Multi-Disciplinary Design and Acoustic–Fluid Coupling Optimization of Acoustic Matching Structures for Underwater Gliders
Abstract
1. Introduction
2. Parametric Design Framework for Acoustic Matching Structures
2.1. Underwater Glider Model and Geometric Constraints
2.2. Governing Equations and Dominant Models
2.2.1. Fluid Governing Equations and Turbulence Model
2.2.2. Acoustic Governing Equation and Scattering Simulation
2.2.3. Flow-Induced Noise Prediction (Curle’s Equation)
2.2.4. Flow–Acoustic Coupling Strategy
2.3. Scattering Analysis Under Horizontal and Vertical Acoustic Incidence
2.3.1. Horizontal Incidence of a Plane Wave
2.3.2. Vertical Incidence of a Plane Wave
2.4. Myring Profile Parameter Optimization
2.4.1. Parametric Design Scheme
2.4.2. Parametric Analysis of Acoustic Performance
2.4.3. Flow Field Analysis
2.4.4. Structural Optimization Selection Based on Drag and Acoustic Performance
3. Acoustic Performance Verification
3.1. Pre- and Post-Optimization Computational Model Setup
3.1.1. Geometric Model and Computational Domain
3.1.2. Mesh Division and Parameter Settings
3.2. Analysis and Comparison of Hull Flow Noise
3.3. Comparative Analysis of Underwater Target Strength
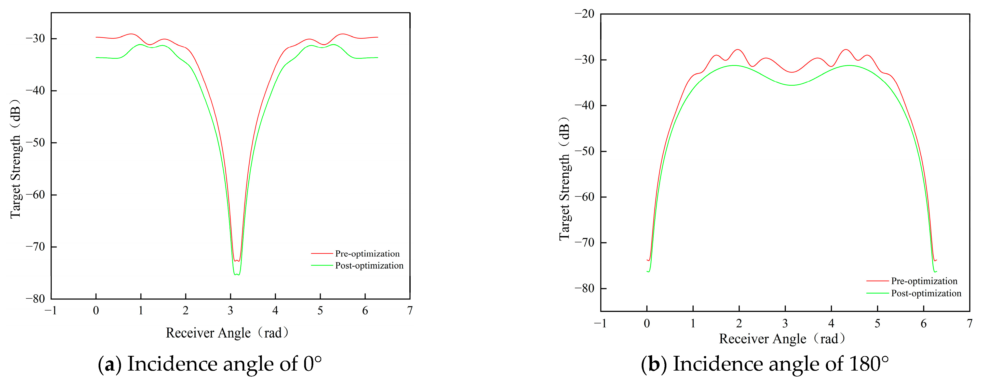
3.3.1. Analysis and Comparison of Azimuth Influence
Under Forward Incidence (0° and 180°)
Under Lateral Incidence (90°)
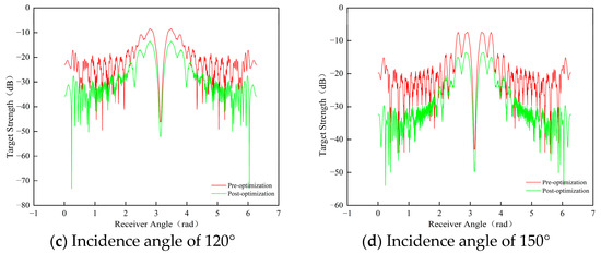
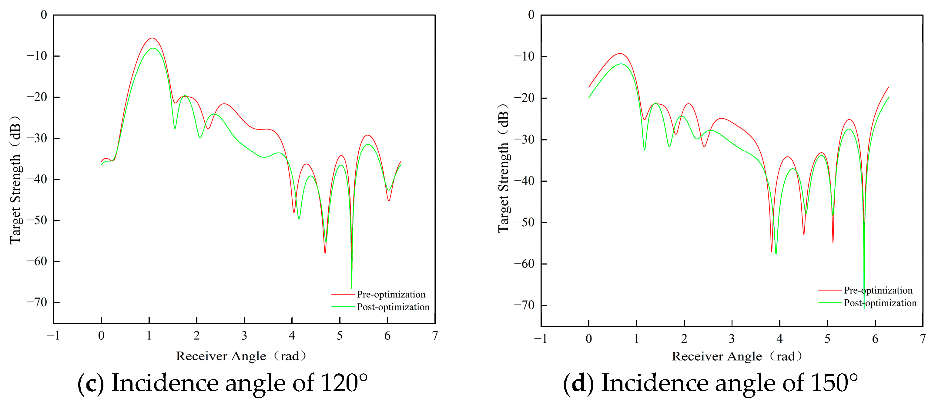
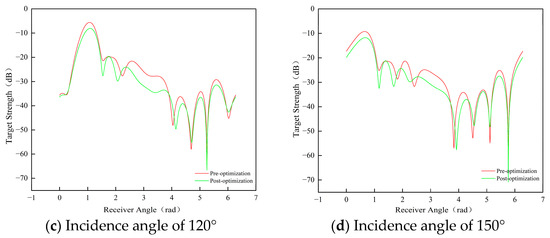
Within Transition Region (30°, 60°, 120°, and 150°)
3.3.2. Frequency Characteristic Analysis
Low-Frequency Range (200 Hz–400 Hz)
Mid-to-High-Frequency Range (4000 Hz–20,000 Hz)
4. Conclusions
- (1)
- Though a comparison of scattering behaviors for spherical, capsule-shaped, and ellipsoidal bodies under both horizontal and vertical acoustic incidence, it was found that the acoustic response of asymmetric geometries exhibits significant directional dependence. Under horizontal incidence, the ellipsoid exhibits an upward shift in characteristic frequency due to an optimized equivalent acoustic path length, resulting in a 4–6 dB reduction in scattered sound pressure level compared to the sphere. The capsule exhibits significant heterogeneity in acoustic energy distribution due to wave mode conversion caused by curvature discontinuities. Considering fluid drag characteristics, the ellipsoid configuration exhibits an integrated advantage in acoustic behavior and hydrodynamic streamlining, providing a basis for further Myring streamline optimization.
- (2)
- Based on the Mrying streamline equation, we construct a multi-dimensional design space defined by L/D ratios (1.8–1.875) and sharpness factors (n = 1–5). The influence of these parameters on coupled acoustic and flow performance is investigated via integrated CFD and BEM analyses. With an L/D ratio of 1.875 (total length of 450 mm) and a sharpness factor n = 2, the proposed design reduces the scattered sound pressure level by 1.8 dB at a 1 kHz horizontal incidence and the total drag coefficient by 14.2%. The results confirm the effectiveness of the normalized weighted comprehensive evaluation model and the analytic hierarchy process in optimizing the trade-off between acoustic stealth and hydrodynamic performance.
- (3)
- The post-optimized glider exhibits a reduction in total flow noise sound pressure level by 2.5 to 4.4 dB at speeds ranging from 1 to 3 m/s, accompanied by a transformation of the mid-longitudinal acoustic radiation directivity from a figure-of-eight to a more uniform distribution. The analysis of target strength reveals a 6 dB decrease in peak intensity at 1 kHz under 0° normal incidence and a 50% reduction in intensity fluctuation amplitude at 90° lateral incidence. Therefore, it is demonstrated that the conformal design significantly enhances omnidirectional stealth by suppressing flow separation and geometric discontinuities. It is important to note that the current experimental validation phase has focused on simulations assessing the impact of shape optimization on flow noise and target strength characteristics. To rigorously validate these simulated findings under real hydrodynamic conditions, the implementation of hydrophone array measurements on physical prototypes in controlled tank tests or open-water trials will be a critical focus of our subsequent experimental work.
Author Contributions
Funding
Data Availability Statement
Conflicts of Interest
References
- Davis, R.E.; Eriksen, C.C.; Jones, C.P. Autonomous buoyancy-driven underwater gliders. Technol. Appl. Auton. Underw. Veh. 2002, 28, 37–58. [Google Scholar]
- Merckelbach, L.M.; Briggs, R.D.; Smeed, D.A.; Griffiths, G. Current measurements from autonomous underwater gliders. In Proceedings of the 2008 IEEE/OES 9th Working Conference on Current Measurement Technology, Charleston, SC, USA, 17–19 March 2008; pp. 61–67. [Google Scholar] [CrossRef]
- Song, B.W.; Guang, P.; Yu, Y.; Ti, W.L.; Do, H.C. Development trend and key technologies of autonomous underwater vehicles. Chinese J. Ship Res. 2022, 17, 27–44. [Google Scholar] [CrossRef]
- Gu, H.T.; Li, Y.; Hu, Z.Q.; Yu, J.C. Surrogate Models Based optimization methods for the Design of Underwater Glider Wing. Mech. Eng. 2009, 45, 7–14. [Google Scholar] [CrossRef]
- Zhang, B.; Zhang, Y.W.; Li, W.Z.; Yang, W.G.; Fan, H. Experimental Study on Effect of Profile of Supercavitating Vehicle’s Front Part on Generation Speed of Cavity. J. Northwestern Polytech. Univ. 2008, 26, 540–544. [Google Scholar]
- Zhang, B.; Zhang, Y.W.; Sun, Z.Y.; Liu, J. Exploring Effect of Diameter Size of Supercavitation of Ventilation Device on Supercavitation Shape. J. Northwestern Polytech. Univ. 2010, 28, 834–839. [Google Scholar]
- Zheng, B.T. Numerical simulation on underwater vehicles of different head nose crossing through gas bubble. J. Ship Mech. 2015, 19, 757–764. [Google Scholar]
- Sun, C.; Song, B.; Wang, P. Parametric geometric model and shape optimization of an underwater glider with blended-wing-body. Int. J. Nav. Archit. Ocean Eng. 2015, 7, 995–1006. [Google Scholar] [CrossRef]
- Hou, D.; Wang, C.; Xia, W.; Li, Y.; Zhao, J. Experimental Investigation into the Cavity Shape and Pressure Characteristics of Supercavitating Vehicle with Elastic Trailing Edge. Acta Armamentarii 2020, 41, 534541. [Google Scholar] [CrossRef]
- Javaid, M.Y.; Ovinis, M.; Hashim, F.B.; Maimun, A.; Ahmed, Y.M.; Ullah, B. Effect of wing form on the hudrodynamic characteristics and dynamic stability of an underwater glider. Int. J. Nav. Archit. Ocean Eng. 2017, 9, 382–389. [Google Scholar] [CrossRef]
- Dai, P. Research on Multi-Objective Optimal Design of Three-Body Combined Autonomous Underwater Vehicle Based on Parameterization; South China University of Technology: Beijing, China, 2020. [Google Scholar] [CrossRef]
- Zhao, Y.H.; Li, B.R.; Gao, L. Optimal Configuration for Underwater Glider Hydrodynamic Performance. J. Wuhan Univ. Technol. (Transp. Sci. Eng.) 2016, 40, 505–508+513. [Google Scholar]
- Zheng, G. Studies of the resistance optimization of underwater vehicle based on multiple-speed approximate model. In Proceedings of the MATEC Web of Conferences, EDP Sciences, Tianjin, China, 13 March 2019; Volume 272, p. 01029. [Google Scholar]
- Jiang, Y.; Zhao, Y.; Xiong, J.; Yang, Y.; Zhang, G. Comprehensive influence of underwater vehicle hull shape on resistance and flow noise. J. Harbin Eng. Univ. 2022, 43. [Google Scholar] [CrossRef]
- Min, Z. Optimizing and Kinetic Study of Underwater Glider; Zhejiang University: Zhejiang, China, 2007. [Google Scholar]
- Huang, F.; Meng, Q.; Cao, L.; Wan, D. Wakes and free surface signatures of a generic submarine in the homogeneous and linearly stratified fluid. Ocean. Eng. 2022, 250, 111062. [Google Scholar] [CrossRef]
- Ma, J.; Lan, F.X.; You, H. Research on biomimetic shape design and drag numerical prediction of high-speed UUV. Appl. Sci. Technol. 2024, 51, 158–165. [Google Scholar] [CrossRef]
- Lungu, A. A DES-based study of the flow around the self-propelled DARPA Suboff working in deep immersion and beneath the free-surface. Ocean. Eng. 2022, 244, 110358. [Google Scholar] [CrossRef]
- Wu, Q.Y.; Liu, F. Hydrodynamics of Hybrid–Driven Underwater Vehicle at AUV Mode. Comput. Simul. 2013, 30, 311–314. [Google Scholar]
- Yang, C.; Arcondoulis, E.J.; Yang, Y.; Guo, J.; Maryami, R.; Bi, C.; Liu, Y. Active control of airfoil turbulent boundary layer noise with trailing-edge blowing. J. Acoust. Soc. Am. 2023, 153, 2115. [Google Scholar] [CrossRef] [PubMed]
- Trembois, N.P.; Jacobellis, G. Broadband Noise Prediction from Leading Edge Turbulence Quantities. J. Test. Eval. 2023, 44, 1–9. [Google Scholar]


























| Physical Parameter | Symbol | Value |
|---|---|---|
| Radius of the sphere | R | 0.12 m |
| Radius of the capsule | r | 0.12 m |
| Length of the cylindrical section of the capsule | L | 0.3 m |
| Semi-major axis (a) of the ellipsoid | A | 0.3 m |
| Semi-minor axis (b) of the ellipsoid | B | 0.12 m |
| Length of the Forward Fairing (mm) | Overall Length (mm) | L/D Ratio |
|---|---|---|
| 432 | 2967 | 1.8 |
| 438 | 2973 | 1.825 |
| 444 | 2979 | 1.85 |
| 450 | 2985 | 1.875 |
| Weight Combination (wd,ws) | Drag Coefficient Change | SPL Change | Comprehensive Score F | Suitability Analysis |
|---|---|---|---|---|
| (0.7, 0.3) | Reduction 14.9% | +0.9 dB | 0.712 | Extreme low-drag demand, but insufficient acoustics (SPL < threshold by 1.5 dB) |
| (0.5, 0.5) | Reduction 11.2% | +1.5 dB | 0.683 | Balanced but suboptimal potential utilization |
| (0.633, 0.367) | Reduction 14.2% | +1.8 dB | 0.701 | Optimal trade-off: long endurance (drag ↓ > 14%) + Sonar detection (SPL ≥ threshold) |
| (0.3, 0.7) | Reduction 8.1% | +2.4 dB | 0.659 | High acoustic performance but inadequate drag optimization (endurance loss > 10%) |
| Parameters | Values |
|---|---|
| Density () | |
| Dynamic viscosity () | |
| Speed of sound () | |
| Reference sound pressure () | |
| Specific heat at constant pressure () | |
| Specific heat at constant volume () |
| Speed (m/s) | OSPL (dB) | |
|---|---|---|
| Pre-Optimization | Post-Optimization | |
| 1 | 87.129 | 84.436 |
| 2 | 89.122 | 85.978 |
| 3 | 93.736 | 89.344 |
| Parameters | Values |
|---|---|
| Depth (m) | 100 |
| Sound speed in water (m/s) | 1500 |
| Distance from source (m) | 100 |
| Characteristic length before optimization (m) | 4.5 |
| Characteristic length after optimization (m) | 4.2 |
Disclaimer/Publisher’s Note: The statements, opinions and data contained in all publications are solely those of the individual author(s) and contributor(s) and not of MDPI and/or the editor(s). MDPI and/or the editor(s) disclaim responsibility for any injury to people or property resulting from any ideas, methods, instructions or products referred to in the content. |
© 2025 by the authors. Licensee MDPI, Basel, Switzerland. This article is an open access article distributed under the terms and conditions of the Creative Commons Attribution (CC BY) license (https://creativecommons.org/licenses/by/4.0/).
Share and Cite
Zhang, L.; Chen, B.; Li, P.; Zhou, S.; Sun, Q. Multi-Disciplinary Design and Acoustic–Fluid Coupling Optimization of Acoustic Matching Structures for Underwater Gliders. J. Mar. Sci. Eng. 2025, 13, 1794. https://doi.org/10.3390/jmse13091794
Zhang L, Chen B, Li P, Zhou S, Sun Q. Multi-Disciplinary Design and Acoustic–Fluid Coupling Optimization of Acoustic Matching Structures for Underwater Gliders. Journal of Marine Science and Engineering. 2025; 13(9):1794. https://doi.org/10.3390/jmse13091794
Chicago/Turabian StyleZhang, Lin, Bowen Chen, Pengfei Li, Shuzeng Zhou, and Qindong Sun. 2025. "Multi-Disciplinary Design and Acoustic–Fluid Coupling Optimization of Acoustic Matching Structures for Underwater Gliders" Journal of Marine Science and Engineering 13, no. 9: 1794. https://doi.org/10.3390/jmse13091794
APA StyleZhang, L., Chen, B., Li, P., Zhou, S., & Sun, Q. (2025). Multi-Disciplinary Design and Acoustic–Fluid Coupling Optimization of Acoustic Matching Structures for Underwater Gliders. Journal of Marine Science and Engineering, 13(9), 1794. https://doi.org/10.3390/jmse13091794
