Research on Prediction Method for Heave Motion of Cylindrical FPSO Based on Viscous Correction
Abstract
1. Introduction
2. Platform Hydrodynamic Characteristics Analysis
2.1. Platform Model and Parameters
2.2. Time-Domain Governing Equations
3. Platform Resistance Characteristics Calculation
3.1. Fluid Domain Construction and Mesh Generation
3.2. Basic Model and Boundary Wave Generation
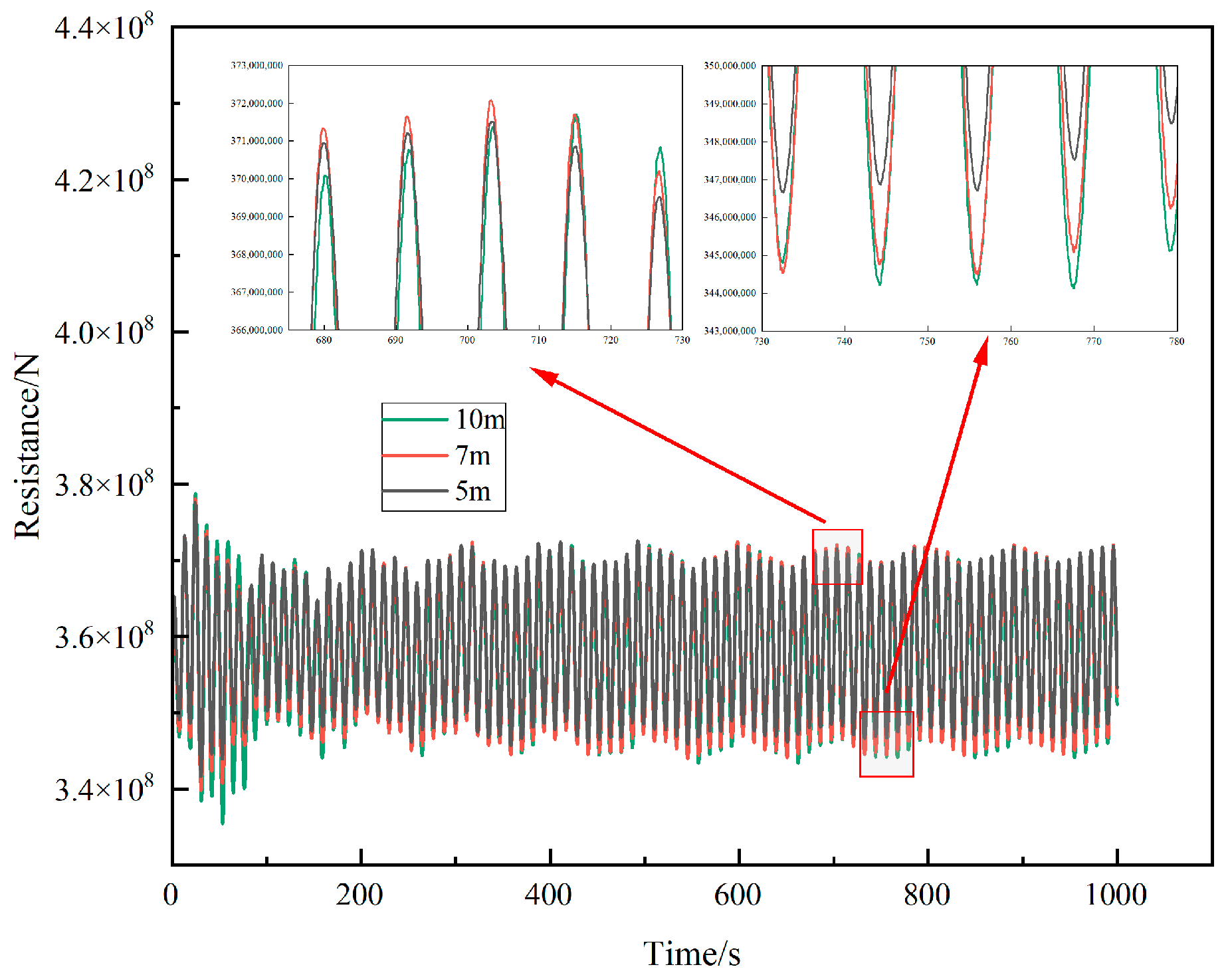
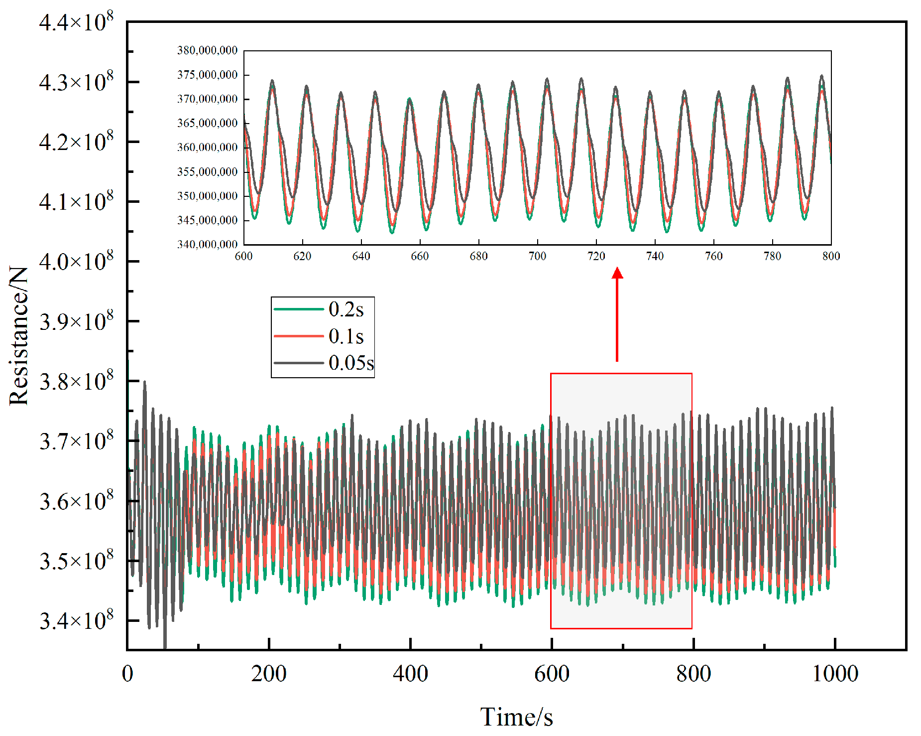
3.3. Sensitivity Analysis
4. Iterative Solution Method for Heave Damping
5. Results and Discussion
5.1. Verification of Forced Motion Consistency
5.2. Wave Verification and Monitoring Point Comparison Analysis
5.3. Analysis of Flow Field Distribution Characteristics
5.4. Analysis of RAO Correction Effectiveness and Damping Coefficient Convergence Characteristics for Platform Heave Motion
5.5. Comparison of Platform Vertical Oscillation Time-Domain Response and Resistance Before and After Modification
6. Conclusions
Author Contributions
Funding
Data Availability Statement
Conflicts of Interest
References
- Amin, I.; Dai, S.; Day, S.; Oterkus, S.; Oterkus, E. Experimental investigation on the influence of interceptor plate on the motion performance of a cylindrical FPSO. Ocean Eng. 2022, 243, 110339. [Google Scholar] [CrossRef]
- Deng, S.; Zhong, W.; Yang, X.; Wu, M.; Fu, S. Experimental and numerical study of the hydrodynamic features of a cylindrical FPSO considering current-induced motion. Ocean Eng. 2022, 262, 112263. [Google Scholar] [CrossRef]
- Cui, Y.; Li, Y.; Li, G.; Feng, Y.; Li, H.; Wang, B.; Meng, H.; Deng, W. Dynamic response and nonlinear resonance of cylindrical FPSO with a ring groove considering time-varying restoring stiffness. Ocean Eng. 2025, 325, 120857. [Google Scholar] [CrossRef]
- Zou, L.; Zhao, Z.; Sun, J.; Sun, Z.; Luo, Z.; Yu, Z. Numerical analysis of hydrodynamic characteristics in mooring platforms with diverse moonpool shapes using SPH. Ocean Eng. 2024, 297, 117037. [Google Scholar] [CrossRef]
- Zhao, W.; Yang, X.; Wan, D. Numerical analysis of coupled sloshing and motion of a cylindrical FPSO in regular waves. J. Hydrodyn. Ser. B 2024, 36, 457–465. [Google Scholar] [CrossRef]
- Sanchez-Mondragon, J.; Vázquez-Hernández, A.O.; Cho, S.K.; Sung, H.G. Motion behavior in a turret-moored FPSO caused by piston mode effects in moonpool. Ocean Eng. 2017, 140, 222–232. [Google Scholar] [CrossRef]
- Zhang, Z.; Zhang, H.; Wang, Y.; Zhang, Y. Variation Characteristics of Hydrodynamic Coefficients of Two-Dimensional Rectangular Moonpool Resonance under Sway Motion. Sustainability 2022, 14, 15952. [Google Scholar] [CrossRef]
- Yang, C.; Lu, Z.; Wan, C.; Su, Z.; Bai, X.; Johanning, L. Semi-analytical study on the hydrodynamic performance of a cylindrical moon column FPSO with damping plate. Ocean Eng. 2025, 316, 119894. [Google Scholar] [CrossRef]
- Cui, J.; Chen, X.; Sun, P.; Li, M. Numerical investigation on the hydrodynamic behavior of a floating breakwater with moon pool through a coupling SPH model. Ocean Eng. 2022, 248, 110849. [Google Scholar] [CrossRef]
- API RP 2SK: Design and Analysis of Stationkeeping Systems for Floating Offshore Structures, 4th ed.; American Petroleum Institute: Washington, DC, USA, 2024.
- Ji, X.; Li, Y.; Tang, Y.; Tong, B. Viscous damping effect and vortex shedding performance of the novel anti-motion structures on a cylindrical FPSO. Ocean Eng. 2019, 190, 106430. [Google Scholar] [CrossRef]
- Yu, Y.; Wang, W.; Li, Y.; Liu, L. Influence of periods and amplitudes on damping performance and added mass of cylindrical FPSO. J. Ocean. Technol. 2023, 42, 112–119. [Google Scholar]
- Ding, P.; Xu, R.; Wang, L.; Gao, Z.; Ge, X.; Wen, M. Fractional derivative viscoelastic models based on L2-1σ formula: Modelling and numerical application. Comput. Geotech. 2026, 189, 107633. [Google Scholar] [CrossRef]
- Ponnappan, S.; Sankunny, S. Hydrodynamic Study on Water Column Oscillation of Varying Cross-Sectional Moonpool and Its Effect on Resistance of a Drill Ship. J. Offshore Mech. Arct. Eng. 2017, 140, 031301. [Google Scholar] [CrossRef]
- Lee, S.; Xu, L. CFD Study and Model Test Verification of Moonpool Configuration Modifications for Minimizing Drillship Resistance; Springer: Singapore, 2021; pp. 3–27. [Google Scholar] [CrossRef]
- Zhang, H. Hydrodynamic Performance Analysis of a Deepwater Cylindrical Drilling Platform in the South China Sea. Master’s Thesis, Shanghai Jiao Tong University, Shanghai, China, 2019. [Google Scholar]
- Liu, C.; Li, H.; Liu, R.; Zou, J.; Deng, B.; Lu, L. Numerical analysis of FPSO mooring dynamic tension and its fatigue damage under a simplified coupled method considering structural elastic deformation. Ocean Eng. 2024, 314, 119702. [Google Scholar] [CrossRef]
- Rosetti, G.F.; Pinto, M.L.; de Mello, P.C.; Sampaio, C.M.P.; Simos, A.N.; Silva, D.F.C. CFD and experimental assessment of green water events on an FPSO hull section in beam waves. Mar. Struct. 2019, 65, 154–180. [Google Scholar] [CrossRef]
- Lu, S.; Liu, M.; Yang, F.; Zhang, J.; Chen, S.; Liu, L.; Kang, G.; Li, Q. Gas-liquid two-phase flow and mass transfer characteristics in an improved CO2 wet-wall column. Chem. Ind. Eng. Prog. 2023, 42, 3457. [Google Scholar] [CrossRef]
- Hu, Z.Z.; Yan, S.; Greaves, D.; Mai, T.; Raby, A.; Ma, Q. Investigation of interaction between extreme waves and a moored FPSO using FNPT and CFD solvers. Ocean Eng. 2020, 206, 107353. [Google Scholar] [CrossRef]
- Karpenko, M. Aircraft Hydraulic Drive Energy Losses and Operation Delay Associated with the Pipeline and Fitting Connections. Aviation 2024, 28, 1–8. [Google Scholar] [CrossRef]
- Huo, S.; Deng, S.; Song, Z.; Zhao, W.; Wan, D. On the hydrodynamic response and slamming impact of a cylindrical FPSO in combined wave-current flows. Ocean Eng. 2023, 275, 114139. [Google Scholar] [CrossRef]
- Li, Y.; Cai, M.; Zhang, C.; Law, Y.Z.; Zhang, S.; Santo, H. Load mapping technology in floating offshore structures: A frequency-domain methodology for coupled hydro-structure analysis of FPSO with a large number of liquid tanks. Eng. Struct. 2026, 349, 121853. [Google Scholar] [CrossRef]
- Wei, Q.; Gu, J.; Liu, W.; Lyu, H.; Tao, Y.; Hu, F. Influence of an Adding Damping Device in a Moonpool on the Heave Motion of a Drilling Ship Part I: Experiment. China Ocean Eng. 2025, 39, 191–208. [Google Scholar] [CrossRef]
- Guo, X.; Lu, H.; Yang, J.; Peng, T. Resonant water motions within a recessing type moonpool in a drilling vessel. Ocean Eng. 2017, 129, 228–239. [Google Scholar] [CrossRef]
- Wang, G.; Zhang, J.; Lu, B.; Lin, X.; Wang, F.; Liu, S. Experimental investigation of motion response and mooring load of semi-submersible tidal stream energy turbine under wave-current interactions. Ocean Eng. 2024, 300, 117445. [Google Scholar] [CrossRef]














| Main Scale Parameters | Symbol | Unit | Physical Dimensions |
|---|---|---|---|
| Body Diameter | DM | m | 75.000 |
| Main Deck Height | HM | m | 24.500 |
| Bottom Float Diameter | DB | m | 99.000 |
| Bottom float height | HB | m | 3.500 |
| Upper Deck Height | HUP | m | 36.500 |
| Upper Deck Diameter | DUP | m | 85.000 |
| Moonpool Radius | r | m | 12.500 |
| Draft | T | m | 15.000 |
| Center of Gravity Height (from Base Line) | ZG | m | 18.556 |
| Weight | G | ton | 5.88 × 106 |
| Radius of Gyration | (Kxx, Kyy, Kzz) | m | (25, 25, 28.2) |
| Hydrostatic Stiffness | (C33, C44, C55) | kN/m | (37,742, 13,3671, 133,451) |
| Natural Period | Theave | s | 15.85 |
| No. | Anchor Point | Fairlead | ||||
|---|---|---|---|---|---|---|
| X(m) | Y(m) | Z(m) | X(m) | Y(m) | Z(m) | |
| 1 | 1102.3 | 1436.6 | −1500 | 23.13 | 30.15 | −12.5 |
| 2 | 972.9 | 1527.2 | −1500 | 20.42 | 32.05 | −12.5 |
| 3 | 836.1 | 1606.1 | −1500 | 17.55 | 33.71 | −12.5 |
| 4 | 692.9 | 1672.9 | −1500 | 14.54 | 35.11 | −12.5 |
| 5 | −1795.2 | 236.3 | −1500 | −37.67 | −4.96 | −12.5 |
| 6 | −1809 | 79 | −1500 | −37.96 | 1.66 | −12.5 |
| 7 | −1809 | −79 | −1500 | −37.96 | −1.66 | −12.5 |
| 8 | −1795.2 | −236.3 | −1500 | −37.67 | 4.96 | −12.5 |
| 9 | 692.9 | −1672.9 | −1500 | 14.54 | −35.11 | −12.5 |
| 10 | 836.1 | −1606.1 | −1500 | 17.55 | −33.71 | −12.5 |
| 11 | 972.9 | −1527.2 | −1500 | 20.42 | −32.05 | −12.5 |
| 12 | 1102.3 | −1436.6 | −1500 | 23.13 | −30.15 | −12.5 |
| Waveform | Period | Wave Length | Wave Height |
|---|---|---|---|
| Airy | 11.7 s | 213.62 m | 7.2 m |
| Case ID | Wave Height H (m) | Wave Period T (s) | Relative Change | Damping Coefficient λ (N·s/m) |
|---|---|---|---|---|
| T-1 | 7.2 | 9.75 | −16.70% | 1.70 × 107 |
| T-2 | 7.2 | 10.40 | −11.20% | 1.26 × 107 |
| T-3 | 7.2 | 11.05 | −5.60% | 8.81 × 106 |
| T-0 (Baseline) | 7.2 | 11.70 | 0.00% | 1.53 × 107 |
| T-4 | 7.2 | 12.35 | 5.60% | 9.84 × 106 |
| T-5 | 7.2 | 13.00 | 11.20% | 3.76 × 107 |
| T-6 | 7.2 | 13.65 | 16.70% | 4.16 × 106 |
Disclaimer/Publisher’s Note: The statements, opinions and data contained in all publications are solely those of the individual author(s) and contributor(s) and not of MDPI and/or the editor(s). MDPI and/or the editor(s) disclaim responsibility for any injury to people or property resulting from any ideas, methods, instructions or products referred to in the content. |
© 2026 by the authors. Licensee MDPI, Basel, Switzerland. This article is an open access article distributed under the terms and conditions of the Creative Commons Attribution (CC BY) license.
Share and Cite
Fu, S.; Gao, W.; Li, Y.; Xie, Y.; Wang, T.; An, C. Research on Prediction Method for Heave Motion of Cylindrical FPSO Based on Viscous Correction. J. Mar. Sci. Eng. 2026, 14, 474. https://doi.org/10.3390/jmse14050474
Fu S, Gao W, Li Y, Xie Y, Wang T, An C. Research on Prediction Method for Heave Motion of Cylindrical FPSO Based on Viscous Correction. Journal of Marine Science and Engineering. 2026; 14(5):474. https://doi.org/10.3390/jmse14050474
Chicago/Turabian StyleFu, Shenglei, Wei Gao, Yuanfang Li, Ying Xie, Tianqi Wang, and Chen An. 2026. "Research on Prediction Method for Heave Motion of Cylindrical FPSO Based on Viscous Correction" Journal of Marine Science and Engineering 14, no. 5: 474. https://doi.org/10.3390/jmse14050474
APA StyleFu, S., Gao, W., Li, Y., Xie, Y., Wang, T., & An, C. (2026). Research on Prediction Method for Heave Motion of Cylindrical FPSO Based on Viscous Correction. Journal of Marine Science and Engineering, 14(5), 474. https://doi.org/10.3390/jmse14050474
