Piezoelectric Analysis of a Hydrofoil Undergoing Vortex-Induced Vibration
Abstract
1. Introduction
2. Description of the System
3. Numerical Procedure
3.1. Fluid Field
3.2. Structural Response
4. Numerical Results and Discussions
4.1. Convergence Study
4.2. The Flow Field and Electric Field at Different Times
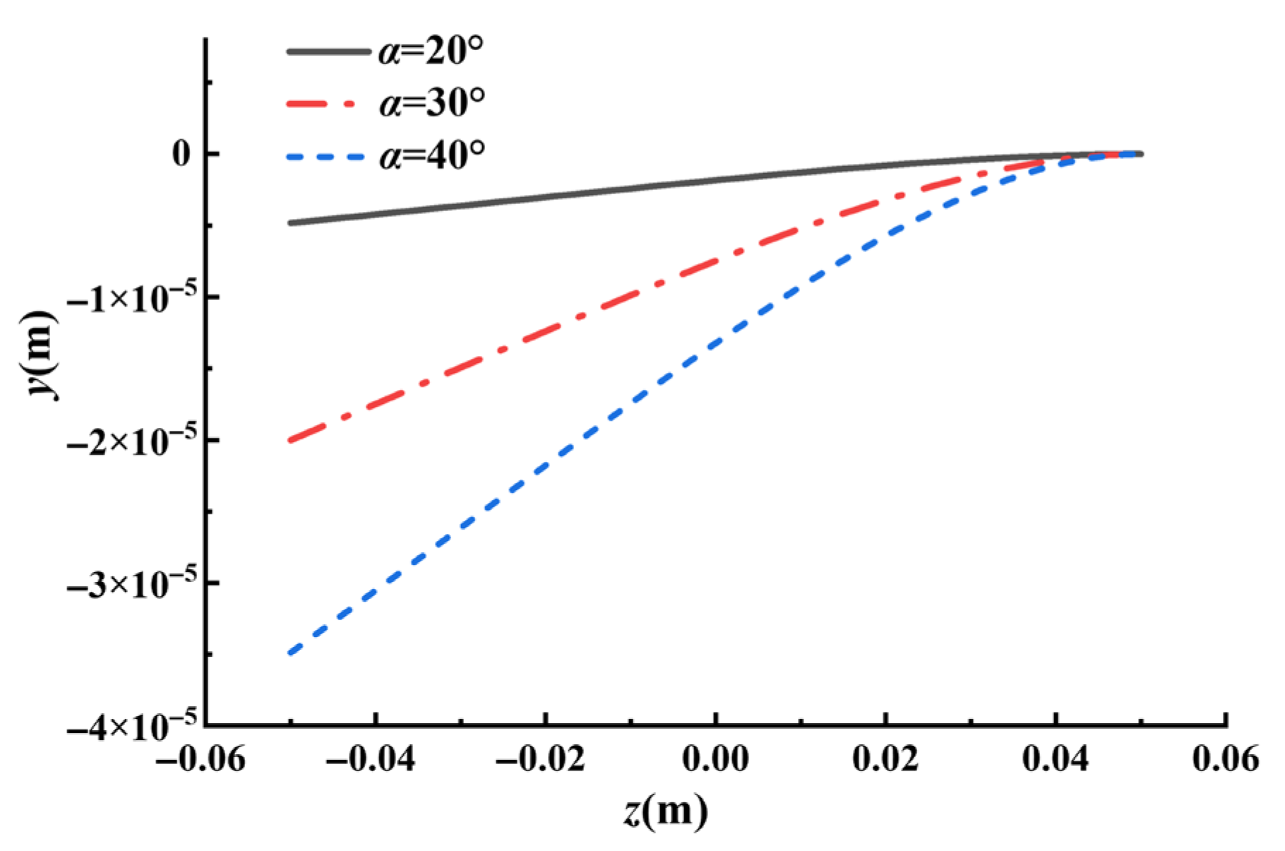
4.3. Piezoelectric Field at Different Attack Angles
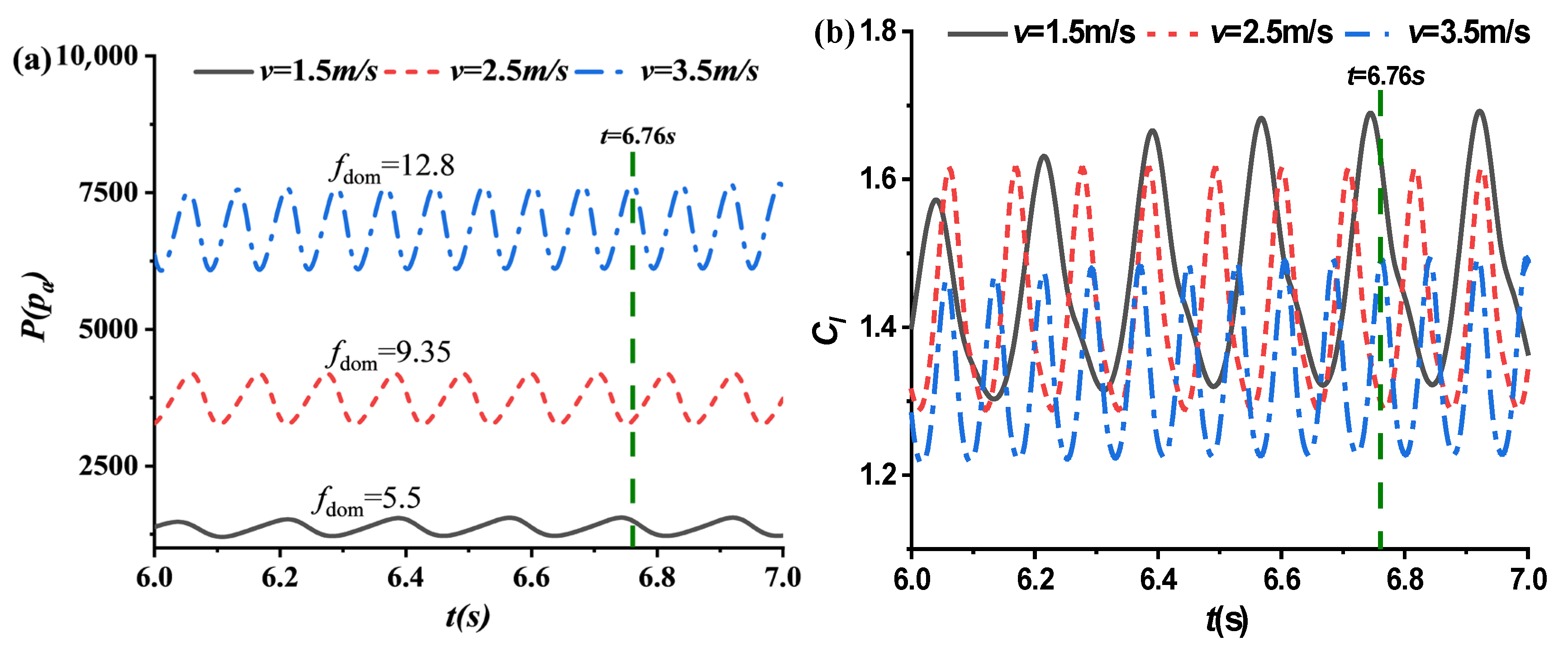
4.4. Piezoelectric Field at Different Velocities of Incoming Flow
5. Conclusions
Author Contributions
Funding
Institutional Review Board Statement
Informed Consent Statement
Data Availability Statement
Conflicts of Interest
References
- Kong, M.; Ji, R.; Sun, K.; Zhang, J.; Cheng, Y.; Wu, H.; Zhang, Y.; Reabroy, R. Quantifying the pitch-induced response of side-by-side horizontal-axis tidal stream turbines in wave-current interaction. Energy 2026, 342, 139650. [Google Scholar] [CrossRef]
- Yin, M.; Ji, R.; Zhu, R.; Xu, S.; Sun, K.; Zhang, J.; Zhang, Y.; Reabroy, R. Performance and wake prediction of a ducted tidal stream turbine in yaw misalignment using the lattice Boltzmann method. Energy Convers. Manag. 2026, 347, 120574. [Google Scholar] [CrossRef]
- Shigeki, K.; Giwon, H.; Naoto, M.; Tomonori, Y.; Shinobu, Y. Numerical study of active control by piezoelectric materials for fluid–structure interaction problems. J. Sound Vib. 2018, 435, 23–35. [Google Scholar] [CrossRef]
- Hasheminejad, S.M.; Masoumi, Y. Hybrid active flow induced vibration control of a circular cylinder equipped with a wake-mounted smart piezoelectric bimorph splitter plate. J. Fluid Struct. 2022, 110, 103531. [Google Scholar] [CrossRef]
- Taylor, G.W.; Burns, J.R.; Kammann, S.M.; Powers, W.B.; Welsh, T.R. The energy harvesting Eel: A small subsurface ocean/river power generator. IEEE J. Ocean. Eng. 2001, 26, 539–547. [Google Scholar] [CrossRef]
- Allen, J.J.; Smits, A.J. Energy harvesting eel. J. Fluids Struct. 2001, 15, 629–640. [Google Scholar] [CrossRef]
- Du, X.; Wang, Y.; Chen, H.; Li, C.; Han, Y.; Yurchenko, D.; Wang, J.; Yu, H. Vortex-induced piezoelectric cantilever beam vibration for ocean wave energy harvesting via airflow from the orifice of oscillation water column chamber. Nano Energy 2022, 104, 107870. [Google Scholar] [CrossRef]
- Wang, J.L.; Xia, B.; Yurchenko, D.; Tian, H. Enhanced performance of cutting angle cylinder piezoelectric energy harvester via coupling vortex-induced vibration and galloping. Mech. Syst. Signal Process. 2023, 205, 110838. [Google Scholar] [CrossRef]
- Latif, U.; Younis, M.Y.; Idrees, S.; Uddin, E.; Abdelkefi, A.; Munir, A.; Zhao, M. Synergistic analysis of wake effect of two cylinders on energy harvesting characteristics of piezoelectric flag. Renew. Sustain. Energy Rev. 2023, 173, 113114. [Google Scholar] [CrossRef]
- Zhang, M.; Zhang, C.; Abdelkefi, A.; Yu, H.; Gaidai, O.; Qin, X.; Zhu, H.; Wang, J. Piezoelectric energy harvesting from vortex-induced vibration of a circular cylinder: Effect of Reynolds number. Ocean Eng. 2021, 235, 109478. [Google Scholar] [CrossRef]
- Kan, J.; Liao, W.; Wang, J.; Wang, S.; Yan, M.; Jiang, Y.; Zhang, Z. Enhanced piezoelectric wind-induced vibration energy harvester via the interplay between cylindrical shell and diamond-shaped baffle. Nano Energy 2021, 89, 106466. [Google Scholar] [CrossRef]
- Jamil, M.; Javed, A.; Shah, S.I.A.; Mansoor, M.; Hameed, A.; Djidjeli, K. Performance Analysis of Flapping Foil Flow Energy Harvester Mounted on Piezoelectric Transducer using Meshfree Particle Method. J. Appl. Fluid Mech. 2020, 13, 1859–1872. [Google Scholar] [CrossRef]
- Hafizh, M.; Muthalif, A.G.A.; Renno, J.; Paurobally, M.R.; Bahadur, I.; Ouakad, H.; Ali, M.S.M. Vortex induced vibration energy harvesting using magnetically coupled broadband circular-array piezoelectric patch: Modelling, parametric study, and experiments. Energy Convers. Manag. 2023, 276, 116559. [Google Scholar] [CrossRef]
- Shoele, K. Hybrid wave/current energy harvesting with a flexible piezoelectric plate. J. Fluid Mech. 2023, 968, A31. [Google Scholar] [CrossRef]
- Nabavi, S.F.; Farshidianfar, A.; Afsharfard, A. Novel piezoelectric-based ocean wave energy harvesting from offshore buoys. Appl. Ocean Res. 2018, 76, 174–183. [Google Scholar] [CrossRef]
- Okada, N.; Yabe, S.; Fujimoto, H.; Murai, M. Experiments on floating wave-power generation using piezoelectric elements and pendulums in the water tank. In Proceedings of the 2012 Oceans-Yeosu, Yeosu, Republic of Korea, 21–24 May 2012; IEEE: Piscataway, NJ, USA, 2012. [Google Scholar]
- Zurkinden, A.S.; Campanile, F.; Martinelli, L. Wave Energy Converter through Piezoelectric Polymers. In Proceedings of the COMSOL Users Conference, Grenoble, France, 23–24 October 2007. [Google Scholar]
- Tanaka, Y.; Oko, T.; Mutsuda, H.; Patel, R.; McWilliam, S.; Popov, A.A. An experimental study of wave power generation using flexible piezoelectric device. In Proceedings of the ISOPE International Ocean and Polar Engineering Conference, Busan, Republic of Korea, 15–20 June 2014. [Google Scholar]
- Mutsuda, H.; Tanaka, Y.; Patel, R.; Doi, Y.; Moriyama, Y.; Umino, Y. A painting type of flexible piezoelectric device for ocean energy harvesting. Appl. Ocean Res. 2017, 68, 182–193. [Google Scholar] [CrossRef]
- Wang, C.; Wei, Y.; Chen, W.; Huang, L. Hydroelastic modelling of a deformable wave energy converter including power take-off. Mar. Struct. 2024, 98, 103678. [Google Scholar] [CrossRef]
- Wu, N.; Wang, Q.; Xie, X. Ocean wave energy harvesting with a piezoelectric coupled buoy structure. Appl. Ocean Res. 2015, 50, 110–118. [Google Scholar] [CrossRef]
- Zheng, S.; Meylan, M.; Zhang, X.; Iglesias, G.; Greaves, D. Performance of a plate-wave energy converter integrated in a floating breakwater. IET Renew. Power Gener. 2021, 15, 3206–3219. [Google Scholar] [CrossRef]
- He, L.; Wang, S.; Zheng, X.; Liu, L.; Tian, X.; Sun, B. Research-based on a low-frequency non-contact magnetic coupling piezoelectric energy harvester. Energy 2022, 258, 124844. [Google Scholar] [CrossRef]
- Yang, B.; He, L.; Ren, H.; Zhang, L.; Xu, C.; Wan, Q. A piezoelectric-electromagnetic smart structure for wave energy harvesting. Eng. Struct. 2026, 348, 121800. [Google Scholar] [CrossRef]
- Li, S.; Sun, S.; Cui, J. Fluid–structure interaction analysis of a piezoelectric wave energy converter positioned at the wave surface. Phys. Fluids 2025, 37, 013121. [Google Scholar] [CrossRef]
- Menter, F.R. Two-equation eddy-viscosity turbulence models for engineering applications. AIAA J. 1994, 32, 1598–1605. [Google Scholar] [CrossRef]
- Jbaily, A.; Yeung, R.W. Piezoelectric devices for ocean energy: A brief survey. J. Ocean Eng. Mar. Energy 2015, 1, 101–118. [Google Scholar] [CrossRef]
- Pope, S.B. Turbulent Flows; Cambridge University Press: Cambridge, UK, 2000. [Google Scholar]




















| 916 | 830 | 916 |
| Young’s Modulus (x, Pa) | ||
| Young’s Modulus (y, Pa) | ||
| Young’s Modulus (z, Pa) | ||
| Poisson’s Ratio (xy) | ||
| Poisson’s Ratio (yz) | ||
| Poisson’s Ratio (xz) | ||
| Shear Modulus (xy, Pa) | ||
| Shear Modulus (yz, Pa) | ||
| Shear Modulus (xz, Pa) |
| 0 | 0 | 0 | 12.3 | 0 | 0 | |
| −5.4 | 15.8 | −5.4 | 0 | 0 | 0 | |
| 0 | 0 | 0 | 0 | 12.3 | 0 |
Disclaimer/Publisher’s Note: The statements, opinions and data contained in all publications are solely those of the individual author(s) and contributor(s) and not of MDPI and/or the editor(s). MDPI and/or the editor(s) disclaim responsibility for any injury to people or property resulting from any ideas, methods, instructions or products referred to in the content. |
© 2026 by the authors. Licensee MDPI, Basel, Switzerland. This article is an open access article distributed under the terms and conditions of the Creative Commons Attribution (CC BY) license.
Share and Cite
Sun, S.; Yang, Y.; Wang, Q. Piezoelectric Analysis of a Hydrofoil Undergoing Vortex-Induced Vibration. J. Mar. Sci. Eng. 2026, 14, 385. https://doi.org/10.3390/jmse14040385
Sun S, Yang Y, Wang Q. Piezoelectric Analysis of a Hydrofoil Undergoing Vortex-Induced Vibration. Journal of Marine Science and Engineering. 2026; 14(4):385. https://doi.org/10.3390/jmse14040385
Chicago/Turabian StyleSun, Shiyan, Yong Yang, and Qingfeng Wang. 2026. "Piezoelectric Analysis of a Hydrofoil Undergoing Vortex-Induced Vibration" Journal of Marine Science and Engineering 14, no. 4: 385. https://doi.org/10.3390/jmse14040385
APA StyleSun, S., Yang, Y., & Wang, Q. (2026). Piezoelectric Analysis of a Hydrofoil Undergoing Vortex-Induced Vibration. Journal of Marine Science and Engineering, 14(4), 385. https://doi.org/10.3390/jmse14040385

