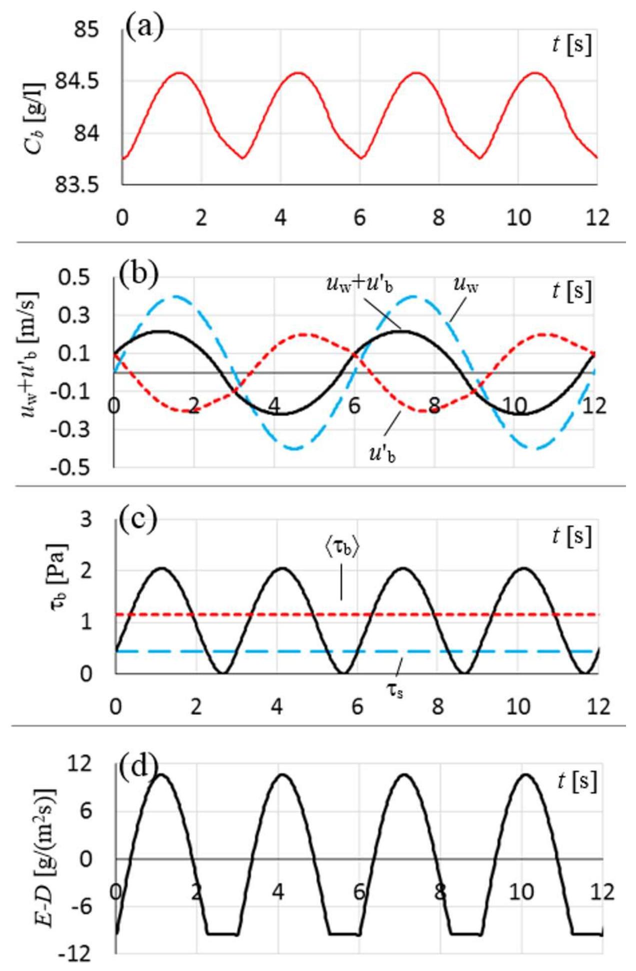
3.3.3. How Do Lutoclines Form Under Wave Forcing?
3.3.4. What Controls the Thickness of Wave-Created Fluid Mud Layers?
4. Discussion
Acknowledgments
Author Contributions
Conflicts of Interest
References
- Traykovski, P.; Wiberg, P.L.; Geyer, W.R. Observations and modeling of wave-supported sediment gravity flows on the Po prodelta and comparison to prior observations from the Eel shelf. Cont. Shelf Res. 2007, 27, 375–399. [Google Scholar] [CrossRef]
- Maa, P.-Y.; Mehta, A.J. Mud erosion by waves: A laboratory study. Cont. Shelf Res. 1987, 7, 1269–1284. [Google Scholar] [CrossRef]
- Kineke, G.C.; Sternberg, R.W.; Trowbridge, J.H.; Geyer, W.R. Fluid mud processes on the Amazon continental shelf. Cont. Shelf Res. 1996, 16, 667–697. [Google Scholar] [CrossRef]
- Schrottke, K.; Becker, M.; Bartholomä, A.; Flemming, B.W.; Hebbeln, D. Fluid mud dynamics in the Weser estuary turbidity zone tracked by high-resolution side-scan sonar and parametric sub-bottom profiler. Geo-Mar. Lett. 2006, 26, 185–198. [Google Scholar] [CrossRef]
- Odd, N.V.M.; Bentley, M.A.; Waters, C.B. Observations and analysis of the movement of fluid mud in an estuary. In Nearshore and Estuarine Cohesive Sediment Transport, Coastal and Estuarine Studies; Mehta, A.J., Ed.; American Geophysical Union: Washington, DC, USA, 2013; Volume 42, pp. 430–446. [Google Scholar]
- Kao, S.J.; Jan, S.; Hsu, S.C.; Lee, T.Y.; Dai, M. Sediment budget in the Taiwan Strait with high fluvial sediment inputs from mountainous rivers: New observations and synthesis. Terr. Atmos. Ocean. Sci. 2008, 19, 525–546. [Google Scholar] [CrossRef]
- Winterwerp, J.C. On the Dynamics of High-Concentrated Mud Suspensions. Ph.D. Thesis, Delft University of Technology, Delft, The Netherlands, 1999. [Google Scholar]
- Grant, W.D.; Madsen, O.S. The continental-shelf bottom boundary layer. Annu. Rev. Fluid Mech. 1986, 18, 265–305. [Google Scholar] [CrossRef]
- Traykovski, P.; Geyer, W.R.; Irish, J.D.; Lynch, J.F. The role of density driven fluid mud flows for cross-shelf transport on the Eel River continental shelf. Cont. Shelf Res. 2000, 20, 2113–2140. [Google Scholar] [CrossRef]
- Winterwerp, J.C.; van Kesteren, W.G.M. Introduction to the physics of cohesive sediment in the marine environment. In Developments in Sedimentology; van Loon, T., Ed.; Elsevier: Amsterdam, The Netherlands, 2004; Volume 56, 466p. [Google Scholar]
- Winterwerp, J.C. On the flocculation and settling velocity of estuarine mud. Cont. Shelf Res. 2002, 22, 1339–1360. [Google Scholar] [CrossRef]
- Kämpf, J.; Myrow, P.M. High-density mud suspensions and cross-shelf transport: On the mechanism of gelling ignition. J. Sed. Res. 2014, 84, 215–223. [Google Scholar] [CrossRef]
- Cheng, Z.; Yu, X.; Hsu, T.-J.; Balachandar, S. A numerical investigation of fine sediment resuspension in the wave boundary layer—Uncertainties in particle inertia and hindered settling. Comput. Geosci. 2015, 83, 176–192. [Google Scholar] [CrossRef]
- Krone, R.B. A Study of Rheological Properties of Estuarial Sediments; Technical Bulletin No. 7; Committee on Tidal Hydraulics, Army Engineer Waterways Experiment Station: Vicksburg, MS, USA, 1963. [Google Scholar]
- Coussot, P. Mudflow Rheology and Dynamics; International Association for Hydraulic Research: Rotterdam, The Netherlands, 1997; 255p. [Google Scholar]
- Tan, T.S.; Young, K.Y.; Leong, E.C.; Lu, S.L. Sedimentation of clayey slurry. J. Geotech. Eng. 1990, 116, 885–898. [Google Scholar] [CrossRef]
- Toorman, E.A. Sedimentation and self-weight consolidation: Constitutive equations and numerical modelling. Geotechnique 1999, 49, 709–726. [Google Scholar] [CrossRef]
- Gratiot, N.; Michallet, H.; Mory, M. On the determination of the settling flux of cohesive sediments in a turbulent fluid. J. Geophys. Res. 2005, 110. [Google Scholar] [CrossRef]
- Wurpts, R. 15 years (of) experience with fluid mud: Definition of the nautical bottom with rheological parameters. Terra Aqua 2005, 99, 22–32. [Google Scholar]
- Wan, Z.; Wang, Z. Hyperconcentrated Flow; IAHR Monograph Series; August Aimé Balkema: Rotterdam, The Netherlands, 1994; 289p. [Google Scholar]
- Lambrechts, J.; Humphrey, C.; McKinna, L.; Gourge, O.; Fabricius, K.; Mehta, A.; Lewis, S.; Wolanski, E. The importance of wave-induced bed fluidisation in the fine sediment budget of Cleveland Bay, Great Barrier Reef. Estuar. Coast. Shelf Sci. 2010, 89, 154–162. [Google Scholar] [CrossRef]
- Lamb, M.P.; D’Asaro, E.; Parsons, J.D. Turbulent structure of high-density suspensions formed under waves. J. Geophys. Res. Oceans 2004, 109, C12026–C12039. [Google Scholar] [CrossRef]
- Lamb, M.P.; Parsons, J.D. High-density suspensions formed under waves. J. Sediment. Res. 2005, 79, 386–397. [Google Scholar] [CrossRef]
- Jaramillo, S.; Sheremet, A.; Allison, M.; Reed, A.H.; Holland, K.T. Observations of wave-sediment interaction on Atchafalaya shelf, Louisiana, USA: Sediment dynamics and implications on subaqueous clinoform development. J. Geophys. Res. 2009, 114, C04002. [Google Scholar] [CrossRef]
- Sheremet, A.; Jaramillo, S.; Su, S.-F.; Allison, M.A.; Holland, K.T. Wave-mud interactions over the muddy Atchafalaya subaqueous clinoform, Louisiana, United States: Wave processes. J. Geophys. Res. 2011, 116, C06005. [Google Scholar] [CrossRef]
- Lesser, G.R. An Approach to Medium-Term Coastal Morphological Modelling. Ph.D. Thesis, Delft University of Technology, Delft, The Netherlands, 2009. [Google Scholar]
- Warner, J.C.; Sherwood, C.R.; Signell, R.P.; Harris, C.K.; Arango, H.G. Development of a threedimensional, regional, coupled wave, current and sediment-transport mode. Comput. Geosci. 2008, 34, 1284–1306. [Google Scholar] [CrossRef]
- Li, Y.G.; Parchure, T.M. Mudbanks of the southwest coast of India, VI: Suspended sediment profiles. J. Coastal Res. 1998, 14, 1363–1372. [Google Scholar]
- Winterwerp, J.C. Stratification effects by cohesive and noncohesive sediment. J. Geophys. Res. 2001, 106, 22559–22574. [Google Scholar] [CrossRef]
- Dong, P.; Zhang, K. Intense near-bed sediment motions in waves and currents. Coast. Eng. 2002, 45, 75–87. [Google Scholar] [CrossRef]
- Hsu, T.-J.; Jenkins, J.T.; Liu, P.L.-F. On two-phase sediment transport: Sheet flow of massive particles. Proc. R. Soc. Lond. Ser. A 2004, 460, 2223–2250. [Google Scholar] [CrossRef]
- Kranenburg, C. On the fractal structure of cohesive sediment aggregates. Estuar. Coast. Shelf Sci. 1994, 39, 451–460. [Google Scholar] [CrossRef]
- Winterwerp, J.C. A simple model for turbulence induced flocculation of cohesive sediments. J. Hydraul. Res. 1998, 36, 309–326. [Google Scholar] [CrossRef]
- Hsu, T.-J.; Traykovski, P.A.; Kineke, G.C. On modeling boundary layer and gravity-driven fluid mud transport. J. Geophys. Res. 2007, 112, C04011. [Google Scholar] [CrossRef]
- Hsu, T.-J.; Ozdemir, C.E.; Traykovski, P.A. High resolution numerical modeling of wave-supported gravity-driven fluid mud transport. J. Geophys. Res. Oceans 2009, 114, C05014. [Google Scholar] [CrossRef]
- Le Hir, P.; Bassoulet, P.; Jestin, H. Application of the continuous modeling concept to simulate high-concentration suspended sediment in a macro-tidal estuary. In Coastal and Estuarine Fine Sediment Processes: Proceedings of Marine Science; McAnally, W.H., Metha, A.J., Eds.; Elsevier: Amsterdam, The Netherlands, 2001; Volume 3, pp. 229–248. [Google Scholar]
- Huang, X.; García, M.H. A Herschel-Bulkley model for mud flow down a slope. J. Fluid Mech. 1998, 374, 305–333. [Google Scholar] [CrossRef]
- Mellor, G. Oscillatory bottom boundary layers. J. Phys. Oceanogr. 2002, 32, 3075–3088. [Google Scholar] [CrossRef]
- Son, M.; Byun, J.; Kim, S.; Chung, E.-S. Effect of particle size on calibration of Schmidt number. In Proceedings of the 14th International Coastal Symposium, Sydney, Australia, 6–11 March 2016; Volume 75, pp. 148–152. [Google Scholar]
- Camenen, B.; Pham Van Bang, D. Modelling the settling of suspended sediments for concentrations close to the gelling concentration. Cont. Shelf Res. 2011, 31, S106–S116. [Google Scholar] [CrossRef]
- Le Hir, P.; Cayocca, F.; Waeles, B. Dynamics of sand and mud mixtures: A multiprocess-based modelling strategy. Cont. Shelf Res. 2011, 31 (Suppl. 1), S135–S149. [Google Scholar] [CrossRef]
- Jepsen, R.; Roberts, J.; Lick, W. Effects of bulk density on sediment erosion rates. Water Air Soil Pollut. 1997, 99, 21–31. [Google Scholar] [CrossRef]
- Parchure, T.M. Erosional Behaviour of Deposited Cohesive Sediments. Ph.D. Thesis, University of Florida, Gainsville, FL, USA, 1984. [Google Scholar]
- Dyer, K.R. Sediment processes in estuaries: Future research requirements. J. Geophys. Res. 1989, 94, 2156–2202. [Google Scholar] [CrossRef]
- Sanford, L.P.; Maa, J.P.-Y. A unified erosion formulation for fine sediments. Mar. Geol. 2001, 179, 9–23. [Google Scholar] [CrossRef]
- Winterwerp, J.C. On the sedimentation rate of cohesive sediment. In Coastal and Estuarine Fine Sediment Processes: Proceedings in Marine Science; Maa, J.P.-Y., Sanford, L.P., Schoellhammer, D.H., Eds.; Elsevier: Amsterdam, The Netherlands, 2007; Volume 8, pp. 209–226. [Google Scholar]
- Kuzmin, D.; Mierka, O.; Turek, S. On the implementation of the k-epsilon turbulence model in incompressible flow solvers based on a finite element discretisation. Int. J. Comput. Sci. Math. 2007, 1, 193–206. [Google Scholar] [CrossRef]
- Venayagamoorthy, S.K.; Koseff, J.R.; Ferziger, J.H.; Shih, L.H. Testing of RANS Turbulence Models for Stratified Flows Based on DNS Data; Annual Research Briefs, Center for Turbulence Research, NASA-AMES: Mountain View, CA, USA, 2003; pp. 127–138. [Google Scholar]
- Burchard, H.; Petersen, O. Models of turbulence in the marine environment—A comparative study of two-equation turbulence models. J. Mar. Syst. 1999, 21, 29–53. [Google Scholar] [CrossRef]
- Ross, M.A.; Mehta, A.J. On the mechanics of lutoclines and fluid mud. J. Coast. Res. 1989, 5, 51–62. [Google Scholar]
- Rouse, H. Modern conceptions of the mechanics of fluid turbulence. Trans. Amer. Soc. Civ. Eng. 1937, 102, 463–543. [Google Scholar]
- Jiang, J.; Mehta, A.J. Interfacial instabilities at the lutocline in the Jiaojiang Estuary, China. In Fine Sediment Dynamics in the Marine Environment; Winterwerp, J.C., Kranenburg, C., Eds.; Elsevier: Amsterdam, The Netherlands, 2002; pp. 125–137. [Google Scholar]
- Kämpf, J.; Backhaus, J.O.; Fohrmann, H. Sediment-induced slope convection: Two- dimensional numerical case studies. J. Geophys. Res. 1999, 104, 20509–20522. [Google Scholar]
- Kämpf, J.; Fohrmann, H. Sediment-driven downslope flow in submarine canyons and channels: Three-dimensional numerical experiments. J. Phys. Oceanogr. 2000, 30, 2302–2319. [Google Scholar] [CrossRef]














| Parameter | Description | Value | |
|---|---|---|---|
| Main Configuration | Sensitivity Study | ||
| ua | Wave speed in (1) | 20–55 cm/s | 40 cm/s |
| T | Wave period in (1) | 6 s | - |
| Ks | Bed roughness height in (6) | 2 mm | - |
| σs | Schmidt number in (8) and (21) | 0.7 | 0.25–2 |
| C* | Sediment parameter in (10) and (15) | 90–400 g/L | 180 g/L |
| wso | Settling velocity in (10) and (15) | 1 mm/s | 0.1–1.4 mm/s |
| eo | Erosion-rate constant in (12) | 0.01 kg/m2/s | - |
| τso | Initial critical erosion stress in (13) | 0.1 Pa | - |
| do | Bed shear-strength parameter in (13) | 0.25 mm | - |
| ρs,bed | Density of “soft” bed sediment in (14) | 1150 kg/m3 | - |
| cε3 | Stratification factor in (19) | 1.2 | 0.60–3.0 |
© 2018 by the authors. Licensee MDPI, Basel, Switzerland. This article is an open access article distributed under the terms and conditions of the Creative Commons Attribution (CC BY) license (http://creativecommons.org/licenses/by/4.0/).
Share and Cite
Kämpf, J.; Myrow, P.M. Wave-Created Mud Suspensions: A Theoretical Study. J. Mar. Sci. Eng. 2018, 6, 29. https://doi.org/10.3390/jmse6020029
Kämpf J, Myrow PM. Wave-Created Mud Suspensions: A Theoretical Study. Journal of Marine Science and Engineering. 2018; 6(2):29. https://doi.org/10.3390/jmse6020029
Chicago/Turabian StyleKämpf, Jochen, and Paul M. Myrow. 2018. "Wave-Created Mud Suspensions: A Theoretical Study" Journal of Marine Science and Engineering 6, no. 2: 29. https://doi.org/10.3390/jmse6020029
APA StyleKämpf, J., & Myrow, P. M. (2018). Wave-Created Mud Suspensions: A Theoretical Study. Journal of Marine Science and Engineering, 6(2), 29. https://doi.org/10.3390/jmse6020029

