Design of a Sensor–Actuator Integrated Flexible Pectoral Fin for Bioinspired Manta Robots
Abstract
1. Introduction
2. Materials and Methods
2.1. Flexible Sensor Film
2.2. Manta Robot Model
2.3. Fabrication Process of Sensor–Actuator Integrated Pectoral Fin
2.4. Perception-Feedback Control Architecture
- Fuzzification: The incoming sensing signals (e.g., resistance change rates) are normalized and mapped to linguistic variables using membership functions that characterize the deviation level from normal flapping patterns.
- Fuzzy Inference: A predefined rule base—derived from heuristic obstacle avoidance logic—determines the necessary adjustments to the CPG parameters based on the current deviation level and its rate of change. For example: IF e is High AND Δe is Positive, THEN adjust CPG parameters; IF e is Medium AND Δe is Zero, THEN maintain CPG parameters.
- Defuzzification: The fuzzy inference results are converted into crisp adjustment values for the CPG parameters.
2.5. Measurement and Experimental Procedures
2.5.1. Tensile Testing of Materials
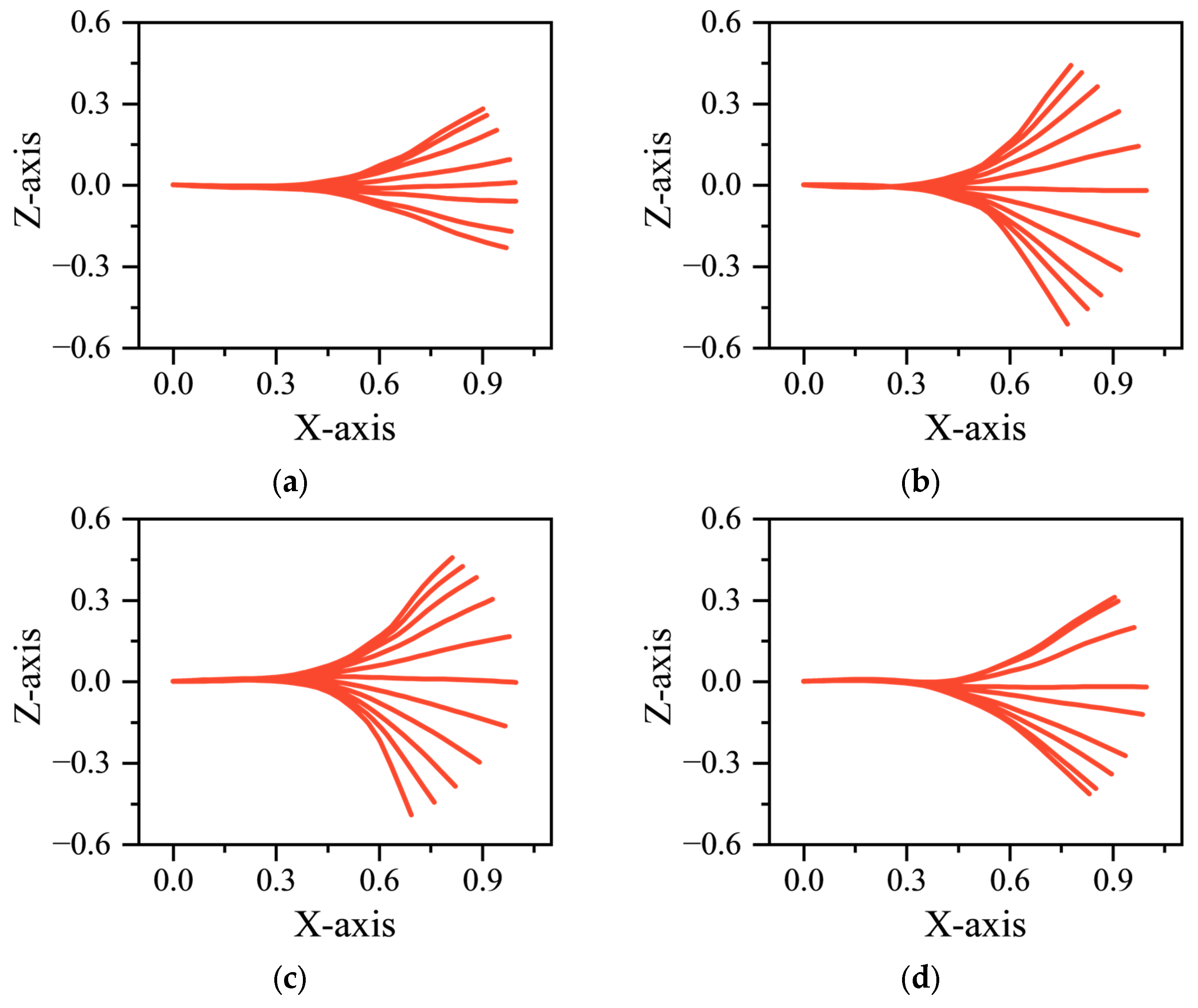
2.5.2. Flapping Curvature Measurement of the Biomimetic Pectoral Fin
2.5.3. Morphology Characterization of Material Interface
2.5.4. Cyclic Stability and Hysteresis Characterization of the Flexible Sensor Film
2.5.5. Sensing Performance Characterization of the Biomimetic Pectoral Fin
3. Results and Discussion
3.1. Material Design of Biomimetic Muscle
3.2. Integrated Design of Sensing and Actuation for Biomimetic Pectoral Fin
3.3. Sensing Performance of Biomimetic Pectoral Fin
3.4. Environmental Perception-Feedback Control of Manta Robot
4. Conclusions
- (1)
- Material optimization: Through systematic evaluation of the mechanical properties of candidate silicone materials, Dragon Skin 20 was identified as the optimal material for the biomimetic muscle. It combines large deformation capability with sufficient structural strength, meeting the requirements of the pectoral fin’s flapping motion.
- (2)
- Integration method: An embedded cast-molding method was employed to integrate the flexible sensor within the deformable restriction layer, eliminating interfacial air gaps and ensuring synchronized deformation between the sensing film and actuating muscle. Cyclic tests demonstrated that the embedded sensor maintained stable output throughout 9600 oscillation cycles.
- (3)
- Sensing performance: The distributed sensor array can effectively detect electrical signals generated by bending deformations of the pectoral fin caused by self-flapping or external environmental contact. By establishing a mapping relationship between electrical signal features under normal and abnormal conditions, the fin motion state as well as the external disturbances can be identified.
- (4)
- Control validation: The “environmental perception-feedback control” functionality was validated through water tank experiments. The robot could identify side collision or bottom contact disturbances based on abnormal sensing signals and trigger corresponding obstacle avoidance responses, such as turning or lifting, by modulating CPG parameters.
Author Contributions
Funding
Data Availability Statement
Conflicts of Interest
Abbreviations
| PET | Polyethylene terephthalate |
| VHB | Very High Bond (tape) |
| CPG | Central Pattern Generator |
| DL | Pectoral fin length |
| DW | Pectoral fin width |
| BL | Body length |
References
- Zhang, Y.; Zhang, J.; Guo, Z.; Zhang, L.; Shang, Y.; Chen, W. The study on dynamic modeling and path planning of a manta ray-inspired underwater glider. Brodogradnja 2025, 76, 76208. [Google Scholar] [CrossRef]
- Meng, Y.; Wu, Z.; Dong, H.; Wang, J.; Yu, J. Toward a novel robotic manta with unique pectoral fins. IEEE Trans. Syst. Man Cybern. Syst. 2022, 52, 1663–1673. [Google Scholar] [CrossRef]
- Cai, Y.; Bi, S.; Li, G.; Hildre, H.P.; Zhang, H. From natural complexity to biomimetic simplification: The realization of bionic fish inspired by the cownose ray. IEEE Robot. Autom. Mag. 2019, 26, 27–38. [Google Scholar] [CrossRef]
- Arastehfar, S.; Chew, C.-M.; Jalalian, A.; Gunawan, G.; Yeo, K.S. A relationship between sweep angle of flapping pectoral fins and thrust generation. J. Mech. Robot. 2019, 11, 011014. [Google Scholar] [CrossRef]
- Glushko, I.; Olenew, E.; Komar, M.; Kniese, L.; Sokolovskyi, R.; Kebkal, O.; Bannasch, R.; Kebkal, K. Software control architecture for the BOSS Manta Ray AUV actuation system. In Proceedings of the 2018 IEEE/OES Autonomous Underwater Vehicle Workshop (AUV), Porto, Portugal, 6–9 November 2018. [Google Scholar]
- Li, T.; Li, G.; Liang, Y.; Cheng, T.; Dai, J.; Yang, X.; Liu, B.; Zeng, Z.; Huang, Z.; Luo, Y.; et al. Fast-moving soft electronic fish. Sci. Adv. 2017, 3, e1602045. [Google Scholar] [CrossRef] [PubMed]
- Guo, Y.; Li, Y.; Yu, X.; Han, L.; Niu, W.; Sun, T. Design, hydrodynamic analysis, and test of a manta ray-inspired soft wing for flapping wing propulsion of underwater gliders. Ocean Eng. 2025, 327, 120998. [Google Scholar] [CrossRef]
- Huang, H.; Sheng, C.; Wu, J.; Wu, G.; Zhou, C.; Wang, H. Hydrodynamic analysis and motion simulation of fin and propeller driven manta ray robot. Appl. Ocean Res. 2021, 108, 102528. [Google Scholar] [CrossRef]
- Cai, W.H.; Zhan, J.M.; Luo, Y.Y. A study on the hydrodynamic performance of manta ray biomimetic glider under unconstrained six-DOF motion. PLoS ONE 2020, 15, e0241677. [Google Scholar] [CrossRef]
- Xie, Y.; Ma, S.; Zhang, Y.; Liu, X.; Cao, Y.-H.; Shi, Y.; Pan, G.; Yu, J.; Cao, Y. Dynamic modeling and tube-MPC based landing control for a robotic manta with flexible fins. IEEE/ASME Trans. Mechatron. 2025, 31, 151–161. [Google Scholar] [CrossRef]
- Wang, R.; Wang, S.; Wang, Y.; Cheng, L.; Tan, M. Development and motion control of biomimetic underwater robots: A survey. IEEE Trans. Syst. Man Cybern. Syst. 2022, 52, 833–844. [Google Scholar] [CrossRef]
- Wang, W.; Li, Y.; Zhang, X.; Wang, C.; Chen, D.; Xie, G. Three-dimensional modeling of a fin-actuated robotic fish with multimodal swimming. IEEE/ASME Trans. Mechatron. 2018, 23, 1641–1652. [Google Scholar] [CrossRef]
- Ishihara, S.; Kusuda, R. Variations in viable cell counts of released Edwardsiella tarda from experimentally infected eel at different temperatures. Nippon Suisan Gakkaishi 1983, 49, 1341–1345. [Google Scholar] [CrossRef]
- Li, B.; Mao, Z.; Song, B.; Tian, W.; Wang, Y.; Sundén, B.; Lu, C. Thermal management performance improvement of phase change material for autonomous underwater vehicles’ battery module by optimizing fin design based on quantitative evaluation method. Int. J. Energy Res. 2022, 46, 15756–15772. [Google Scholar] [CrossRef]
- Chen, Z.; Wang, Z.; Wu, W.; Xia, T.; Pan, E. A hybrid battery degradation model combining arrhenius equation and neural network for capacity prediction under time-varying operating conditions. Reliab. Eng. Syst. Saf. 2024, 252, 110471. [Google Scholar] [CrossRef]
- Fish, F.E.; Kolpas, A.; Crossett, A.; Dudas, M.A.; Moored, K.W.; Bart-Smith, H. Kinematics of swimming of the manta ray: Three-dimensional analysis of open-water maneuverability. J. Exp. Biol. 2018, 221, jeb166041. [Google Scholar] [CrossRef] [PubMed]
- Lauder, G.V. Fish locomotion: Recent advances and new directions. Annu. Rev. Mar. Sci. 2015, 7, 521–545. [Google Scholar] [CrossRef] [PubMed]
- Dewar, H.; Mous, P.; Domeier, M.; Muljadi, A.; Pet, J.; Whitty, J. Movements and site fidelity of the giant manta ray, Manta birostris, in the Komodo Marine Park, Indonesia. Mar. Biol. 2008, 155, 121–133. [Google Scholar] [CrossRef]
- Wang, R.; Zhang, C.; Zhang, Y.; Yang, L.; Qin, H.; Zhang, Q.; Yang, Y.; Liu, L. Soft manta ray robot based on bilateral bionic muscle actuator. IEEE Robot. Autom. Lett. 2024, 9, 7723–7730. [Google Scholar] [CrossRef]
- Sun, Y.; Feng, H.; Liang, X.; Goh, A.J.Y.; Qi, P.; Li, M.; Ang, M.H., Jr.; Yeow, R.C.H. Powerful 2D soft morphing actuator propels giant manta ray robot. Adv. Intell. Syst. 2022, 4, 2200186. [Google Scholar] [CrossRef]
- Chen, Z.; Um, T.I.; Bart-Smith, H. Bio-inspired robotic manta ray powered by ionic polymer–metal composite artificial muscles. Int. J. Smart Nano Mater. 2012, 3, 296–308. [Google Scholar] [CrossRef]
- Cheng, S.; Zhang, C.; Dai, H.; Zheng, C.; Wen, Z. Crack-controllable waterproof strain sensor with high linearity for underwater soft robot monitoring. J. Colloid Interface Sci. 2026, 672, 678–688. [Google Scholar] [CrossRef]
- Wu, S.; Kim, D.; Tang, X.; King, M.W.; Zhu, Y. Encapsulated stretchable amphibious strain sensors. Mater. Horiz. 2024, 11, 5070–5080. [Google Scholar] [CrossRef] [PubMed]
- Hosseini, E.S.; Chakraborty, M.; Roe, J.; Petillot, Y.; Dahiya, R.S. Porous elastomer based wide range flexible pressure sensor for autonomous underwater vehicles. IEEE Sens. J. 2022, 22, 9914–9921. [Google Scholar] [CrossRef]
- Liu, S.; Zhang, D.; Fu, X.; Mo, L.; Miao, Q.; Huang, R.; Huang, X.; Guo, W.; Li, Y.; Zheng, Q.; et al. Tactile sensing for soft robotic manipulators in 50 MPa hydrostatic pressure environments. Adv. Intell. Syst. 2023, 6, 2300296. [Google Scholar] [CrossRef]
- Gong, T.; Shao, H.; Sun, X.; Guo, J.; Hou, J.; Ke, K.; Gong, L.; Cao, Y.; Cao, Y.-H.; Bao, R.-Y.; et al. Spatial hetero-structured composites with ultrawide linear range for positive-negative pressure sensing and e-skin of bionic fish. Nano Energy 2024, 120, 109173. [Google Scholar] [CrossRef]
- Deakos, M.H. Paired-laser photogrammetry as a simple and accurate system for measuring the body size of free-ranging manta rays Manta alfredi. Aquat. Biol. 2010, 10, 1–10. [Google Scholar] [CrossRef]
- Hao, Y.; Cao, Y.; Cao, Y.-H.; Huang, Q.; Pan, G. Course control of a manta robot based on amplitude and phase differences. J. Mar. Sci. Eng. 2022, 10, 285. [Google Scholar] [CrossRef]
- GB/T 528-2009; Rubber, Vulcanized or Thermoplastic-Determination of Tensile Stress-Strain Properties. Standards Press of China: Beijing, China, 2009.
- GB/T 1040.3-2006; Plastics-Determination of Tensile Properties—Part 3: Test Conditions for Films and Sheets. Standards Press of China: Beijing, China, 2009.
- Hou, J.; Gong, L.; Liu, X.; Liu, B.; Lu, Y.; Pan, G.; Cao, Y.-H.; Cao, Y. Design of bio-manta based on continuously programmable soft pneumatic actuators (CPSPAs). IEEE Robot. Autom. Lett. 2025, 10, 1266–1273. [Google Scholar] [CrossRef]

















| Materials | Shore A Hardness (HA) | Tensile Strength (Mpa) | Elongation at Break (%) |
|---|---|---|---|
| Dragon Skin 10 | 10 | 3.28 ± 0.12 | 1000 ± 35 |
| Dragon Skin 15 | 15 | 3.70 ± 0.15 | 771 ± 28 |
| Dragon Skin 20 | 20 | 3.79 ± 0.14 | 620 ± 24 |
| Dragon Skin 30 | 30 | 3.45 ± 0.11 | 364 ± 18 |
| Smooth-Sil 945 | 45 | 4.83 ± 0.18 | 320 ± 15 |
| Note | The median of five measurements per sample | Mean values ± SD (n = 3) | |
Disclaimer/Publisher’s Note: The statements, opinions and data contained in all publications are solely those of the individual author(s) and contributor(s) and not of MDPI and/or the editor(s). MDPI and/or the editor(s) disclaim responsibility for any injury to people or property resulting from any ideas, methods, instructions or products referred to in the content. |
© 2026 by the authors. Licensee MDPI, Basel, Switzerland. This article is an open access article distributed under the terms and conditions of the Creative Commons Attribution (CC BY) license.
Share and Cite
Zhang, M.; Hou, J.; Li, K.; Gong, L.; Guo, J.; Cao, Y.; Pan, G.; Cao, Y. Design of a Sensor–Actuator Integrated Flexible Pectoral Fin for Bioinspired Manta Robots. J. Mar. Sci. Eng. 2026, 14, 693. https://doi.org/10.3390/jmse14080693
Zhang M, Hou J, Li K, Gong L, Guo J, Cao Y, Pan G, Cao Y. Design of a Sensor–Actuator Integrated Flexible Pectoral Fin for Bioinspired Manta Robots. Journal of Marine Science and Engineering. 2026; 14(8):693. https://doi.org/10.3390/jmse14080693
Chicago/Turabian StyleZhang, Minhui, Jiarun Hou, Kangkang Li, Lei Gong, Jiaxing Guo, Yonghui Cao, Guang Pan, and Yong Cao. 2026. "Design of a Sensor–Actuator Integrated Flexible Pectoral Fin for Bioinspired Manta Robots" Journal of Marine Science and Engineering 14, no. 8: 693. https://doi.org/10.3390/jmse14080693
APA StyleZhang, M., Hou, J., Li, K., Gong, L., Guo, J., Cao, Y., Pan, G., & Cao, Y. (2026). Design of a Sensor–Actuator Integrated Flexible Pectoral Fin for Bioinspired Manta Robots. Journal of Marine Science and Engineering, 14(8), 693. https://doi.org/10.3390/jmse14080693

