U-Net-Based Daytime and Nighttime Prediction of Surface Suspended Sediment Concentrations in Wenzhou Coastal Waters
Abstract
1. Introduction
2. Data and Methods
2.1. Study Area
2.2. Data Sources and Preprocessing
2.2.1. GOCI Satellite Data and Preprocessing
2.2.2. Wind Field Data
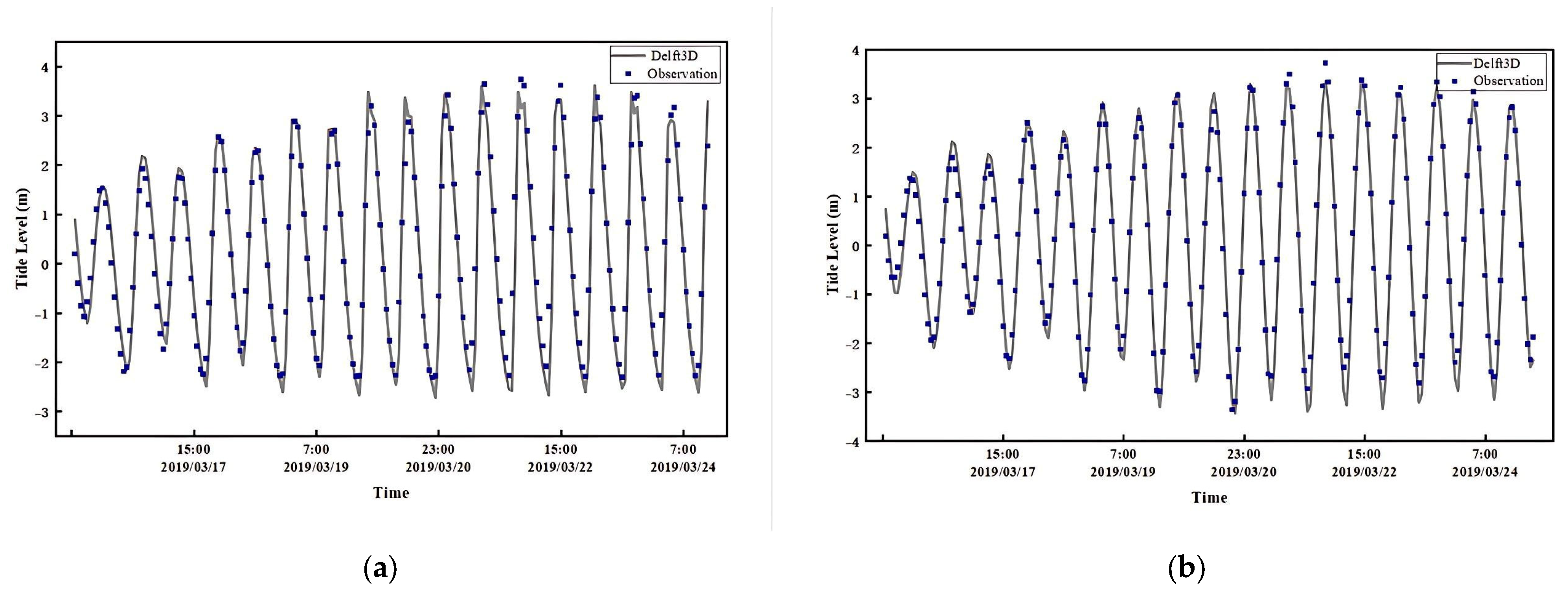
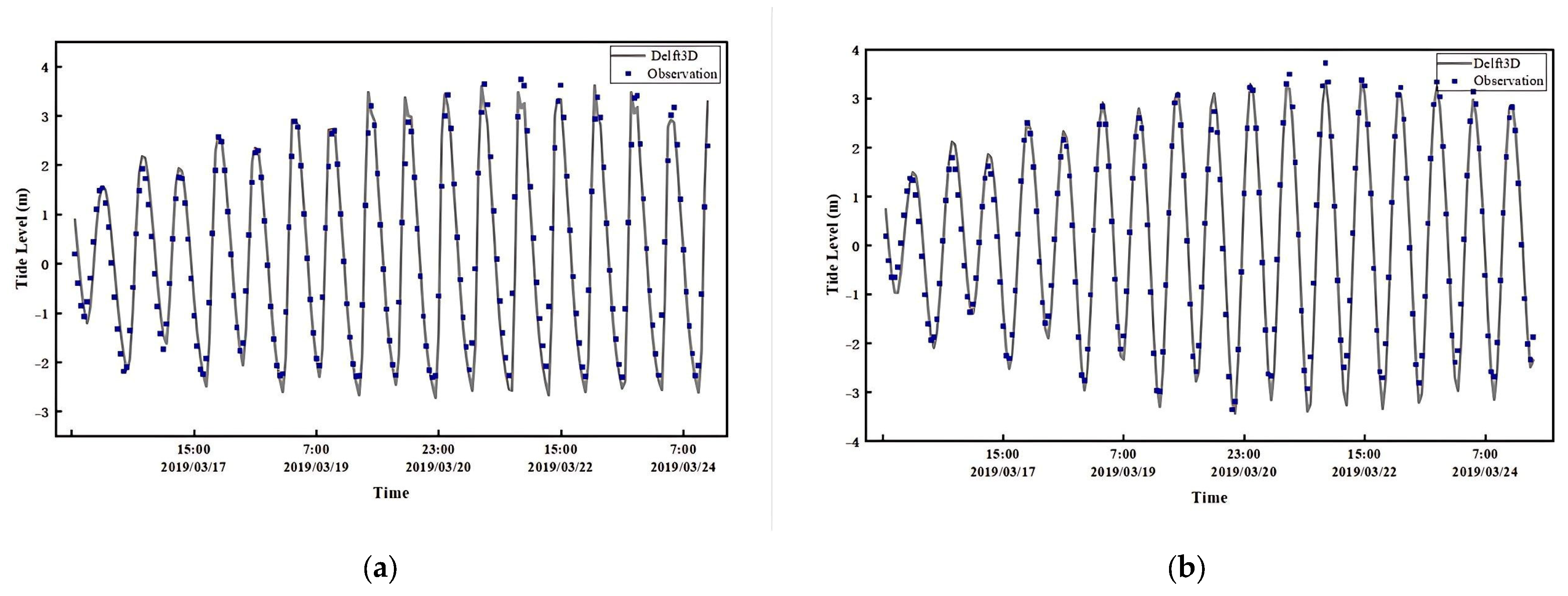
2.2.3. Hydrodynamic Modeling Setup
2.3. Model Architecture and Training Methods
2.4. Model Evaluation Metrics
3. Result Analysis and Discussion
3.1. Sensitivity Analysis of Model Input Parameters
3.2. Model Prediction Results and Validation
4. Conclusions
- (1)
- After the sensitivity analysis of the model parameters, the results show that the addition of tide level information can significantly improve the model’s prediction performance, and the use of the tide level variation instead of the original tide level and the increase in the temporal resolution of the flow field to 15 min can further improve the prediction accuracy of the U-Net model, reducing the average RMSE for 1 h prediction from 39.56 mg/L for S1 to 20.33 mg/L. Meanwhile, the average SSIM of S3 was improved from 0.61 to 0.82, so the model performed better in both prediction accuracy and spatial structure retention.
- (2)
- The model demonstrates distinct capabilities across different time scales. For short-term predictions, the model achieves high quantitative accuracy. As the forecast horizon extends while point-wise quantitative precision naturally decreases due to error accumulation, the model effectively maintains the global patterns and key spatial features (e.g., sediment fronts). This indicates strong adaptability in capturing the spatial and temporal evolution of SSC, which is attributed to the multi-scale feature fusion of the U-Net structure.
- (3)
- Despite these accomplishments, the model has certain limitations. As the forecast timeframe is extended to 16 h, quantitative precision naturally decreases due to error accumulation. Consequently, long-term forecasts are most effective at resolving broad concentration categories (e.g., distinguishing high vs. low turbidity zones) rather than providing precise quantitative values.
Author Contributions
Funding
Data Availability Statement
Conflicts of Interest
References
- Pan, D.; Wang, D. Advances in the Science of Marine Optical Remote Sensing Application in China. Adv. Earth Sci. 2004, 19, 506–512. [Google Scholar] [CrossRef]
- Mao, Z.; Chen, J.; Pan, D.; Tao, B.; Zhu, Q. A regional remote sensing algorithm for total suspended matter in the East China Sea. Remote Sens. Environ. 2012, 124, 819–831. [Google Scholar] [CrossRef]
- Zhan, Y.; Chen, L.; Wang, M.; Wang, D. Determination of Specific Surface Area of Sediment. J. Wuhan Univ. Hydraul. Electr. Eng. 1996, 29, 8–11. [Google Scholar]
- Xiao, Y.; Lu, Q.; Cheng, H.; Zhu, X.; Tang, H. Surface properties of sediments and its effect on phosphorus adsorption. J. Sediment. Res. 2011, 6, 64–68. [Google Scholar] [CrossRef]
- Zhang, J. Heavy metal compositions of suspended sediments in the Changjiang (Yangtze River) estuary: Significance of riverine transport to the ocean. Cont. Shelf Res. 1999, 19, 1521–1543. [Google Scholar] [CrossRef]
- Chen, X.; Shen, H.; Yuan, J.; Li, L. Suspended Sediment Concentration and Fluxes in the High-Turbidity Zone in the Macro-Tidal Hangzhou Bay. J. Mar. Sci. Eng. 2023, 11, 2004. [Google Scholar] [CrossRef]
- Deng, X.; Wang, Z.; Ma, X. Impact of Silted Coastal Port Engineering Construction on Marine Dynamic Environment: A Case Study of Binhai Port. J. Mar. Sci. Eng. 2025, 13, 494. [Google Scholar] [CrossRef]
- Cai, J.; Pan, G.; Chen, P. Analysis of the Characteristics and Dynamic Mechanism of Scouring and Silting Changes in Oufei Tidal Flat Before and After the Reclamation Project. Mar. Sci. Bull. 2020, 39, 63–71. (In Chinese) [Google Scholar] [CrossRef]
- Ying, Z.; Li, N.; Guo, L. Development history and prospects of domestic and international sediment monitoring technology. In Proceedings of the 2023 Academic Annual Conference of Chinese Hydraulic Engineering Society, Zhuzhou, China, 9–10 May 2023; China Water & Power Press: Beijing, China, 2023; pp. 181–186. [Google Scholar]
- Chen, S.; Han, Z.; Li, P. Inversion of suspended sediment concentration and nutrient evaluation in Shanghai offshore waters. Mar. Sci. Bull. 2025, 44, 243–256. [Google Scholar] [CrossRef]
- Winkler, M.K.H.; Bassin, J.P.; Kleerebezem, R.; van der Lans, R.G.J.M.; van Loosdrecht, M.C.M. Temperature and Salt Effects on Settling Velocity in Granular Sludge Technology. Water Res. 2012, 46, 5445–5451. [Google Scholar] [CrossRef]
- Gao, G.D.; Wang, X.; Song, D.; Bao, X.; Yin, B.; Yang, D.; Ding, Y.; Li, H.; Hou, F.; Ren, Z. Effects of wave–current interactions on suspended-sediment dynamics during strong wave events in Jiaozhou Bay, Qingdao, China. J. Phys. Oceanogr. 2018, 48, 1053–1078. [Google Scholar] [CrossRef]
- Yang, X. Study on Hourly Variation of Suspended Sediment Concentration in Coastal Waters of the East China Sea Based on GOCI and Numerical Simulation. Ph.D. Thesis, Shanghai Institute of Technical Physics, Chinese Academy of Sciences, Shanghai, China, 2016. [Google Scholar]
- Xie, J.; Feng, X.; Gao, T.; Wang, Z.; Wan, K.; Yin, B. Application of deep learning in predicting suspended sediment concentration: A case study in Jiaozhou Bay. Mar. Pollut. Bull. 2024, 201, 116255. [Google Scholar] [CrossRef] [PubMed]
- Chen, H.; Gao, X.; Yuan, R. Advances in Remote Sensing and Sensor Technologies for Water-Quality Monitoring: A Review. Water 2025, 17, 3000. [Google Scholar] [CrossRef]
- Li, A.; Yuan, Z.; Guo, Z.; Cheng, Z. A Remote Sensing Retrieval Method for River Water Turbidity Based on a Convolutional Neural Network. J. Geo-Inf. Sci. 2025, 27, 1305–1316. [Google Scholar]
- Sun, X.; Fu, Y.; Han, C.; Fan, Y.; Wang, T. An Inversion Method for Chlorophyll-a Concentration in Global Ocean Through Convolutional Neural Networks. Spectrosc. Spectr. Anal. 2023, 43, 608–613. [Google Scholar] [CrossRef]
- Zhang, H.; Zhou, X.; Tao, Z.; Lv, T.; Wang, J. Deep Learning-Based Turbidity Compensation for Ultraviolet-Visible Spectrum Correction in Monitoring Water Parameters. Front. Environ. Sci. 2022, 10, 986913. [Google Scholar] [CrossRef]
- Mu, J.; Wu, C.; Huang, S. Study on the evolution law of tidal flats in the Oufei Beach sea area of Wenzhou. In Proceedings of the 10th National Academic Symposium on Basic Theory of Sediment, Wuhan, China, 8–11 November 2017; China Water & Power Press: Beijing, China, 2017; pp. 607–611. [Google Scholar] [CrossRef]
- Sun, Y.; Zuo, J.; Zhang, H. Analysis of Variation Characteristics of Suspended Sediment Concentration in Wenzhou Oufei Beach Sea Area. Trans. Oceanol. Limnol. 2016, 3, 28–38. [Google Scholar] [CrossRef]
- Yang, Y.; He, S.; Gu, Y.; Zhu, C.; Wang, L.; Ma, X.; Li, P. Retrieval of Chlorophyll a Concentration Using GOCI Data in Sediment-Laden Turbid Waters of Hangzhou Bay and Adjacent Coastal Waters. J. Mar. Sci. Eng. 2023, 11, 1098. [Google Scholar] [CrossRef]
- He, X.; Bai, Y.; Pan, D.; Huang, N.; Dong, X.; Chen, J.; Chen, C.; Cui, Q. Using geostationary satellite ocean color data to map the diurnal dynamics of suspended particulate matter in coastal waters. Remote Sens. Environ. 2013, 133, 225–239. [Google Scholar] [CrossRef]
- Hu, C. An empirical approach to derive MODIS ocean color patterns under severe sun glint. Geophys. Res. Lett. 2011, 38, L01603. [Google Scholar] [CrossRef]
- Alvera-Azcárate, A.; Barth, A.; Rixen, M.; Beckers, J.M. Reconstruction of incomplete oceanographic data sets using empirical orthogonal functions: Application to the Adriatic Sea surface temperature. Ocean Model. 2005, 9, 325–346. [Google Scholar] [CrossRef]
- Cavalcante, G.H.; Feary, D.A.; Kjerfve, B. Effects of tidal range variability and local morphology on hydrodynamic behavior and salinity structure in the Caeté River Estuary, North Brazil. Int. J. Oceanogr. 2013, 2013, 850579. [Google Scholar] [CrossRef]
- Prairie, Y.T. Evaluating the predictive power of regression models. Can. J. Fish. Aquat. Sci. 1996, 53, 490–492. [Google Scholar] [CrossRef]
- Chen, H.; Lin, X.; Lin, X.Z. Application of Long Short-Term Memory neural network for optimization of numerical simulation results of storm surge. Mar. Forecast. 2024, 41, 1–9. [Google Scholar] [CrossRef]









| Data Type | Raw Data | Model Input Data | ||||||
|---|---|---|---|---|---|---|---|---|
| Temporal Resolution | Spatial Resolution | Data Source | Number of Scenes | Temporal Resolution | Spatial Resolution | Data Source | Number of Scenes | |
| Observed SSC | 1 h (00:00–07:00 UTC) | 500 m | GOCI | 1 | 1 h (00:00–07:00 UTC) | 0.005° | GOCI | 1 |
| Predicted SSC | 1 h (08:00–23:00 UTC) | / | / | / | 1 h (08:00–23:00 UTC) | 0.005° | U-Net | 1 |
| Wind Field | 1 h | 0.25° | ERA5 | 1 | 1 h | 0.005° | ERA5 | 1 |
| Flow Field | 1 h | <500 m | Delft3D | 1 | 15 min | 0.005° | Delft3D | 4 |
| Tidal Level | 1 h | <500 m | Delft3D | 1 | / | / | / | / |
| Tidal Level Difference | / | / | / | / | 1 h | 0.005° | Delft3D | 1 |
| Scheme | Input Combination | RMSE (mg/L) | MAPE (%) | SSIM |
|---|---|---|---|---|
| S1 | Wind field + Flow field | 39.56 | 22.31 | 0.61 |
| S2 | Wind field + Flow field + Tidal level | 22.43 | 11.48 | 0.77 |
| S3 | Wind field + Flow field + Tidal level difference | 20.33 | 10.82 | 0.82 |
| Prediction Horizon (h) | RMSE (mg/L) | MAPE (%) | SSIM |
|---|---|---|---|
| 1 | 20.33 | 10.82 | 0.82 |
| 2 | 28.57 | 11.15 | 0.79 |
| 3 | 34.35 | 11.57 | 0.73 |
| 4 | 37.61 | 14.24 | 0.69 |
| 8 | 41.05 | 21.14 | 0.63 |
| 16 | 45.57 | 32.27 | 0.57 |
| Average | 34.58 | 16.86 | 0.71 |
Disclaimer/Publisher’s Note: The statements, opinions and data contained in all publications are solely those of the individual author(s) and contributor(s) and not of MDPI and/or the editor(s). MDPI and/or the editor(s) disclaim responsibility for any injury to people or property resulting from any ideas, methods, instructions or products referred to in the content. |
© 2026 by the authors. Licensee MDPI, Basel, Switzerland. This article is an open access article distributed under the terms and conditions of the Creative Commons Attribution (CC BY) license.
Share and Cite
Zhang, M.; Chen, P.; Tao, B.; Zhou, X. U-Net-Based Daytime and Nighttime Prediction of Surface Suspended Sediment Concentrations in Wenzhou Coastal Waters. J. Mar. Sci. Eng. 2026, 14, 282. https://doi.org/10.3390/jmse14030282
Zhang M, Chen P, Tao B, Zhou X. U-Net-Based Daytime and Nighttime Prediction of Surface Suspended Sediment Concentrations in Wenzhou Coastal Waters. Journal of Marine Science and Engineering. 2026; 14(3):282. https://doi.org/10.3390/jmse14030282
Chicago/Turabian StyleZhang, Miao, Peixiong Chen, Bangyi Tao, and Xin Zhou. 2026. "U-Net-Based Daytime and Nighttime Prediction of Surface Suspended Sediment Concentrations in Wenzhou Coastal Waters" Journal of Marine Science and Engineering 14, no. 3: 282. https://doi.org/10.3390/jmse14030282
APA StyleZhang, M., Chen, P., Tao, B., & Zhou, X. (2026). U-Net-Based Daytime and Nighttime Prediction of Surface Suspended Sediment Concentrations in Wenzhou Coastal Waters. Journal of Marine Science and Engineering, 14(3), 282. https://doi.org/10.3390/jmse14030282
