Dynamic Response of the Towing System for Different Seabed Topography Conditions
Abstract
1. Introduction
2. Establishment of Mathematical Formulas
2.1. Towing Cable Analysis Under No-Seabed-Contact Conditions
2.2. Seabed Contact of Towing Cable
2.2.1. Boundary Condition
2.2.2. Initial Conditions
2.3. Extension to 3D Spatial Coupling Mechanics for Irregular Topographies (Novelty of the Present Model)
3. Analysis of Different Seabeds
3.1. Simulation Modeling of Ships
3.2. Sloping Seabed
3.3. Step-Distributed Seabed
3.4. Irregular 3D-Type Seabed
4. 2D (Two-Dimensional) and 3D (Three-Dimensional) Analysis
4.1. 2D Analysis
4.2. 3D Analysis
4.3. Dimensionality Transformation
5. Factors Affecting the Touchdown of Underwater Towing Cables
5.1. Seabed Rigidity
Quantitative Assessment of Seabed Rigidity on Transient Tension
- Soft Seabed Verification: On the soft, visco-plastic seabed model, the kinetic energy of the cable is significantly absorbed by the vertical seabed deformation (subsidence). The numerically predicted tension curve exhibits a prolonged impact duration ( s) with a dampened PAR of 1.15. This aligns remarkably well with the experimental low-amplitude oscillation profile (Figure 27a), yielding a cross-correlation coefficient of
- Hard Seabed Verification: Conversely, for the highly rigid seabed, the collision approaches a purely elastic restitution. The impact duration abruptly decreases ( s), and the localized impact pressure cannot be dissipated by soil yielding. Consequently, the energy is entirely forced back into the cable’s longitudinal elastic wave propagation. Our model predicts a PAR of 1.68, representing a 46.1% amplification in peak transient tension compared to the soft seabed scenario. This acute, high-frequency “tension leaping” accurately mirrors the severe fluctuations observed in Figure 27b.
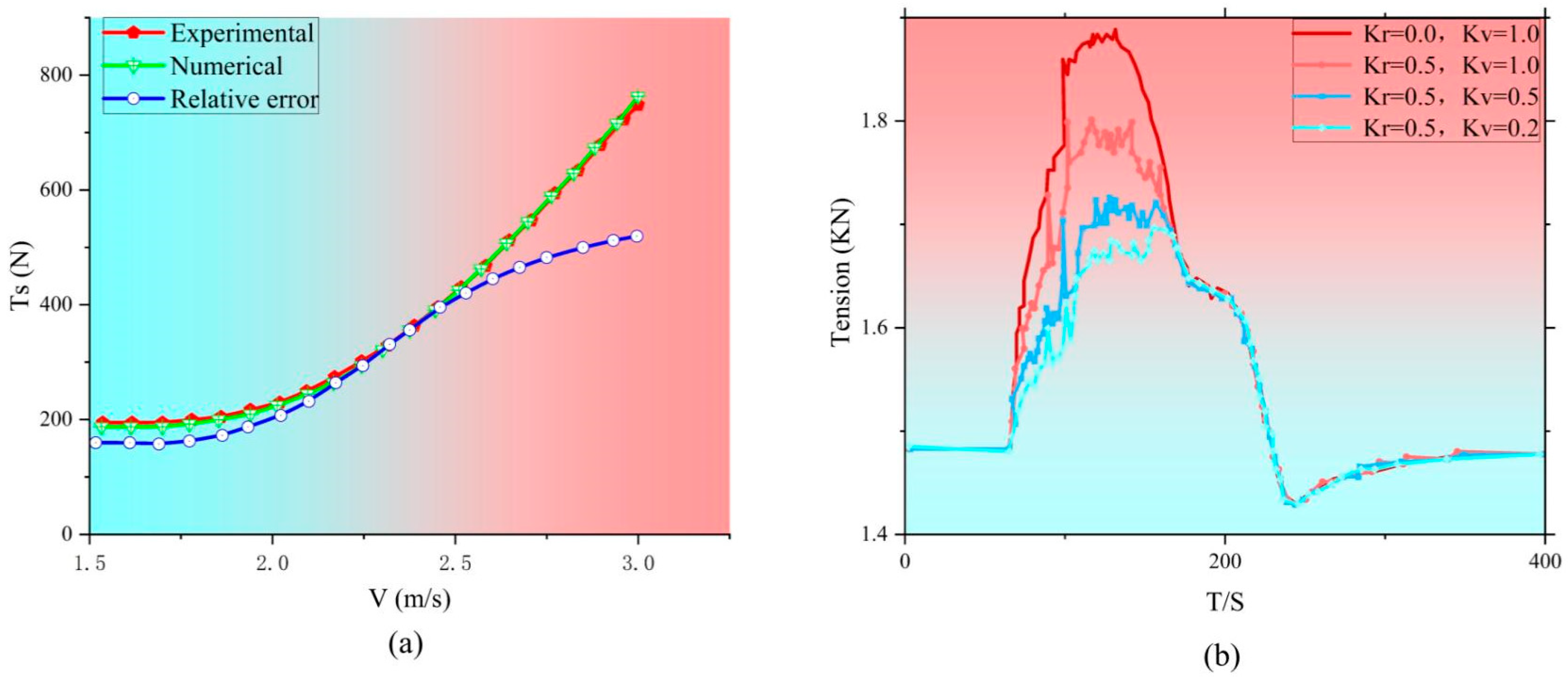
5.2. Effect of Different Towing Speeds on Touchdown
Quantitative Analysis and Physical Mechanics of High-Speed Whiplash Effects
- Low-Speed Regime (V = 1.5 m/s): The steady-state baseline tension T0 is relatively low due to reduced hydrodynamic drag. Upon striking the seabed protrusion, the tension increase is gradual of T0, governed primarily by geometric re-routing rather than severe dynamic shock.
- High-Speed Regime (V = 3.0 m/s): The steady-state tension T0 is significantly higher. More critically, at the instant of collision (the first inflection point in Figure 29b), the normal fluid flow is abruptly halted, and the enormous kinetic energy of the rapidly advancing cable is instantaneously converted into longitudinal elastic strain energy within a fraction of a second.
5.3. Parametric Effects of Marine Conditions on Touchdown Angle
5.4. Dynamic Responses Under Complex Hydrodynamic Environments
6. Current Constraints and Future Prospects
6.1. Current Limit
6.1.1. Inadequate Modeling of the Dynamic Response of Complex Terrain
6.1.2. Computational Efficiency and Accuracy Tradeoffs
6.1.3. Material Durability and Friction Damage Mechanisms
6.1.4. Impact of Environmental Dynamics
6.1.5. Practical Operational Constraints and Path Planning
6.2. Future Outlook
6.2.1. High-Precision Multi-Scale Modeling Techniques
6.2.2. Smart Materials and Structural Optimization
6.2.3. Real-Time Monitoring and Adaptive Control
6.2.4. Multi-Physical Field Coupling and Ecological Impact Assessment
6.2.5. Robust Design for Extreme Operating Conditions
7. Conclusions
- (1)
- Inclined Seabed: The seabed slope governs the detachment dynamics. A steeper inclination reduces the cable–seabed contact time but exacerbates tension fluctuations at the initial equilibrium stage.
- (2)
- Stepped Seabed: Sudden elevation drops trigger severe “point-to-line” or “line-to-point” transient collisions. These discontinuous contacts induce extreme localized stress concentrations and sudden tension leaps, highlighting the risk of structural fatigue.
- (3)
- 3D Irregular Seabed: Complex 3D terrains induce multi-directional spatial deformations, including serpentine rolling. Collisions with 3D protrusions can initiate a destructive whiplash effect at the trailing end, especially during high-speed tugboat turning maneuvers.
- (4)
- Parametric Influences: Statistical variance analysis demonstrates that higher towing speeds amplify the peak-to-average ratio of tension by over 45% upon touchdown. Furthermore, seabed stiffness and marine environments (waves and currents) critically alter the touchdown angle and dynamic load transfer.
Funding
Data Availability Statement
Conflicts of Interest
References
- Cui, W.; Pan, L.; Li, R. A suggestion of using task efficiency to replace swimming efficiency for both robotic fish and living fish. Ships Offshore Struct. 2024, 19, 2204–2212. [Google Scholar] [CrossRef]
- Madureira, P.; Brekke, H.; Cherkashov, G.; Rovere, M. Exploration of polymetallic nodules in the Area: Reporting practices, data management and transparency. Mar. Policy 2016, 70, 101–107. [Google Scholar] [CrossRef]
- Gollner, S.; Kaiser, S.; Menzel, L.; Jones, D.O.; Brown, A.; Mestre, N.C.; van Oevelen, D.; Menot, L.; Colaço, A.; Canals, M.; et al. Resilience of benthic deep-sea fauna to mining activities. Mar. Environ. Res. 2017, 129, 76–101. [Google Scholar] [CrossRef] [PubMed]
- Gao, S.; Sun, H.; Liu, J.; Liu, W. Comprehensive audit evaluation and driving force analysis of various types of marine resources development. Environ. Dev. Sustain. 2022, 24, 4371–4386. [Google Scholar] [CrossRef]
- Englander, G. Property rights and the protection of global marine resources. Nat. Sustain. 2019, 2, 981–987. [Google Scholar] [CrossRef]
- Guo, L.; Yuan, Y.; Tang, W.; Xue, H. A numerical investigation on quasi-static configuration and nonlinear dynamic response characteristics of marine towing cable. Ocean Eng. 2021, 240, 110007. [Google Scholar] [CrossRef]
- Abadi, S.H.; Tolstoy, M.; Wilcock, W.S.D. Estimating the location of baleen whale calls using dual streamers to support mitigation procedures in seismic reflection surveys. PLoS ONE 2017, 12, e0171115. [Google Scholar] [CrossRef]
- Guo, L.; Yuan, Y.; Tang, W.; Xue, H. Experimental investigation on vortex-induced vibration of marine towing cable with suppression device. Ocean Eng. 2023, 269, 113531. [Google Scholar] [CrossRef]
- Yang, S.; Zhu, X.; Ren, H. Dynamic analysis of a deep-towed seismic system based on a flexible multi-body dynamics frame. Ocean Eng. 2023, 279, 114587. [Google Scholar] [CrossRef]
- Gobat, J.I.; Grosenbaugh, M.A. Time-domain numerical simulation of ocean cable structures. Ocean Eng. 2006, 33, 1373–1400. [Google Scholar] [CrossRef]
- Yuan, F.; White, D.J.; O’Loughlin, C.D. The evolution of seabed stiffness during cyclic movement in a riser touchdown zone on soft clay. Géotechnique 2017, 67, 127–137. [Google Scholar] [CrossRef]
- Wang, X.Z.; Yi, J.T.; Sun, M.J.; Liu, F.; Xu, S.J. Determination of elastic stiffness coefficients for spudcan foundations in a spatially varying clayey seabed. Appl. Ocean Res. 2022, 128, 103336. [Google Scholar] [CrossRef]
- Borland, H.P.; Gilby, B.L.; Henderson, C.J.; Leon, J.X.; Schlacher, T.A.; Connolly, R.M.; Pittman, S.J.; Sheaves, M.; Olds, A.D. The influence of seafloor terrain on fish and fisheries: A global synthesis. Fish Fish. 2021, 22, 707–734. [Google Scholar] [CrossRef]
- Lejzerowicz, F.; Gooday, A.J.; Angeles, I.B.; Cordier, T.; Morard, R.; Apothéloz-Perret-Gentil, L.; Lins, L.; Menot, L.; Brandt, A.; Levin, L.A.; et al. Eukaryotic biodiversity and spatial patterns in the Clarion-Clipperton zone and other abyssal regions: Insights from sediment DNA and RNA metabarcoding. Front. Mar. Sci. 2021, 8, 671033. [Google Scholar] [CrossRef]
- Guo, L.; Yuan, Y.; Duan, Z.; Tang, W.; Xue, H. Experimental investigation on nonlinear dynamic response of towing cable under vessel motion. Ocean Eng. 2022, 266, 113170. [Google Scholar] [CrossRef]
- Wang, Z.; Sun, G. Parameters influence on maneuvered towed cable system dynamics. Appl. Ocean Res. 2015, 49, 27–41. [Google Scholar] [CrossRef]
- Zhang, D.; Zhao, B.; Zhu, K.; Jiang, H. Dynamic analysis of towed cable with variable length during turning maneuvers. Sci. Rep. 2023, 13, 3525. [Google Scholar] [CrossRef]
- Dehadrai, A.R.; Sharma, I.; Gupta, S.S. Transient planar dynamics of cable-payload systems using geometrically exact beam theory. Int. J. Mech. Sci. 2022, 224, 107271. [Google Scholar] [CrossRef]
- Nam, B.W.; Kim, J.S.; Hong, S.Y. Numerical investigation on hopf bifurcation problem for nonlinear dynamics of a towed vessel in calm water and waves. Ocean Eng. 2022, 266, 112661. [Google Scholar] [CrossRef]
- Wu, J.; Yang, X.; Xu, S.; Han, X. Numerical investigation on underwater towed system dynamics using a novel hydrodynamic model. Ocean Eng. 2022, 247, 110632. [Google Scholar] [CrossRef]
- Zhao, Y.; Li, G.; Lian, L. Numerical model of towed cable body system validation from sea trial experimental data. Ocean Eng. 2021, 226, 108859. [Google Scholar] [CrossRef]
- Yuan, Z.; Jin, L.; Chi, W.; Tian, H. Finite difference method for solving the nonlinear dynamic equation of underwater towed system. Int. J. Comput. Methods 2014, 11, 1350060. [Google Scholar] [CrossRef]
- Sun, H.; Chen, G.; Lin, W. A hydrodynamic model of bridle towed system. J. Mar. Sci. Technol. 2019, 24, 200–207. [Google Scholar] [CrossRef]
- Kalliontzis, C. Numerical simulation of submarine pipelines in dynamic contact with a moving seabed. Earthq. Eng. Struct. Dyn. 1998, 27, 465–486. [Google Scholar] [CrossRef]
- Huang, S. Dynamic analysis of three-dimensional marine cables. Ocean Eng. 1994, 21, 587–605. [Google Scholar] [CrossRef]
- Wang, F.; Huang, G.-L.; Deng, D.-H. Dynamic response analysis of towed cable during deployment/retrieval. J. Shanghai Jiaotong Univ. (Sci.) 2008, 13, 245–251. [Google Scholar] [CrossRef]
- Triantafyllou, M.S.; Howell, C.T. Dynamic response of cables under negative tension: An ill-posed problem. J. Sound Vib. 1994, 173, 433–447. [Google Scholar] [CrossRef]
- Randolph, M.; Quiggin, P. Non-linear hysteretic seabed model for catenary pipeline contact. In Proceedings of the International Conference on Offshore Mechanics and Arctic Engineering, Honolulu, HI, USA, 21–26 June 2009; Volume 43437. [Google Scholar]
- Lehtinen, N.G.; Marskar, R. What determines the parameters of a propagating streamer: A comparison of outputs of the streamer parameter model and of hydrodynamic simulations. Atmosphere 2021, 12, 1664. [Google Scholar] [CrossRef]
- Zhang, D.; Zhao, B.; Zhu, K. Hydrodynamic response of ocean-towed cable-array system under different munk moment coefficients. Sustainability 2022, 14, 1932. [Google Scholar] [CrossRef]
- Choc, Y.-I.; Casarell, M.J. Hydrodynamic resistance of towed cables. J. Hydronautics 1971, 5, 126–131. [Google Scholar] [CrossRef]
- Ablow, C.M.; Schechter, S. Numerical simulation of undersea cable dynamics. Ocean Eng. 1983, 10, 443–457. [Google Scholar] [CrossRef]
- Zhang, D.; Luo, Y.; Zhang, Y.; Ma, Y.; Zhu, K.; Zeng, S. A comprehensive review of an underwater towing cable array: A discussion on the dynamic characteristics of the towing cable array during the outspread process. J. Mar. Sci. Eng. 2024, 12, 1880. [Google Scholar] [CrossRef]
- Maali Amiri, M.; Shadman, M.; Estefen, S.F. A review of numerical and physical methods for analyzing the coupled hydro–aero–structural dynamics of floating wind turbine systems. J. Mar. Sci. Eng. 2024, 12, 392. [Google Scholar] [CrossRef]
- Yang, X.; Wu, J.; Xu, S. Dynamic analysis of underwater towed system under undulating motion mode of towed vehicle. Appl. Ocean Res. 2022, 121, 103083. [Google Scholar] [CrossRef]
- Chen, M. Numerical Studies on Fluid-Structure Interaction and Applications. Bachelor’s Thesis, Oregon State University, Corvallis, OR, USA, 2021. [Google Scholar]
- Lee, C.-H.; Hong, S.; Kim, H.-W.; Kim, S.-S. A comparative study on effective dynamic modeling methods for flexible pipe. J. Mech. Sci. Technol. 2015, 29, 2721–2727. [Google Scholar] [CrossRef]
- Karniadakis, G.; Sherwin, S. Spectral/hp Element Methods for Computational Fluid Dynamics; American Chemical Society: Washington, DC, USA, 2013. [Google Scholar]
- Bai, Y.; Bai, Q. (Eds.) Subsea Pipelines and Risers; Elsevier: Amsterdam, The Netherlands, 2005. [Google Scholar]
- Patel, M.H.; Sarohia, S.; Ng, K.F. Finite-element analysis of the marine riser. Eng. Struct. 1984, 6, 175–184. [Google Scholar] [CrossRef]
- Ménard, F.; Cartraud, P. A computationally efficient finite element model for the analysis of the non-linear bending behaviour of a dynamic submarine power cable. Mar. Struct. 2023, 91, 103465. [Google Scholar] [CrossRef]
- Zhang, Y.; Chen, D.; Qian, H.; Chen, Z.; Fan, F.; Khoo, B.C. An efficient partitioned framework to couple Arbitrary Lagrangian-Eulerian and meshless vector form intrinsic finite element methods for fluid-structure interaction problems with deformable structures. Appl. Math. Model. 2024, 130, 536–560. [Google Scholar] [CrossRef]
- Dutta, S.; Hawlader, B.; Phillips, R. Finite element modeling of partially embedded pipelines in clay seabed using Coupled Eulerian–Lagrangian method. Can. Geotech. J. 2015, 52, 58–72. [Google Scholar] [CrossRef]
- Nayfeh, A.H.; Mook, D.T. Nonlinear Oscillations; John Wiley & Sons: Hoboken, NJ, USA, 2024. [Google Scholar]
- Vásquez, J.A.M.; Avila, J.P.J. Three-dimensional dynamic behaviour of flexible catenary risers with an internal slug flow. J. Fluids Struct. 2021, 107, 103409. [Google Scholar] [CrossRef]
- Spanos, P.D.; Tein, W.Y.; Ghanem, R. Frequency domain analysis of marine risers with time dependent tension. Appl. Ocean Res. 1990, 12, 200–210. [Google Scholar] [CrossRef]
- Zhang, H.; Yang, Z.; Li, J.; Yuan, C.; Xie, M.; Yang, H.; Yin, H. A global review for the hydrodynamic response investigation method of submerged floating tunnels. Ocean Eng. 2021, 225, 108825. [Google Scholar] [CrossRef]
- Gao, Y.; Jiang, Z.; Ma, L.; Fu, S.; He, G.; Shi, C. Numerical study of vortex-induced vibrations of a circular cylinder at different incidence angles. Ocean Eng. 2022, 259, 111858. [Google Scholar] [CrossRef]
- Hover, F.S.; Miller, S.N.; Triantafyllou, M.S. Vortex-induced vibration of marine cables: Experiments using force feedback. J. Fluids Struct. 1997, 11, 307–326. [Google Scholar] [CrossRef]
- Facchinetti, M.L.; De Langre, E.; Biolley, F. Coupling of structure and wake oscillators in vortex-induced vibrations. J. Fluids Struct. 2004, 19, 123–140. [Google Scholar] [CrossRef]
- Guan, G.; Zhang, X.; Wang, Y.; Yang, Q. Analytical and numerical study on underwater towing cable dynamics under different flow velocities based on experimental corrections. Appl. Ocean Res. 2021, 114, 102768. [Google Scholar] [CrossRef]
- Fang, P. Development of an Effective Modelling Method for the Local Mechanical Analysis of Submarine Power Cables. Ph.D. Thesis, Delft University of Technology, Delft, The Netherlands, 2024. [Google Scholar]
- Pevrot, A.H.; Goulois, A.M. Analysis of cable structures. Comput. Struct. 1979, 10, 805–813. [Google Scholar] [CrossRef]
- Paidoussis, M.P. Fluid-Structure Interactions, Volume 2: Slender Structures and Axial Flow; Elsevier: Amsterdam, The Netherlands, 2003; Volume 2. [Google Scholar]
- Hover, F.S.; Grosenbaugh, M.A.; Triantafyllou, M.S. Calculation of dynamic motions and tensions in towed underwater cables. IEEE J. Ocean. Eng. 2002, 19, 449–457. [Google Scholar] [CrossRef]
- Buckham, B.; Nahon, M.; Seto, M.; Zhao, X.; Lambert, C. Dynamics and control of a towed underwater vehicle system, part I: Model development. Ocean Eng. 2003, 30, 453–470. [Google Scholar] [CrossRef]
- Such, M.; Jimenez-Octavio, J.R.; Carnicero, A.; Lopez-Garcia, O. An approach based on the catenary equation to deal with static analysis of three dimensional cable structures. Eng. Struct. 2009, 31, 2162–2170. [Google Scholar] [CrossRef]
- Chatjigeorgiou, I.; Mavrakos, S.A. Assessment of bottom-cable interaction effects on mooring line dynamics. In Proceedings of the 17th International Conference on Offshore Mechanics and Arctic Engineering, Lisbon, Portugal, 1–5 June 1998. [Google Scholar]
- Pesce, C.P.; Aranha, J.A.P.; Martins, C.D.A.; Ricardo, O.G.D.S.; Silva, S. Dynamic curvature in catenary risers at the touch down point: An experimental study and the analytical boundary-layer solution. In Proceedings of the ISOPE International Ocean and Polar Engineering Conference, Honolulu, HI, USA, 25 May–1 June 1997. [Google Scholar]
- Ghadimi, R. A simple and efficient algorithm for the static and dynamic analysis of flexible marine risers. Comput. Struct. 1988, 29, 541–555. [Google Scholar] [CrossRef]
- Sparks, C.P. The influence of tension, pressure and weight on pipe and riser deformations and stresses. J. Energy Resour. Technol. 1984, 106, 46–54. [Google Scholar] [CrossRef]
- Cheeseman, I.C. Fluid-Dynamic Drag: Practical Information on Aerodynamic Drag and Hydrodynamic Resistance. SF Hoerner. Hoerner Fluid Dynamics, Brick Town, New Jersey. 1965. 455 pp. Illustrated. $24.20. Aeronaut. J. 1976, 80, 371. [Google Scholar] [CrossRef]
- Sanders, J.V. A three-dimensional dynamic analysis of a towed system. Ocean Eng. 1982, 9, 483–499. [Google Scholar] [CrossRef]
- Breslin, J.P. Dynamic forces exerted by oscillating cables. J. Hydronautics 1974, 8, 19–31. [Google Scholar] [CrossRef]
- Howell, C.T. Numerical analysis of 2-D nonlinear cable equations with applications to low-tension problems. In Proceedings of the ISOPE International Ocean and Polar Engineering Conference, Edinburgh, UK, 23–28 June 1991. [Google Scholar]
- Niedzwecki, J.M.; Thampi, S.K. Snap loading of marine cable systems. Appl. Ocean Res. 1991, 13, 2–11. [Google Scholar] [CrossRef]
- Brown, D.T.; Lyons, G.J.; Ln, H.M. Advances in mooring line damping. Underw. Technol. 1995, 21, 5–11. [Google Scholar] [CrossRef]
- Kamman, J.W.; Huston, R.L. Modelling of submerged cable dynamics. Comput. Struct. 1985, 20, 623–629. [Google Scholar] [CrossRef]
- Choo, Y.-I.; Casarella, M.J. A Survey of Analytical Methods for Dynamic Simulation of Cable-Body Systems. J. Hydronautics 1973, 7, 137–144. [Google Scholar] [CrossRef]
- Xu, P.; Du, Z.; Zhang, T.; Chen, B. Vector form intrinsic finite element analysis of deepwater J-laying pipelines on sloping seabed. Ocean Eng. 2022, 247, 110709. [Google Scholar] [CrossRef]
- Komperød, M.; Juvik, J.I.; Evenset, G.; Slora, R.; Jordal, L. Large-scale tests for identifying the nonlinear, temperature-sensitive, and frequency-sensitive bending stiffness of the NordLink cable. In Proceedings of the International Conference on Offshore Mechanics and Arctic Engineering, Trondheim, Norway, 20–25 June 2017; Volume 57694. [Google Scholar]
- Tang, C.; Zhao, Q.; Wang, L.; Chen, Z.; Fang, Q. Numerical Investigation of Wave Force on Coastal Bridge Decks Close to a Sloping Seabed. J. Mar. Sci. Eng. 2024, 12, 984. [Google Scholar] [CrossRef]
- Seyfipour, I.; Mirghaderi, R.; Bahaari, M.R. Buckling and stability of subsea HP/HT pipelines on laterally sloping seabeds. J. Ocean Eng. Mar. Energy 2023, 9, 1–23. [Google Scholar] [CrossRef]
- Li, H.; Zhuang, R.; Yang, C. Simulation analysis and actual verification of stable direct route motion of an underwater vehicle streamer system. J. Phys. Conf. Ser. 2021, 1802, 042002. [Google Scholar] [CrossRef]
- Zhang, D.; Zhao, B.; Zhu, K.; Jiang, H. Dynamic response of deep-Sea trawl system during towing process. J. Mar. Sci. Eng. 2023, 11, 145. [Google Scholar] [CrossRef]
- Yang, C.; Liu, Y.; Du, J.; Cheng, Z.; Wang, H. Nonlinear dynamic optimization of marine riser system anti-recoil under a flexible multibody framework. Ocean Eng. 2023, 281, 114666. [Google Scholar] [CrossRef]
- Zhang, L.; Xing, L.; Dong, M.; Chen, W. Resistance Tests of an Articulated Pusher Barge System in Deep and Shallow Water. In International Conference on Offshore Mechanics and Arctic Engineering; American Society of Mechanical Engineers: New York, NY, USA, 2021; Volume 85161. [Google Scholar]
- Chave, A.; Mattsson, J.; Everett, M. On the Physics of Towed Streamer Controlled Source Electromagnetics in Shallow Water in the Presence of Transverse Anisotropy. In Proceedings of the SEG International Exposition and Annual Meeting, Houston, TX, USA, 24–29 September 2017. [Google Scholar]
- Dalon, M.; Muñoz, R.; Gaffney, D.; Fiske, J. Efficacy of Stone Filled Marine Mattresses for Cable Protection in a Nearshore Mixed Sediment Environment. In Coastal Engineering Practice; American Society of Civil Engineers: Reston, VA, USA, 2011; pp. 732–741. [Google Scholar]
- Xu, Q. OBC shallow water de-multiple based on the principle of Fresnel diffraction. J. Geophys. Eng. 2024, 21, 717–724. [Google Scholar] [CrossRef]
- Patrick, B.; Julien, B. Floating wind power cable installation with lazy wave configuration both ends set up. In Proceedings of the Offshore Technology Conference, Houston, TX, USA, 2–5 May 2022. [Google Scholar]
- Migliaccio, G.; Des Roches, R.; Royer-Carfagni, G. Theoretical mechanical properties of strands and cables made of wound carbon nanotube fibers. Int. J. Mech. Sci. 2022, 236, 107706. [Google Scholar] [CrossRef]
- Xu, S.; Hou, J.; Dong, Z.; Wang, C. Theoretical analysis of steel catenary riser laid on the sloped seabed. J. Phys. Conf. Ser. 2025, 2964, 012036. [Google Scholar] [CrossRef]
- Jia, J.; Gu, J.; Huang, J.; Gao, L.; Chen, L.; Wang, S. Numerical simulation of loop formation in catenary risers on nonlinear uneven seabed. Ocean Eng. 2023, 269, 113480. [Google Scholar] [CrossRef]
- Ogbeifun, A.M.; Oterkus, S.; Race, J.; Naik, H.; Moorthy, D.; Bhowmik, S.; Ingram, J. Impact of seabed slope on steel catenary riser touchdown zone response. IOP Conf. Ser. Mater. Sci. Eng. 2021, 1052, 012018. [Google Scholar] [CrossRef]
- Shi, Y.-M.; Wang, N.; Gao, F.-P.; Qi, W.-G.; Wang, J.-Q. Physical modeling of the axial pipe-soil interaction for pipeline walking on a sloping sandy seabed. Ocean Eng. 2019, 178, 20–30. [Google Scholar] [CrossRef]
- Yang, H.; Wang, L.; Lei, Z.; Rui, S.; Liu, Z.; Guo, Z. Numerical study of lateral soil resistance to pipe movement in sandy slopes. Appl. Ocean Res. 2025, 155, 104419. [Google Scholar] [CrossRef]
- Xu, P.; Zheng, J.; Lai, X.; Du, Z. Pipe-soil interaction behaviors of deepwater J-lay pipeline on sloping seabed. Appl. Ocean Res. 2023, 141, 103806. [Google Scholar] [CrossRef]
- Shoghi, R.; Shiri, H.; Pesce, C.P. Dynamic curvature of a steel catenary riser on elastic seabed considering trench shoulder efects: An analytical model. J. Braz. Soc. Mech. Sci. Eng. 2024, 46, 36. [Google Scholar] [CrossRef]
- Das, S.; Pethiyagoda, R.; Meylan, M.H. Compressible ocean waves generated by sudden seabed rise near a step-type topography. Phys. Fluids 2024, 36, 106619. [Google Scholar] [CrossRef]
- Antonio, L.M.; Pavanello, R.; de Almeida Barros, P.L. Marine pipeline–seabed interaction modeling based on Kerr-type foundation. Appl. Ocean Res. 2018, 80, 228–239. [Google Scholar] [CrossRef]
- Randolph, M.; Gourvenec, S. Offshore Geotechnical Engineering; CRC Press: Boca Raton, FL, USA, 2017. [Google Scholar]
- White, D.J.; Randolph, M.F. Seabed characterisation and models for pipeline-soil interaction. Int. J. Offshore Polar Eng. 2007, 17. Available online: https://onepetro.org/IJOPE/article-abstract/29241/Seabed-Characterisation-And-Models-For-Pipeline (accessed on 4 April 2026).
- Bruton, D.; White, D.; Cheuk, C.; Bolton, M.; Carr, M. Pipe/soil interaction behavior during lateral buckling, including large-amplitude cyclic displacement tests by the safebuck JIP. In Proceedings of the Offshore Technology Conference, Houston, TX, USA, 1–4 May 2006. [Google Scholar]
- Fredsøe, J. Pipeline–seabed interaction. J. Waterw. Port Coast. Ocean Eng. 2016, 142, 03116002. [Google Scholar] [CrossRef]
- Dong, X.; Shiri, H. Performance of non-linear seabed interaction models for steel catenary risers, part II: Global response. Appl. Ocean Res. 2019, 82, 158–174. [Google Scholar] [CrossRef]
- Aubeny, C.P.; Biscontin, G. Seafloor-riser interaction model. Int. J. Geomech. 2009, 9, 133–141. [Google Scholar] [CrossRef]
- Shiri, H. Influence of seabed trench formation on fatigue performance of steel catenary risers in touchdown zone. Mar. Struct. 2014, 36, 1–20. [Google Scholar] [CrossRef]
- Xu, X.; Xu, G.; Yang, J.; Xu, Z.; Ren, Y. Field observation of the wave-induced pore pressure response in a silty soil seabed. Geo-Mar. Lett. 2021, 41, 13. [Google Scholar] [CrossRef]
- Liu, Z.; Zhang, Y. Effect of drainage conditions on monopile soil-pile interaction in sandy seabed. Ocean Eng. 2025, 315, 119826. [Google Scholar] [CrossRef]
- Nowruzi, H.; Ghassemi, H.; Ghiasi, M. Performance predicting of 2D and 3D submerged hydrofoils using CFD and ANNs. J. Mar. Sci. Technol. 2017, 22, 710–733. [Google Scholar] [CrossRef]
- Calabrese, M.; Vicinanza, D.; Buccino, M. 2D Wave setup behind submerged breakwaters. Ocean Eng. 2008, 35, 1015–1028. [Google Scholar] [CrossRef]
- Jasman, N.A.; Normisyidi, N.A.L.; Hoe, Y.S.; Abidin, A.R.Z.; Haniffah, M.R.M. Numerical calculation of two-dimensional subsea cable tension problem using minimization approach. Matematika 2019, 35, 15–32. [Google Scholar] [CrossRef]
- Cao, L.; Dai, M.; Zhou, X.; Huang, G.; Chen, Y.F.; Zhu, R. Efficient response analysis of the cable of offshore wind turbine at static state: Hybrid of perturbation method and grey wolf optimization. Ocean Eng. 2023, 269, 113487. [Google Scholar] [CrossRef]
- Mamatsopoulos, V.A.; Michailides, C.; Theotokoglou, E.E.; Onoufriou, T. Critical water depth and installation curves for submarine cable deployment process. J. Mar. Sci. Eng. 2020, 8, 838. [Google Scholar] [CrossRef]
- Abidin, A.R.Z.; Mustafa, S.; Aziz, Z.A.; Ismail, K. Subsea cable laying problem. Matematika 2018, 34, 173–186. [Google Scholar] [CrossRef]
- Mamatsopoulos, V.A.; Michailides, C.; Theotokoglou, E.E. An analysis tool for the installation of submarine cables in an s-lay configuration including “in and out of water” cable segments. J. Mar. Sci. Eng. 2020, 8, 48. [Google Scholar] [CrossRef]
- Du, X.; Zhang, X. Influence of towed cable on maneuverability of underwater vehicle. Acta Armamentarii 2019, 40, 1476. [Google Scholar]
- Xu, X.-S.; Wang, S.-W.; Lian, L. Dynamic motion and tension of marine cables being laid during velocity change of mother vessels. China Ocean Eng. 2013, 27, 629–644. [Google Scholar] [CrossRef]
- Nielsen, F.G.; Bindingbø, A.U. Extreme loads in taut mooring lines and mooring line induced damping: An asymptotic approach. Appl. Ocean Res. 2000, 22, 103–118. [Google Scholar] [CrossRef]
- Rodríguez Luis, Á.; Armesto, J.A.; Guanche, R.; Barrera, C.; Vidal, C. Simulation of marine towing cable dynamics using a finite elements method. J. Mar. Sci. Eng. 2020, 8, 140. [Google Scholar] [CrossRef]
- Feng, A.; Kang, H.S.; Zhao, B.; Jiang, Z. Two-dimensional numerical modelling of a moored floating body under sloping seabed conditions. J. Mar. Sci. Eng. 2020, 8, 389. [Google Scholar] [CrossRef]
- Feng, A.; Magee, A.R.; Price, W.G. Two dimensional wave-current-structure interaction with flat or sloping seabed environment in a linearized framework. Ocean Eng. 2019, 173, 732–747. [Google Scholar] [CrossRef]
- Yang, Y.; Gao, B.; Zhou, Z.; Liu, P. Seismic analysis of seabeds with irregular terrain under 2D oblique incident waves by finite/infinite element method. Ocean Eng. 2025, 316, 119769. [Google Scholar] [CrossRef]
- Sui, T.; Jin, Y.; Wang, Z.; Zhang, C.; Shi, J. Effects of the soil property distribution gradient on the wave-induced response of a non-homogeneous seabed. J. Mar. Sci. Eng. 2019, 7, 281. [Google Scholar] [CrossRef]
- Hascoët, R.; Jacques, N.; Scolan, Y.-M.; Tassin, A. A two-dimensional analytical model of vertical water entry for asymmetric bodies with flow separation. Appl. Ocean Res. 2019, 92, 101878. [Google Scholar] [CrossRef]
- Yan, J.; Wang, K.; Gao, Y. Numerical analysis of the mechanical and electrical properties of CORC cables under torsional loading. Cryogenics 2023, 129, 103624. [Google Scholar] [CrossRef]
- Gomes, S.C.; Oliveira, V.S.; Menezes, G.M. Dynamic modeling of cables with external forces applied to the terminal load. J. Braz. Soc. Mech. Sci. Eng. 2020, 42, 472. [Google Scholar] [CrossRef]
- Xu, W.; Song, Z.; Liu, G.; Sun, Y. Numerical analysis of the impact parameters on the dynamic response of a submerged floating tunnel under coupling waves and flows. Sustainability 2023, 15, 15241. [Google Scholar] [CrossRef]
- Vetyukov, Y.; Schmidrathner, C. A rod model for large bending and torsion of an elastic strip with a geometrical imperfection. Acta Mech. 2019, 230, 4061–4075. [Google Scholar] [CrossRef]
- Ding, H.; Zhu, Z.H.; Yin, X.; Zhang, L.; Li, G.; Hu, W. Hamiltonian nodal position finite element method for cable dynamics. Int. J. Appl. Mech. 2017, 9, 1750109. [Google Scholar] [CrossRef]
- Lee, E.; Go, G.; Ahn, H.T.; Kim, S.; Chun, S.Y.; Kim, J.S.; Lee, B.H. Nonlinear Analysis of Underwater Towed Cable Using Robust Nodal Position Finite Element Method. J. Soc. Nav. Archit. Korea 2016, 53, 388–399. [Google Scholar] [CrossRef][Green Version]
- Takekawa, J.; Mikada, H.; Goto, T.; Asakawa, E.; Shimura, T. Numerical simulation of deep-towed streamer cable in ocean current by ALE finite element method. In Proceedings of the OCEANS’10 IEEE SYDNEY, Sydney, Australia, 24–27 May 2010. [Google Scholar]
- Chang, H.-C.; Chen, B.-F. Mechanical behavior of submarine cable under coupled tension, torsion and compressive loads. Ocean Eng. 2019, 189, 106272. [Google Scholar] [CrossRef]
- Gong, L.; Wang, L.; Yan, Z.; Yang, X.; Zeng, Y.; Aslam, R. A new approach to the calculation of variable tangent bending stiffness for helical strands. Ocean Eng. 2024, 311, 118991. [Google Scholar] [CrossRef]
- Fang, P.; Li, X.; Jiang, X.; Hopman, H.; Bai, Y. Bending study of submarine power cables based on a repeated unit cell model. Eng. Struct. 2023, 293, 116606. [Google Scholar] [CrossRef]
- Ringsberg, J.W.; Dieng, L.; Li, Z.; Hagman, I. Characterization of the mechanical properties of low stiffness marine power cables through tension, bending, torsion, and fatigue testing. J. Mar. Sci. Eng. 2023, 11, 1791. [Google Scholar] [CrossRef]
- Li, G.; Janocha, M.J.; Yin, G.; Ong, M.C.; Li, W. On the importance of angle-dependent hydrodynamic coefficients in the equilibrium configuration analysis of synthetic fiber towing ropes. Ocean Eng. 2024, 300, 117509. [Google Scholar] [CrossRef]
- Tan, K.; Shi, H.; Mei, X.; Geng, T.; Yang, J. Control of force transmission for cable-driven actuation system based on modified friction model with compensation parameters. Control. Eng. Pract. 2024, 151, 106035. [Google Scholar] [CrossRef]
- Dou, Y.; Yu, L. Numerical investigations of the effects of different design angles on the motion behaviour of drag anchors. Appl. Ocean Res. 2018, 76, 199–210. [Google Scholar] [CrossRef]
- Jia, L.; Sang, S.; Shi, X.; Shen, F. Investigation on numerical simulation of VIV of deep-sea flexible risers. Appl. Sci. 2023, 13, 8096. [Google Scholar] [CrossRef]
- Chen, W.-L.; Zhang, Q.-Q.; Li, H.; Hu, H. An experimental investigation on vortex induced vibration of a flexible inclined cable under a shear flow. J. Fluids Struct. 2015, 54, 297–311. [Google Scholar] [CrossRef]
- Zhu, J.; Ren, B.; Dong, P.; Chen, W. Vortex-induced vibrations of a free spanning submarine power cable. Ocean Eng. 2023, 272, 113792. [Google Scholar] [CrossRef]
- Matulea, I.C.; Năstase, A.; Tălmaciu, N.; Slămnoiu, G.; Gonçalves-Coelho, A. On the equilibrium configuration of mooring and towing cables. Appl. Ocean Res. 2008, 30, 81–91. [Google Scholar] [CrossRef]
- Zhang, Y.; Zhang, D.; Xie, Y.; Zhang, Y.; Liang, Z.; Zhu, K.; Zhang, S. Dynamic configuration simulation of multi-branches towed array system. Mar. Struct. 2025, 103, 103819. [Google Scholar] [CrossRef]
- Guo, L.; Yuan, Y.; Tang, W.; Xue, H. Numerical investigation and arrangement optimization on VIV response of marine towing cable with suppression device. Mar. Struct. 2024, 95, 103598. [Google Scholar] [CrossRef]
- Zhou, P.; Zhang, C.; Ai, J.; Ge, Y.; Peng, X.; Gao, Q.; Wang, W.; Zhou, Z.; Chen, J. The numerical simulation and experimental study of heat flow in seabed sediments based on COMSOL. J. Mar. Sci. Eng. 2022, 10, 1356. [Google Scholar] [CrossRef]
- Zhou, Z.; O’Loughlin, C.D.; White, D.J. An effective stress analysis for predicting the evolution of SCR–seabed stiffness accounting for consolidation. Géotechnique 2020, 70, 448–467. [Google Scholar] [CrossRef]
- Kimiaei, M.; Randolph, M.; Ting, I. A parametric study on effects of environmental loadings on fatigue life of steel catenary risers (using a nonlinear cyclic riser-soil interaction model). In Proceedings of the International Conference on Offshore Mechanics and Arctic Engineering, Shanghai, China, 6–11 June 2010; Volume 49132. [Google Scholar]
- Ghorbanzadeh, A.; Shiri, H.; Dong, X. Effect of backfilling stiffness and configuration on seabed failure mechanisms and pipeline response to ice gouging. Appl. Ocean Res. 2025, 154, 104413. [Google Scholar] [CrossRef]
- Li, C.-F.; Gao, F.-P. Characterization of spatio-temporal distributions of wave-induced pore pressure in a non-cohesive seabed: Amplitude-attenuation and phase-lag. Ocean Eng. 2022, 253, 111315. [Google Scholar] [CrossRef]
- Wang, L.-Z.; Li, K.; Yuan, F. Lateral cyclic interaction between catenary riser and soft seabed. Appl. Ocean Res. 2017, 63, 11–23. [Google Scholar] [CrossRef]
- Rui, S.; Guo, Z.; Wang, L.; Liu, H.; Zhou, W. Numerical investigations on load transfer of mooring line considering chain–seabed dynamic interaction. Mar. Georesources Geotechnol. 2021, 39, 1433–1448. [Google Scholar] [CrossRef]
- Aluwihare, S.M.; Ivanović, A.; O’NEill, F.G. Influence of strain-rate on the interaction between towed fishing gears and the seabed. Ocean Eng. 2023, 274, 114001. [Google Scholar] [CrossRef]
- Haghparast, M.; Shahir, H.; Ghalandarzadeh, A. Centrifuge study of the mechanisms of rubble mounds sinking into soft clay seabeds in the construction stage. Ocean Eng. 2020, 214, 107622. [Google Scholar] [CrossRef]
- Cheng, J.; Li, J.; Gao, F.-P.; Yin, Z.-Y. Long-term settlement of deepsea pipelines on a soft clayey seabed: Poro-elasto-viscoplastic modeling. Ocean Eng. 2025, 332, 121414. [Google Scholar] [CrossRef]
- Ülker, M.B.C. A combined theoretical and numerical modeling study of cyclic nonlinear response of sandy seabed. Ocean Eng. 2021, 219, 108348. [Google Scholar] [CrossRef]
- Tong, D.; Liao, C.; Chen, J. Hydro-mechanical modelling of interaction between monopiles and cross-anisotropic sandy seabed subjected to wave loadings. Geomech. Geoengin. 2024, 19, 123–138. [Google Scholar] [CrossRef]
- Ostrowski, R.; Stella, M. Potential dynamics of non-tidal sea bed in remote foreshore under waves and currents. Ocean Eng. 2020, 207, 107398. [Google Scholar] [CrossRef]
- Zhu, J.F.; Zhao, H.Y.; Jeng, D.-S. Dynamic characteristics of a sandy seabed under storm wave loading considering the effect of principal stress rotation. Eng. Geol. 2019, 259, 105132. [Google Scholar] [CrossRef]
- Zhu, J.F.; Zhao, H.Y.; Jeng, D.-S. Effect of principal stress rotation on dynamic characteristics of a sandy seabed under a partially reflected standing wave. Ocean Eng. 2020, 196, 106667. [Google Scholar] [CrossRef]
- Shin, M.-B.; Park, D.-S.; Seo, Y.-K. Response of subsea pipelines to anchor impacts considering pipe–soil–rock interactions. Int. J. Impact Eng. 2020, 143, 103590. [Google Scholar] [CrossRef]
- Lai, Z.; Chen, Q.; Huang, L. Evaluating the hydromechanical responses of seabed–pipelines with rotated anisotropic heterogeneous seabed properties. Ocean Eng. 2021, 234, 109226. [Google Scholar] [CrossRef]
- Breault, R.W.; Monazam, E.R.; Shadle, L.J.; Rowan, S.; Macfarlan, L.H. The effect of riser end geometry on gas-solid hydrodynamics in a CFB riser operating in the core annular and dilute homogeneous flow regimes. Powder Technol. 2017, 316, 181–189. [Google Scholar] [CrossRef]
- Olunloyo, V.O.; Oyediran, A.A.; Osheku, C.A. Dynamic response interaction of vibrating offshore pipeline and moving seabed with varying geological and geo-mechanical properties. In Proceedings of the International Conference on Offshore Mechanics and Arctic Engineering, Vancouver, BC, Canada, 20–25 June 2004; Volume 37459. [Google Scholar]
- Low, C.M.; Ng, E.Y.K.; Narasimalu, S.; Lin, F.; Kim, Y. Numerical modelling of seabed impact effects on chain and small diameter mooring cables. Appl. Ocean Res. 2018, 80, 248–277. [Google Scholar] [CrossRef]
- Hong, S.M.; Ha, K.N.; Kim, J.-Y. Dynamics modeling and motion simulation of usv/uuv with linked underwater cable. J. Mar. Sci. Eng. 2020, 8, 318. [Google Scholar] [CrossRef]
- Wang, F.; Huang, G.-L.; Deng, D.-H.; Tu, X.-H. A study on dynamic response of cable-seabed interaction. J. Shanghai Jiaotong Univ. (Sci.) 2009, 14, 443–449. [Google Scholar] [CrossRef]
- Li, X.D.; Liu, Y.; Zhou, G.Y.; Liu, S.W.; Li, Z.Y.; Lin, F.C. Subsonic streamers in water: Initiation, propagation and morphology. J. Phys. D Appl. Phys. 2017, 50, 255301. [Google Scholar] [CrossRef]
- Gu, J.; Wang, Z. Influence of Vehicle Wake on the Control of Towed Systems. Appl. Sci. 2024, 14, 4944. [Google Scholar] [CrossRef]
- Bhattacharyya, S.K.; Vendhan, C.P.; Sudarsan, K. The finite element method for hydroelastic instability of underwater towed cylindrical structures. J. Sound Vib. 2000, 237, 119–143. [Google Scholar] [CrossRef]
- Xu, H.; Wang, J.; Ling-Ke, R.; Wang, J.; Cheng, S.; Liang, X. Cable length prediction for towing models of reverse towing systems based on the cable deployment process. Ocean Eng. 2024, 313, 119331. [Google Scholar] [CrossRef]
- Cheng, S.; Wang, J.; Wang, J.; Liang, X.; Yi, H. Application of polynomial chaos expansion in sensitivity analysis of towed cable parameters of the underwater towing system. J. Ocean Eng. Sci. 2023, 10, 367–385. [Google Scholar] [CrossRef]
- Lai, Y.; Huang, Y.-H.; Chen, C.; Zhu, B. Free-fall penetration behaviors of a new dynamically installed plate anchor in marine clay. China Ocean Eng. 2020, 34, 795–805. [Google Scholar] [CrossRef]
- Yoon, H.-S.; Na, W.-B. Anchor drop tests for a submarine power-cable protector. Mar. Technol. Soc. J. 2013, 47, 72–80. [Google Scholar] [CrossRef]
- Park, W.H.; Kang, S.H.; Kim, C.S. A Study on the Control of an Anchor Auto Drop System for Ship Windlass. Adv. Mater. Res. 2013, 655, 1337–1341. [Google Scholar] [CrossRef]
- Xing, G.; Zhang, L.; Xuan, W.; Ma, J.; Ye, X.; Guo, S.; Liu, Y. Capacity of double-plate vertically loaded anchor in saturated marine fine sand. Mar. Georesources Geotechnol. 2022, 40, 1302–1315. [Google Scholar] [CrossRef]
- Wang, W.; Wang, X.; Yu, G. Penetration depth of torpedo anchor in cohesive soil by free fall. Ocean Eng. 2016, 116, 286–294. [Google Scholar] [CrossRef]





























Disclaimer/Publisher’s Note: The statements, opinions and data contained in all publications are solely those of the individual author(s) and contributor(s) and not of MDPI and/or the editor(s). MDPI and/or the editor(s) disclaim responsibility for any injury to people or property resulting from any ideas, methods, instructions or products referred to in the content. |
© 2026 by the authors. Licensee MDPI, Basel, Switzerland. This article is an open access article distributed under the terms and conditions of the Creative Commons Attribution (CC BY) license.
Share and Cite
Zhang, D.; Zeng, S.; Yang, K.; Yang, K.; Shi, J.; Guo, S.; Zeng, Y.; Zhu, K. Dynamic Response of the Towing System for Different Seabed Topography Conditions. J. Mar. Sci. Eng. 2026, 14, 696. https://doi.org/10.3390/jmse14080696
Zhang D, Zeng S, Yang K, Yang K, Shi J, Guo S, Zeng Y, Zhu K. Dynamic Response of the Towing System for Different Seabed Topography Conditions. Journal of Marine Science and Engineering. 2026; 14(8):696. https://doi.org/10.3390/jmse14080696
Chicago/Turabian StyleZhang, Dapeng, Shengqing Zeng, Kefan Yang, Keqi Yang, Jingdong Shi, Sixing Guo, Yixuan Zeng, and Keqiang Zhu. 2026. "Dynamic Response of the Towing System for Different Seabed Topography Conditions" Journal of Marine Science and Engineering 14, no. 8: 696. https://doi.org/10.3390/jmse14080696
APA StyleZhang, D., Zeng, S., Yang, K., Yang, K., Shi, J., Guo, S., Zeng, Y., & Zhu, K. (2026). Dynamic Response of the Towing System for Different Seabed Topography Conditions. Journal of Marine Science and Engineering, 14(8), 696. https://doi.org/10.3390/jmse14080696

