On the Intersite Variability in Inter-Annual Nearshore Sandbar Cycles
Abstract
:1. Introduction
2. Environmental Settings
2.1. Cross-Shore Bed Profile Characteristics
2.2. Sandbar Characteristics
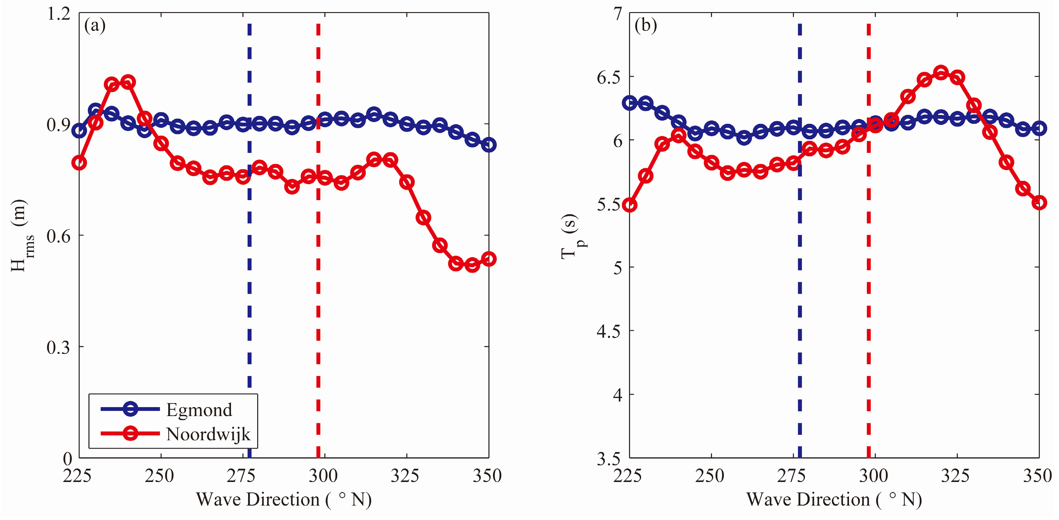
2.3. Wave and Tidal Characteristics
3. Approach
3.1. Model Description
3.2. Hindcast Model Simulations
3.3. Analysis Method
4. Model Results
4.1. The Reference Cases (Scenarios NN and EE)
4.2. Effects of Wave Climate vs. Sediment Size and Profile (Scenarios EN and NE)
4.3. Effects of Profile Slope and Bar Characteristics
5. The Relative Influence of Environmental Parameters on Tr
5.1. Introduction
5.2. Effect of the Profile Slope on the Bar Migration Rate in the Inner Surf Zone
5.3. Identification of the Effects of Hrms, θ and d50 on Tr
- 1)
- A relatively larger increase in hXb as a bar gradually migrates offshore which in turn causes fewer waves to break on the bar and consequently reduces the offshore bar migration.
- 2)
- Enhanced wave breaking results in relatively larger bars (e.g., see Figure 13b) that will also reduce the offshore migration (e.g. compare scenarios ENNN and NN in Table 5; see also [19]). Although a larger bar amplitude implies a somewhat smaller hXb at the same cross-shore location (and Tr), the increase in hXb as a bar migrates offshore dominates the Tr response.
- 3)
- An increased water depth where bar decay sets in due to more intense wave breaking. Combined with the more energetic wave climate this increases the bar zone width at Egmond by about 200 m compared to Noordwijk (as was both observed (Figure 2) and predicted (Figure 8)). Therefore, it takes longer for the bars to migrate across this region (e.g., a mean offshore migration rate of 40 m/year would lead to a five year increase in Tr).
6. Discussion
7. Conclusions
Acknowledgments
Author Contributions
Conflicts of Interest
References
- Greenwood, B.; Davidson-Arnott, R.G.D. Sedimentation and equilibrium in wave-formed bars: A review and case study. Can. J. Earth Sci. 1979, 16, 312–332. [Google Scholar] [CrossRef]
- Wijnberg, K.M.; Kroon, A. Barred beaches. Geomorphology 2002, 40, 103–120. [Google Scholar] [CrossRef]
- Ruessink, B.G.; Wijnberg, K.M.; Holman, R.A.; Kuriyama, Y.; van Enckevort, I.M.J. Intersite comparison of interannual nearshore bar behavior. J. Geophys. Res. Oceans 2003, 108, 3249. [Google Scholar] [CrossRef]
- Zenkovich, V.P. Processes of Coastal Development; Oliver and Boyd: White Plains, NY, USA, 1967. [Google Scholar]
- Walstra, D.J.R.; Ruessink, B.G.; Reniers, A.J.H.M.; Ranasinghe, R. Process-based modeling of kilometer-scale alongshore sandbar variability. Earth Surf. Process. Landf. 2015, 40, 995–1005. [Google Scholar] [CrossRef]
- Kroon, A. Three-dimensional morphological changes of nearshore bar system along the coast near Egmond aan Zee. J. Coast. Res. 1990, 9, 430–451. [Google Scholar]
- Quartel, S.; Ruessink, B.G.; Kroon, A. Daily to seasonal cross-shore behaviour of quasi-persistent intertidal beach morphology. Earth Surf. Process. Landf. 2007, 32, 1293–1307. [Google Scholar] [CrossRef]
- Walstra, D.J.R.; Brière, C.D.E.; Vonhögen-Peeters, L.M. Evaluating the PEM passive beach drainage system in a 4-year field experiment at Egmond (The Netherlands). Coast. Eng. 2014, 93, 1–14. [Google Scholar] [CrossRef]
- Van Duin, M.J.P.; Wiersma, N.R.; Walstra, D.J.R.; van Rijn, L.C.; Stive, M.J.F. Nourishing the shoreface: Observations and hindcasting of the Egmond case, The Netherlands. Coast. Eng. 2004, 51, 813–837. [Google Scholar] [CrossRef]
- Ojeda, E.; Ruessink, B.G.; Guillen, J. Morphodynamic response of a two-barred beach to a shoreface nourishment. Coast. Eng. 2008, 55, 1185–1196. [Google Scholar] [CrossRef]
- Van der Spek, A.; Elias, E. The effects of nourishments on autonomous coastal behaviour. In Coastal Dynamics, Proceedings of the 7th International Conference on Coastal Dynamics; pp. 1753–1763.
- Kroon, A. Sediment Transport and Morphodynamics of the Beach And Nearshore Zone Near Egmond, the Netherlands. Ph.D. Thesis, Utrecht University, Utrecht, The Netherlands, 1994. [Google Scholar]
- Ruessink, B.G.; Kuriyama, Y.; Reniers, A.J.H.M.; Roelvink, J.A.; Walstra, D.J.R. Modeling cross-shore sandbar behavior on the timescale of weeks. J. Geophys. Res. Earth Surf. 2007, 112, 1–15. [Google Scholar]
- Van Enckevort, I.M.J.; Ruessink, B.G. Video observations of nearshore bar behavior. Part 1: Alongshore uniform variability. Cont. Shelf Res. 2003, 23, 501–512. [Google Scholar] [CrossRef]
- Ruggiero, P.; Walstra, D.J.R.; Gelfenbaum, G.; van Ormondt, M. Seasonal-scale nearshore morphological evolution: Field observations and numerical modeling. Coast. Eng. 2009, 56, 1153–1172. [Google Scholar] [CrossRef]
- Dubarbier, B.; Castelle, B.; Marieu, V.; Ruessink, B.G. Process-based modeling of cross-shore sandbar behavior. Coast. Eng. 2015, 95, 35–50. [Google Scholar] [CrossRef]
- Ruessink, B.G.; Kroon, A. The behaviour of a multiple bar system in the nearshore zone of Terschelling: 1965–1993. Mar. Geol. 1994, 121, 187–197. [Google Scholar] [CrossRef]
- Wijnberg, K.M.; Terwindt, J.H.J. Extracting decadal morphological behavior from high-resolution, long-term bathymetric surveys along the Holland coast using eigen function analysis. Mar. Geol. 1995, 126, 301–330. [Google Scholar] [CrossRef]
- Shand, R.D.; Bailey, D.G.; Shephard, M.J. An inter-site comparison of net offshore bar migration characteristics and environmental conditions. J. Coast. Res. 1999, 15, 750–765. [Google Scholar]
- Kuriyama, Y. Medium-term bar behavior and associated sediment transport at Hasaki, Japan. J. Geophys. Res. Oceans 2002, 107, 3132. [Google Scholar] [CrossRef]
- Walstra, D.J.R.; Reniers, A.J.H.M.; Ranasinghe, R.; Roelvink, J.A.; Ruessink, B.G. On bar growth and decay during interannual net offshore migration. Coast. Eng. 2012, 60, 190–200. [Google Scholar] [CrossRef]
- Ruessink, B.G.; Terwindt, J.H.J. The behaviour of nearshore bars on the time scale of years: A conceptual model. Mar. Geol. 2000, 163, 289–302. [Google Scholar] [CrossRef]
- Plant, N.G.; Holman, R.A.; Freilich, M.H.; Birkemeier, W.A. A simple model for inter-annual sandbar behavior. J. Geophys. Res. Oceans 1999, 104, 15755–15776. [Google Scholar] [CrossRef]
- Wijnberg, K.M. Environmental controls on decadal morphologic behaviour of the Holland coast. Mar. Geol. 2002, 189, 227–247. [Google Scholar] [CrossRef]
- Lippmann, T.C.; Holman, R.A.; Hathaway, K.K. Episodic, non-stationary behaviour of a double bar system at Duck, North Carolina, USA. J. Coast. Res. 1993, 15, 49–75. [Google Scholar]
- Shand, R.D.; Bailey, D.G.; Shephard, M.J. Longshore realignment of shore-parallel sand-bars at Wanganui, New Zealand. Mar. Geol. 2001, 179, 147–161. [Google Scholar] [CrossRef]
- Van Rijn, L.C.; Ribberink, J.S.; van der Werf, J.; Walstra, D.J.R. Coastal sediment dynamics: Recent advances and future research needs. J. Hydraul. Res. 2013, 51, 475–493. [Google Scholar] [CrossRef]
- Van Rijn, L.C.; Ruessink, B.G.; Mulder, J.P.M. Coast3D Egmond: The Behaviour of a Straight Sandy Coast on the Time Scale of Storms and Seasons; Aqua Publications: Amsterdam, The Netherlands, 2002. [Google Scholar]
- Hinton, C.; Nicholls, R.J. Spatial and temporal behaviour of depth of closure along the Holland coast. In Proceedings of the 26th International Coastal Engineering Conference, Copenhagen, Denmark, 22–26 June 1998; pp. 2913–2925.
- Pape, L.; Plant, N.G.; Ruessink, B.G. On cross-shore sandbar behavior and equilibrium states. J. Geophys. Res. Earth Surf. 2010, 115. [Google Scholar] [CrossRef]
- Battjes, J.A.; Janssen, J.P.F.M. Energy loss and set-up due to breaking of random waves. In Proceedings of the 16th International Conference on Coastal Engineering, New York, NY, USA, 27 August–3 September 1978; pp. 570–587.
- Nairn, R.B.; Roelvink, J.A.; Southgate, H.N. Transition zone width and implications for modelling surfzone hydrodynamics. In Proceedings of the 22nd International Conference on Coastal Engineering, Delft, The Netherlands, 2–6 July 1990; pp. 68–91.
- Roelvink, J.A.; Meijer, T.J.G.P.; Houwman, K.; Bakker, R.; Spanhoff, R. Field validation and application of a coastal profile model. In Proceedings of the Coastal Dynamics Conference, Gdansk, Poland, 4–8 September 1995.
- Ruessink, B.G.; Walstra, D.J.R.; Southgate, H.N. Calibration and verification of a parametric wave model on barred beaches. Coast. Eng. 2003, 48, 139–149. [Google Scholar] [CrossRef]
- Reniers, A.J.H.M.; Thornton, E.B.; Stanton, T.P.; Roelvink, J.A. Vertical flow structure during sandy duck: Observations and modeling. Coast. Eng. 2004, 51, 237–260. [Google Scholar] [CrossRef]
- Roelvink, J.A.; Stive, M.J.F. Bar-generating cross-shore flow mechanisms on a beach. J. Geophys. Res. 1989, 94, 4785–4800. [Google Scholar] [CrossRef]
- Ribberink, J. Bed-load transport for steady flows and unsteady oscillatory flows. Coast. Eng. 1998, 34, 52–82. [Google Scholar] [CrossRef]
- Van Rijn, L.C. Principles of Sediment Transport in Rivers, Estuaries and Coastal Seas; Aqua Publications: Amsterdam, The Netherlands, 1993. [Google Scholar]
- Dean, R.G. Equilibrium Beach Profiles: U.S. Atlantic and Gulf Coasts; Technical Report No. 12; Department of Civil Engineering, University of Delaware: Newark, DE, USA, 1977. [Google Scholar]
- Horel, J.D. Complex principal component analysis: Theory and examples. J. Clim. Appl. Meteorol. 1984, 23, 1660–1673. [Google Scholar] [CrossRef]
- Walstra, D.J.R.; Hoekstra, R.; Tonnon, P.K.; Ruessink, B.G. Input reduction for long-term morphodynamic simulations in wave-dominated coastal settings. Coast. Eng. 2013, 77, 57–70. [Google Scholar] [CrossRef]
- De Vriend, H.J. On the predictability of coastal morphology. In Proceedings of the 3rd European Marine Science and Technology Conference, Lisbon, Portugal, 23–27 May 1998.














| Grain size | Noordwijk (µm) [14] | Egmond (µm) [28] |
|---|---|---|
| d50 | 180 | 265 |
| d90 | 280 | 380 |
| dss | 170 | 240 |
| Scenario | Profile and Sediment | Wave Time Series |
|---|---|---|
| NN | Noordwijk | Noordwijk |
| EN | Egmond | Noordwijk |
| NE | Noordwijk | Egmond |
| EE | Egmond | Egmond |
| Profile Code | Bar | Shoreface | ||
|---|---|---|---|---|
| Upper/ d50 | Middle | Lower | ||
| 1 (ENNN) | Egmond | Noordwijk | Noordwijk | Noordwijk |
| 2 (NENN) | Noordwijk | Egmond | Noordwijk | Noordwijk |
| 3 (EENN) | Egmond | Egmond | Noordwijk | Noordwijk |
| 4 (NNEN) | Noordwijk | Noordwijk | Egmond | Noordwijk |
| 5 (NNNE) | Noordwijk | Noordwijk | Noordwijk | Egmond |
| Scenario | Profile/Sediment | Wave Conditions | Cycle Period (years) |
|---|---|---|---|
| NN | Noordwijk | Noordwijk | 4.8 |
| EN | Egmond | Noordwijk | 14.6 |
| NE | Noordwijk | Egmond | 2.4 |
| EE | Egmond | Egmond | 8.7 |
| Profile Code | Bar return period, Tr (years) Wave Time Series | Relative change in Tr (−) Wave Time Series | ||
|---|---|---|---|---|
| Noordwijk | Egmond | Noordwijk | Egmond | |
| 1 (ENNN) | 6.5 | 2.8 | 1.36 (NN) | 1.17 (NE) |
| 2 (NENN) | *7.0 | 6.1 | *1.46 (NN) | 2.55 (NE) |
| 3 (EENN) | 12.9 | 7.0 | 0.89/2.69 (EN/NN) | 0.80/2.91 (EE/NE) |
| 4 (NNEN) | 4.6 | 2.2 | 0.95 (NN) | 0.90 (NE) |
| 5 (NNNE) | 5.1 | 2.6 | 1.05 (NN) | 1.10 (NE) |
© 2016 by the authors; licensee MDPI, Basel, Switzerland. This article is an open access article distributed under the terms and conditions of the Creative Commons Attribution license ( http://creativecommons.org/licenses/by/4.0/).
Share and Cite
Walstra, D.-J.R.; Wesselman, D.A.; Van der Deijl, E.C.; Ruessink, G. On the Intersite Variability in Inter-Annual Nearshore Sandbar Cycles. J. Mar. Sci. Eng. 2016, 4, 15. https://doi.org/10.3390/jmse4010015
Walstra D-JR, Wesselman DA, Van der Deijl EC, Ruessink G. On the Intersite Variability in Inter-Annual Nearshore Sandbar Cycles. Journal of Marine Science and Engineering. 2016; 4(1):15. https://doi.org/10.3390/jmse4010015
Chicago/Turabian StyleWalstra, Dirk-Jan R., Daan A. Wesselman, Eveline C. Van der Deijl, and Gerben Ruessink. 2016. "On the Intersite Variability in Inter-Annual Nearshore Sandbar Cycles" Journal of Marine Science and Engineering 4, no. 1: 15. https://doi.org/10.3390/jmse4010015
APA StyleWalstra, D.-J. R., Wesselman, D. A., Van der Deijl, E. C., & Ruessink, G. (2016). On the Intersite Variability in Inter-Annual Nearshore Sandbar Cycles. Journal of Marine Science and Engineering, 4(1), 15. https://doi.org/10.3390/jmse4010015

