Modeling of High-Precision Sea Surface Geomagnetic Field in the Northern South China Sea Based on PSO-BP Neural Network
Abstract
1. Introduction
2. Materials and Methods
2.1. Data
2.2. Methods
2.2.1. Taylor Polynomial
2.2.2. Legendre Polynomial
2.2.3. Traditional BPNN
2.2.4. Particle Swarm Optimization
- Initialize the particle swarm
- 2.
- Calculate the particle fitness value
- 3.
- Update the individual and group optimal positions of the particles
- 4.
- Updating Particle Position and Velocity
- 5.
- Determine the optimal position and training of the BPNN
3. Results
3.1. Model Assessment
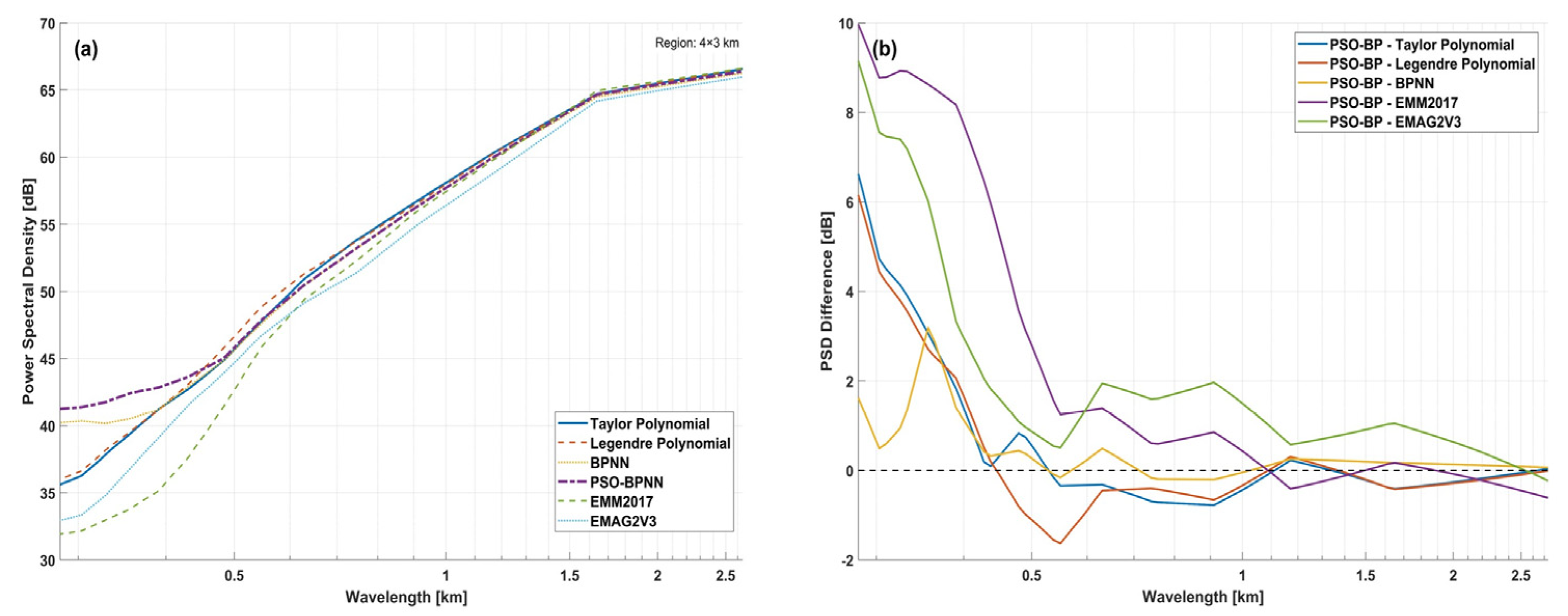
3.2. Comparison with Conventional Methods
3.3. Differences from Previous Models
4. Discussion
4.1. The Influence of Training Samples
4.2. Magnetic Field Characteristics in the Northern SCS
4.3. The Reliability Assessment of Model Details
5. Conclusions
Author Contributions
Funding
Data Availability Statement
Acknowledgments
Conflicts of Interest
Abbreviations
| BPNN | Back Propagation Neural Network |
| PSO | Particle Swarm Optimization |
| LP | Legendre Polynomial |
| TP | Taylor Polynomial |
| SVD | Singular Value Decomposition |
| ANNs | Artificial Neural Networks |
| NCEI | National Centers for Environmental Information |
| SCS | South China Sea |
| IGRF13 | International Geomagnetic Reference Field 13 |
| RMSE | Root Means Square Error |
| MAE | Mean Absolute Error |
| PSD | Power Spectral Density |
References
- Su, W. Magnetic Anomaly Data Detection of Local Marine Geomagnetic Field Model Considering Robust Trend Surface Scientific Calculation Algorithm. Sci. Program. 2022, 2022, 4055976. [Google Scholar] [CrossRef]
- Han, F.; Wang, H.; Lv, Y.; Paterson, G.A.; Biggin, A.J.; Williams, W.; Yang, T.; Miao, J.; Cao, T.; Zhu, D.; et al. Marine Magnetic Anomalies Enhanced by Internal Stress in Rapidly Cooled Submarine Basalts. Geophys. Res. Lett. 2025, 52, e2025GL115045. [Google Scholar] [CrossRef]
- Cai, Q.; Yang, G.; Song, N.; Yin, H.; Liu, Y. Analysis and Calibration of the Gyro Bias Caused by Geomagnetic Field in a Dual-Axis Rotational Inertial Navigation System. Meas. Sci. Technol. 2016, 27, 105001. [Google Scholar] [CrossRef]
- Ma, X.; Zhang, J.; Li, T. Geomagnetic Reference Map Super-Resolution Using Convolutional Neural Network. Meas. Sci. Technol. 2023, 35, 015014. [Google Scholar] [CrossRef]
- Xiong, Y.; Yang, G.; Wen, Z. A Method to Improve Underwater Positioning Reference Based on Topological Distribution Constraints of Multi-INSs. Appl. Sci. 2024, 14, 10206. [Google Scholar] [CrossRef]
- He, K.; Pan, Y. Magnetofossil Abundance and Diversity as Paleoenvironmental Proxies: A Case Study From Southwest Iberian Margin Sediments. Geophys. Res. Lett. 2020, 47, e2020GL087165. [Google Scholar] [CrossRef]
- He, K.; Zhao, X.; Jiang, Z.; Li, S. Paleoenvironmental Controls on the Abundances of Magnetofossils in the Southwestern Iberian Margin. J. Geophys. Res. Solid Earth 2024, 129, e2023JB027983. [Google Scholar] [CrossRef]
- Wu, S.; Thoram, S.; Sun, J.; Sager, W.W.; Chen, J. Characterizing Marine Magnetic Anomalies: A Machine Learning Approach to Advancing the Understanding of Oceanic Crust Formation. J. Geophys. Res. Solid Earth 2025, 130, e2024JB030682. [Google Scholar] [CrossRef]
- Erbek-Kiran, E.; Ates, A.; Dolmaz, M.N. Exploring the Crustal Structure of the Aegean Sea from Satellite Bouguer Gravity, Magnetic Data, and Seismological Data. Geo-Mar. Lett. 2025, 45, 12. [Google Scholar] [CrossRef]
- Alken, P.; Thébault, E.; Beggan, C.D.; Amit, H.; Aubert, J.; Baerenzung, J.; Bondar, T.N.; Brown, W.J.; Califf, S.; Chambodut, A.; et al. International Geomagnetic Reference Field: The Thirteenth Generation. Earth Planets Space 2021, 73, 49. [Google Scholar] [CrossRef]
- Finlay, C.C.; Kloss, C.; Olsen, N.; Hammer, M.D.; Tøffner-Clausen, L.; Grayver, A.; Kuvshinov, A. The CHAOS-7 Geomagnetic Field Model and Observed Changes in the South Atlantic Anomaly. Earth Planets Space 2020, 72, 156. [Google Scholar] [CrossRef] [PubMed]
- Sabaka, T.J.; Tøffner-Clausen, L.; Olsen, N.; Finlay, C.C. CM6: A Comprehensive Geomagnetic Field Model Derived from Both CHAMP and Swarm Satellite Observations. Earth Planets Space 2020, 72, 80. [Google Scholar] [CrossRef]
- Meyer, B.; Chulliat, A.; Saltus, R. Derivation and Error Analysis of the Earth Magnetic Anomaly Grid at 2 Arc Min Resolution Version 3 (EMAG2v3). Geochem. Geophys. Geosyst. 2017, 18, 4522–4537. [Google Scholar] [CrossRef]
- Oehler, J.-F.; Rouxel, D.; Lequentrec-Lalancette, M.-F. Comparison of Global Geomagnetic Field Models and Evaluation Using Marine Datasets in the North-Eastern Atlantic Ocean and Western Mediterranean Sea. Earth Planets Space 2018, 70, 99. [Google Scholar] [CrossRef]
- Sun, S.; Li, H.; Du, J.; Zhang, P.; Chen, C.; Liu, P. Revised Global Vertically Integrated Remanent Magnetization Model of the Oceanic Lithosphere with Comparison to LCS-1 Model and MSS-1 Magnetic Measurements. Earth Planet. Phys. 2025, 9, 653–666. [Google Scholar] [CrossRef]
- Zhang, J.; Feng, Y.; Zhang, P.; Lin, Y.; Li, X.; Huang, Y. A 100-Degree Lithospheric Magnetic Field Model Constructed Using MSS-1, Swarm-A, and CHAMP Satellite Data. Earth Planet. Phys. 2025, 9, 667–676. [Google Scholar] [CrossRef]
- Vujić, E.; Brkić, M.; Kovács, P. Regional Geomagnetic Field Model for Croatia at 2009.5. Acta Geophys. 2016, 64, 26–42. [Google Scholar] [CrossRef]
- Wang, Z.; Chen, B.; Yuan, J. Taylor Polynomial Model of the Geomagnetic Field in an Underground Gas Storage Area. Geomagn. Aeron. 2020, 60, 373–380. [Google Scholar] [CrossRef]
- Feng, Y.; Nasir, A.; Li, Y.; Zhang, J.; Zhang, J.; Huang, Y. The Study of the Lithospheric Magnetic Field over Xinjiang and Tibet Areas Based on Ground, Airborne, and Satellite Data. Remote Sens. 2023, 15, 2002. [Google Scholar] [CrossRef]
- Puente-Borque, M.; Pavón-Carrasco, F.J.; Núñez, A.; Tordesillas, J.M.; Campuzano, S.A. Regional Geomagnetic Core Field and Secular Variation Model over the Iberian Peninsula from 2014 to 2020 Based on the R-SCHA Technique. Earth Planets Space 2023, 75, 128. [Google Scholar] [CrossRef]
- Feng, Y.; Li, Y.; Zhang, J.; Liu, S.; Nasir, A.; Huang, Y. Study of the Geomagnetic Field’s Regional Gradients in Chinese Continent Using Three-Dimensional Surface Spline Model. Earth Planet. Phys. 2022, 7, 74–83. [Google Scholar] [CrossRef]
- Feng, Y.; Li, X.; Lin, Y.; Zhang, J.; Zhang, J.; Jiang, Y.; Yan, Q.; Liu, P. Utilising Macau Science Satellite-1 Data and Comprehensive Datasets to Develop a Lithospheric Magnetic Field Model of the Chinese Mainland. Remote Sens. 2025, 17, 1114. [Google Scholar] [CrossRef]
- Xia, L.; Qin, F.; Xu, W.; Li, K.; Zhu, T.; Han, Y. A Method for Super-Resolution Reconstruction of Marine Geomagnetic Anomaly Reference Maps Based on an Improved Generative Adversarial Network. J. Mar. Sci. Eng. 2025, 13, 2200. [Google Scholar] [CrossRef]
- Feng, Y.; Huang, Y.; Li, Y.; Zhang, J.; Liu, S. 3D Modeling of Different Areas of China Based on the 3D Surface Spline Model. Appl. Geophys. 2024, 21, 31–40. [Google Scholar] [CrossRef]
- Feng, Y.; Jiang, Y.; Jiang, Y.; Li, Z.; Jiang, J.; Liu, Z.-W.; Ye, M.-C.; Wang, H.-S.; Li, X.-M. Regional Magnetic Anomaly Fields: 3D Taylor Polynomial and Surface Spline Models. Appl. Geophys. 2016, 13, 59–68. [Google Scholar] [CrossRef]
- Feng, Y.; Sun, H.; Jiang, Y. Data Fitting and Modeling of Regional Geomagnetic Field. Appl. Geophys. 2015, 12, 303–316. [Google Scholar] [CrossRef]
- Wang, S.; Zhao, J.; Wu, Y. Study on Key Technologies of Construction of Marine Geomagnetic Filed Model Based on Polynomial Method. In Proceedings of the Oceans 2008, Quebec City, QC, Canada, 15–18 September 2008; Volume 1–4, pp. 807–811. [Google Scholar]
- Zhu, B.; Li, H.; Zhu, L.; Chen, C.; Wu, S. Improved High-Precision Regional Marine Geomagnetic Anomaly Field Model Using Legendre Polynomial Expansion. AIP Adv. 2024, 14, 125322. [Google Scholar] [CrossRef]
- Cesaroni, C.; Spogli, L.; Aragon-Angel, A.; Fiocca, M.; Dear, V.; Franceschi, G.D.; Romano, V. Neural Network Based Model for Global Total Electron Content Forecasting. J. Space Weather Space Clim. 2020, 10, 11. [Google Scholar] [CrossRef]
- Adolfs, M.; Hoque, M.M. A Neural Network-Based TEC Model Capable of Reproducing Nighttime Winter Anomaly. Remote Sens. 2021, 13, 4559. [Google Scholar] [CrossRef]
- Shi, S.; Zhang, K.; Shi, J.; Hu, A.; Zhao, D.; Shi, Z.; Sun, P.; Wu, H.; Wu, S. Modeling TEC Maps Over China Using Particle Swarm Optimization Neural Networks and Long-Term Ground-Based GPS, COSMIC, and Fengyun Data. Space Weather 2023, 21, e2022SW003357. [Google Scholar] [CrossRef]
- Wu, C.; Su, X.; Xu, C.; Jian, G.; Li, J. Seafloor Topography Refinement from Multisource Data Using Genetic Algorithm—Backpropagation Neural Network. Geophys. J. Int. 2024, 238, 1417–1428. [Google Scholar] [CrossRef]
- Sun, H.; Feng, Y.; Fu, Y.; Sun, W.; Peng, C.; Zhou, X.; Zhou, D. Bathymetric Prediction Using Multisource Gravity Data Derived From a Parallel Linked BP Neural Network. J. Geophys. Res. Solid Earth 2022, 127, e2022JB024428. [Google Scholar] [CrossRef]
- Shi, S.; Zhang, K.; Wu, S.; Shi, J.; Hu, A.; Wu, H.; Li, Y. An Investigation of Ionospheric TEC Prediction Maps Over China Using Bidirectional Long Short-Term Memory Method. Space Weather 2022, 20, e2022SW003103. [Google Scholar] [CrossRef]
- Ruwali, A.; Kumar, A.J.S.; Prakash, K.B.; Sivavaraprasad, G.; Ratnam, D.V. Implementation of Hybrid Deep Learning Model (LSTM-CNN) for Ionospheric TEC Forecasting Using GPS Data. IEEE Geosci. Remote Sens. Lett. 2021, 18, 1004–1008. [Google Scholar] [CrossRef]
- Chong, Y.; Chai, H.; Li, Y.; Yao, J.; Xiao, G.; Guo, Y. Automatic Recognition of Geomagnetic Suitability Areas for Path Planning of Autonomous Underwater Vehicle. Mar. Geod. 2021, 44, 287–305. [Google Scholar] [CrossRef]
- Zhu, Q.; Zhu, J.; Chen, X.; Jiao, Y.; Ding, X.; Liu, Z.; Li, S.; Liu, Y.; Qiu, X. Continuous Distribution Pattern and the Origin of the High-Velocity Layer in the Pearl River Mouth Basin in the Northern South China Sea: Constraints by Gravity Modelling. Geol. J. 2025, 60, 253–271. [Google Scholar] [CrossRef]
- Wu, Z.; Zhang, J.; Xu, M.; Li, H. Magnetic Anomaly Lineations in the Northeastern South China Sea and Their Implications for Initial Seafloor Spreading. Front. Earth Sci. 2023, 10, 1015856. [Google Scholar] [CrossRef]
- Zhao, F.; Wu, S.; Sun, Q.; Huuse, M.; Li, W.; Wang, Z. Submarine Volcanic Mounds in the Pearl River Mouth Basin, Northern South China Sea. Mar. Geol. 2014, 355, 162–172. [Google Scholar] [CrossRef]
- Doo, W.-B.; Huang, Y.-S. Causal Sources of the Significant High-Amplitude Magnetic Anomaly Zone in the Northern South China Sea Continental Margin. Mar. Pet. Geol. 2024, 170, 107128. [Google Scholar] [CrossRef]
- Ren, Y.; Guan, Y.; Sun, X.; Xu, L.; Xiao, Z.; Deng, Y.; He, W. Nano-Mineralogy and Growth Environment of Fe-Mn Polymetallic Crusts and Nodules from the South China Sea. Front. Mar. Sci. 2023, 10, 1141926. [Google Scholar] [CrossRef]
- Sager, W.W.; Huang, Y.; Tominaga, M.; Greene, J.A.; Nakanishi, M.; Zhang, J. Oceanic Plateau Formation by Seafloor Spreading Implied by Tamu Massif Magnetic Anomalies. Nat. Geosci. 2019, 12, 661–666. [Google Scholar] [CrossRef]
- Gao, G.; Li, Y.; Kang, G.; Bai, C.; Wen, L. Regional Seismicity of the Northeastern Tibetan Plateau Revealed by Crustal Magnetic Anomalies. Appl. Sci. 2025, 15, 4331. [Google Scholar] [CrossRef]
- Zhu, L.; Li, H.; Ouyang, J.; Zhu, B.; Chang, M. Regional Geomagnetic Field Modeling Based on Associated Legendre Polynomials. Appl. Sci. 2025, 15, 3555. [Google Scholar] [CrossRef]
- Zipser, D.; Andersen, R.A. A Back-Propagation Programmed Network That Simulates Response Properties of a Subset of Posterior Parietal Neurons. Nature 1988, 331, 679–684. [Google Scholar] [CrossRef]
- Nasimi, R.; Irani, R. Combining a Neural Network with a Genetic Algorithm and Particle Swarm Optimization for Permeability Estimation of the Reservoir. Energy Sources Part A Recovery Util. Environ. Eff. 2015, 37, 384–391. [Google Scholar] [CrossRef]
- Yang, L.; Chen, H. Fault Diagnosis of Gearbox Based on RBF-PF and Particle Swarm Optimization Wavelet Neural Network. Neural Comput. Applic 2019, 31, 4463–4478. [Google Scholar] [CrossRef]
- Wan, K.; Xia, S.; Cao, J.; Sun, J.; Xu, H. Deep Seismic Structure of the Northeastern South China Sea: Origin of a High-Velocity Layer in the Lower Crust. J. Geophys. Res. Solid Earth 2017, 122, 2831–2858. [Google Scholar] [CrossRef]








| Model (nT) | Mean | STD | MAE | MARE | RMSE |
|---|---|---|---|---|---|
| TP | −0.05 | 22.60 | 16.43 | 2.19 | 22.60 |
| LP | −0.09 | 21.49 | 15.37 | 2.00 | 21.49 |
| BPNN | 1.27 | 19.84 | 13.17 | 1.64 | 19.88 |
| PSO-BPNN | 0.65 | 18.05 | 12.27 | 1.48 | 18.05 |
| Model (nT) | Mean | STD | MAE | MARE | RMSE |
|---|---|---|---|---|---|
| TP | −4.93 | 40.78 | 32.31 | 5.95 | 41.06 |
| LP | −4.77 | 39.26 | 30.62 | 5.59 | 39.60 |
| BPNN | 6.55 | 39.71 | 30.95 | 4.54 | 40.24 |
| PSO-BPNN | 6.16 | 38.67 | 30.26 | 4.82 | 39.14 |
| Model (nT) | MEAN | STD | MAE | RMSE |
|---|---|---|---|---|
| TP | 0.08 | 21.29 | 15.79 | 21.29 |
| LP | 0.12 | 20.04 | 14.65 | 20.04 |
| BPNN | −1.43 | 19.78 | 13.34 | 19.83 |
| PSO-BPNN | −0.31 | 16.61 | 11.70 | 16.61 |
| Model (nT) | MEAN | MAE | STD | RMSE | MARE |
|---|---|---|---|---|---|
| EMAG2v3 | −31.65 | 43.11 | 43.18 | 53.53 | 3.19 |
| EMM2017 | −17.42 | 36.94 | 44.33 | 47.63 | 2.82 |
| BPNN | −4.72 | 17.95 | 28.45 | 28.84 | 1.57 |
| PSO-BPNN | −3.85 | 16.54 | 26.53 | 26.81 | 1.51 |
| Method (nT) | Training Sample | Fitting Error | Prediction Error |
|---|---|---|---|
| BPNN | S_SDATA | 14.80 | 84.49 |
| S_SDATA + EMM | 19.88 | 40.24 | |
| S_SDATA + EMAG | 19.54 | 42.87 | |
| S_SDATA + EMM + EMAG | 19.16 | 41.81 | |
| PSO-BPNN | S_SDATA | 14.97 | 83.97 |
| S_SDATA + EMM | 18.05 | 39.14 | |
| S_SDATA + EMAG | 19.22 | 44.26 | |
| S_SDATA + EMM + EMAG | 18.28 | 42.03 |
| Model (nT) | MARE | STD | MAE | RMSE |
|---|---|---|---|---|
| TP | 1.41 | 41.01 | 33.51 | 41.02 |
| LP | 1.25 | 36.58 | 29.49 | 36.56 |
| BPNN | 1.42 | 37.91 | 30.36 | 38.86 |
| PSO-BPNN | 1.36 | 34.60 | 27.12 | 35.07 |
Disclaimer/Publisher’s Note: The statements, opinions and data contained in all publications are solely those of the individual author(s) and contributor(s) and not of MDPI and/or the editor(s). MDPI and/or the editor(s) disclaim responsibility for any injury to people or property resulting from any ideas, methods, instructions or products referred to in the content. |
© 2026 by the authors. Licensee MDPI, Basel, Switzerland. This article is an open access article distributed under the terms and conditions of the Creative Commons Attribution (CC BY) license.
Share and Cite
Chen, H.; Wu, G.; Chen, H.; Xu, C.; Wu, C. Modeling of High-Precision Sea Surface Geomagnetic Field in the Northern South China Sea Based on PSO-BP Neural Network. J. Mar. Sci. Eng. 2026, 14, 108. https://doi.org/10.3390/jmse14010108
Chen H, Wu G, Chen H, Xu C, Wu C. Modeling of High-Precision Sea Surface Geomagnetic Field in the Northern South China Sea Based on PSO-BP Neural Network. Journal of Marine Science and Engineering. 2026; 14(1):108. https://doi.org/10.3390/jmse14010108
Chicago/Turabian StyleChen, Hongjie, Guiqian Wu, Haopeng Chen, Chuang Xu, and Chunhong Wu. 2026. "Modeling of High-Precision Sea Surface Geomagnetic Field in the Northern South China Sea Based on PSO-BP Neural Network" Journal of Marine Science and Engineering 14, no. 1: 108. https://doi.org/10.3390/jmse14010108
APA StyleChen, H., Wu, G., Chen, H., Xu, C., & Wu, C. (2026). Modeling of High-Precision Sea Surface Geomagnetic Field in the Northern South China Sea Based on PSO-BP Neural Network. Journal of Marine Science and Engineering, 14(1), 108. https://doi.org/10.3390/jmse14010108

