Research on Draft Control Optimization of Ship Passing a Lock Based on CFD Method
Abstract
1. Introduction
2. Numerical Methods and Study Outlines
2.1. Numerical Methods
2.2. Studied Ships and Computational Cases
2.3. Validation of Numerical Methods
3. Results Analyses
3.1. Ship in Open Shallow Water Conditions
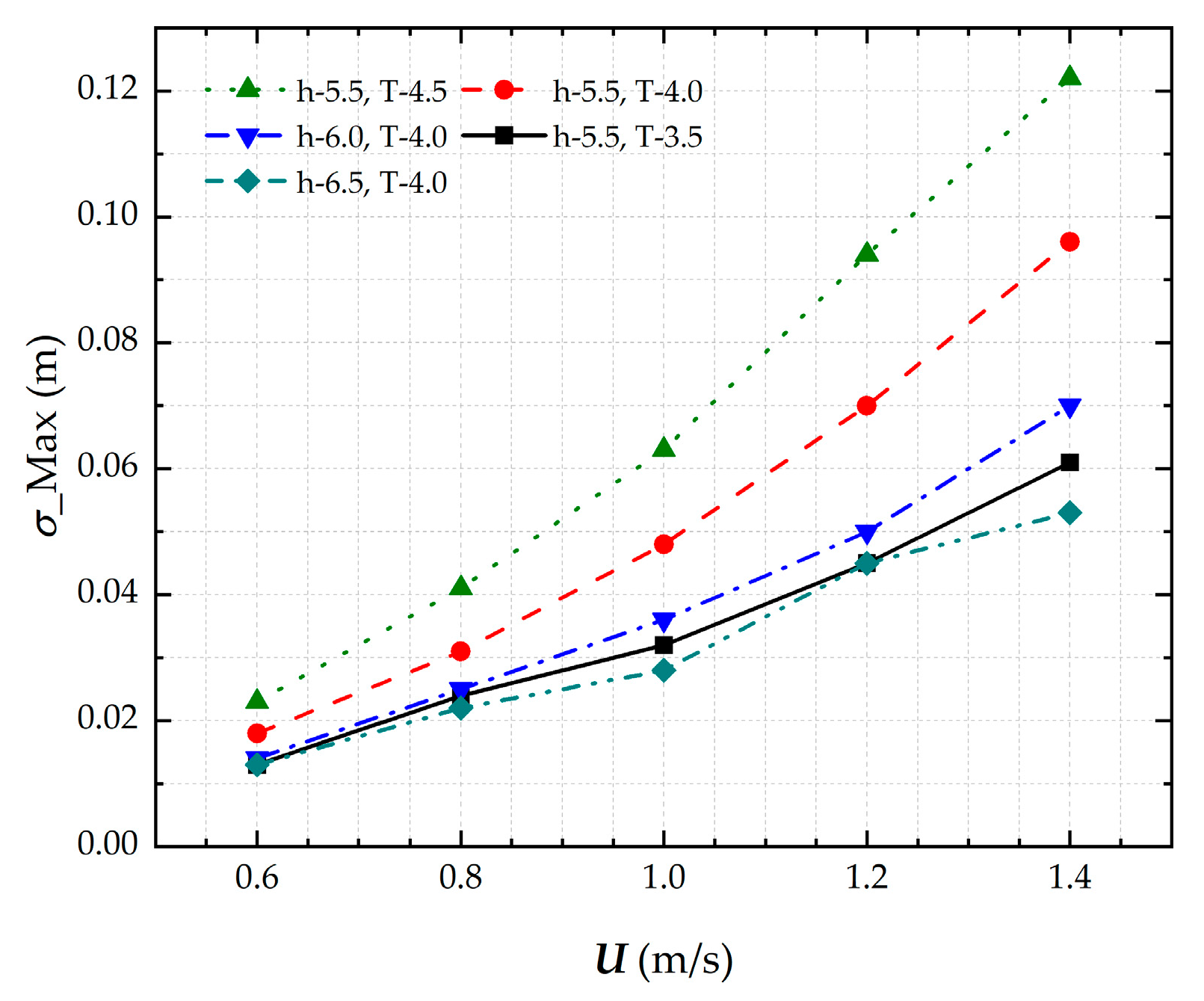
3.1.1. Effects of Velocity
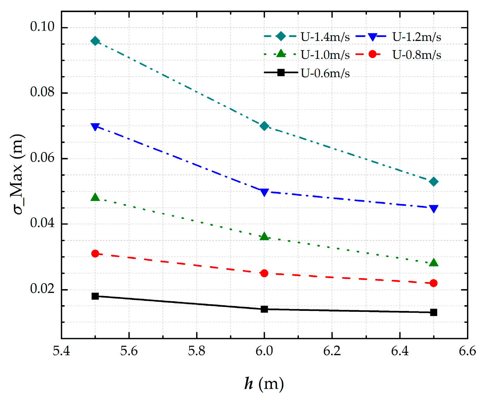
3.1.2. Effects of Water Depth
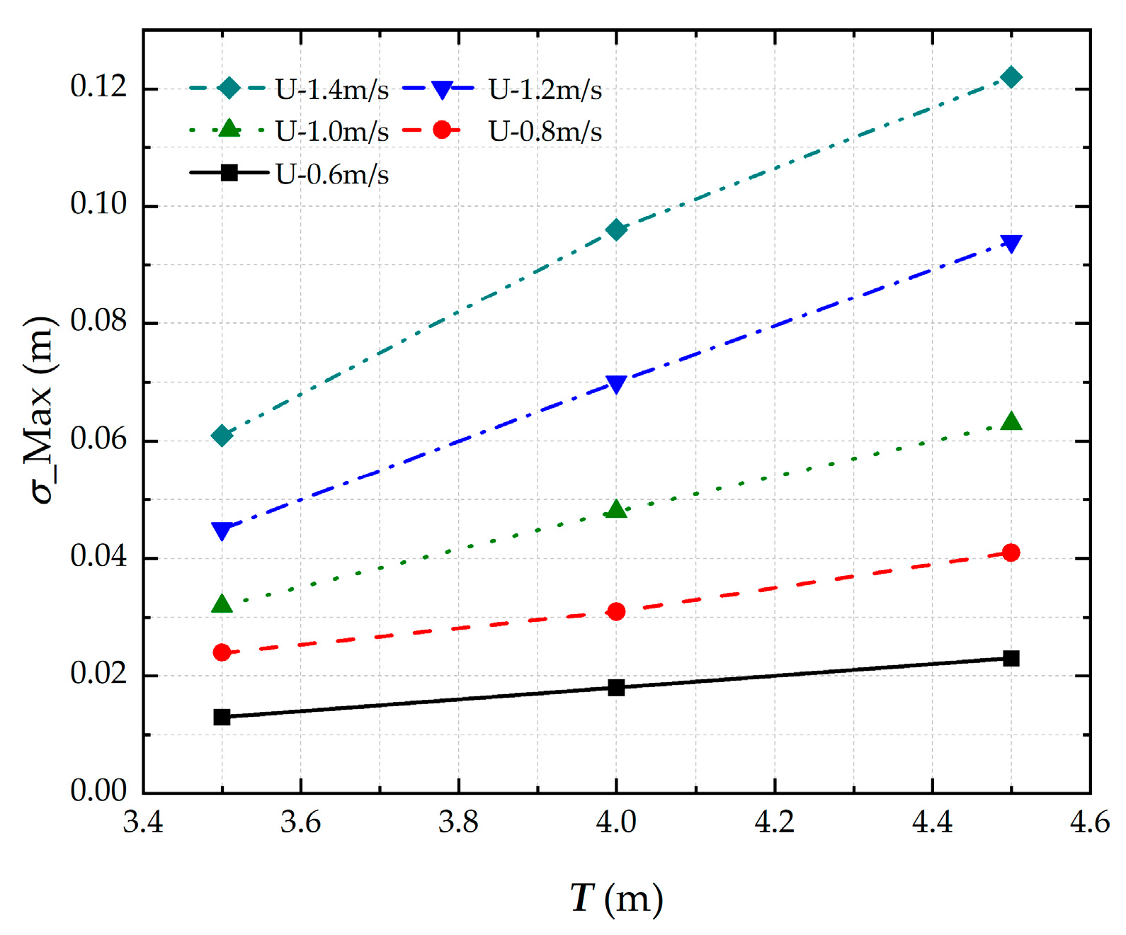
3.1.3. Effects of Ship Draft
3.1.4. Development of Flow Field Around Ship Hull
3.2. Ship in Lockage Conditions
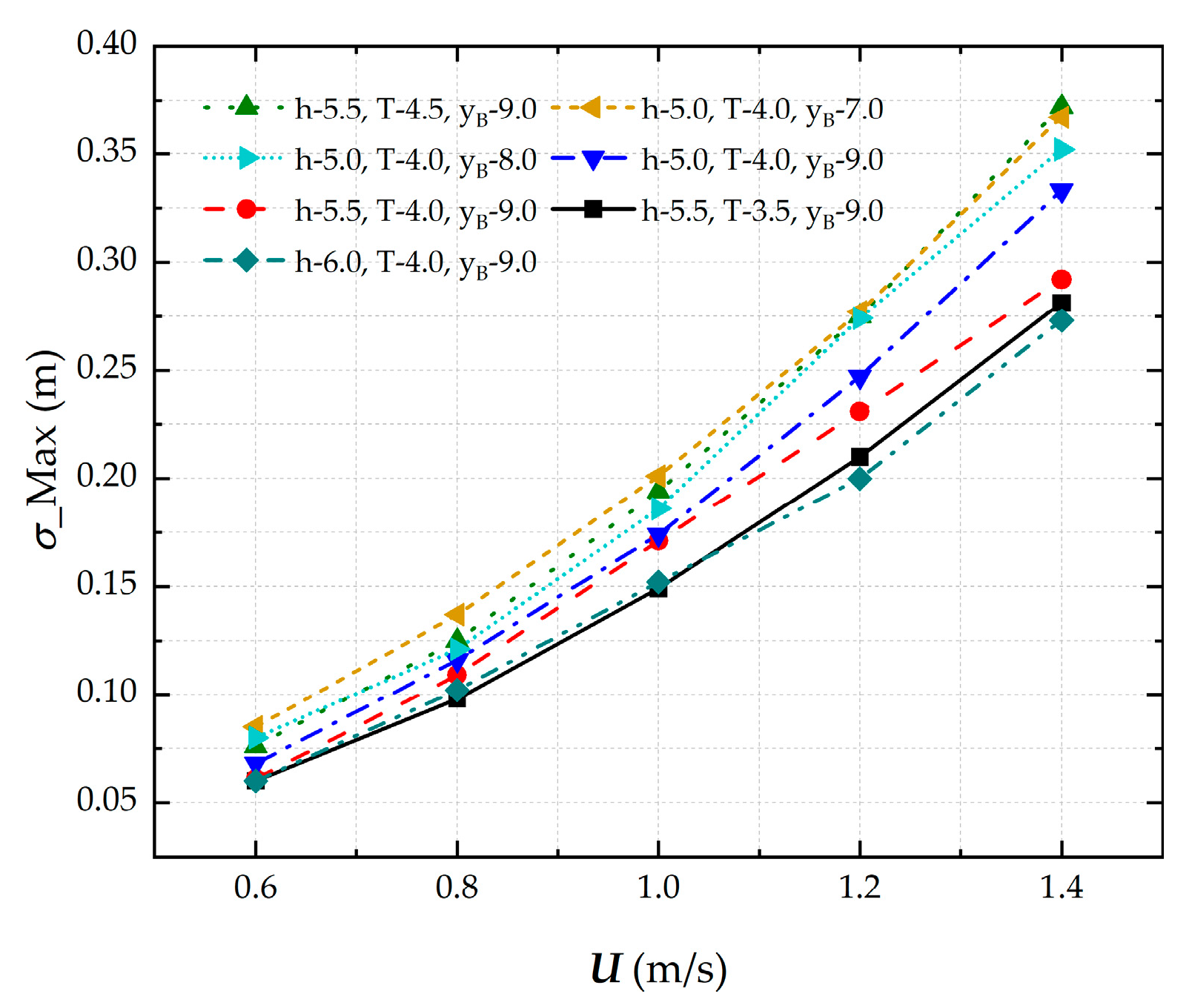
3.2.1. Effects of Velocity
3.2.2. Effects of Water Depth and Ship Draft
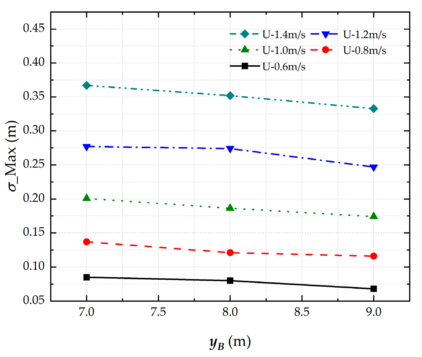
3.2.3. Effects of Bank Clearance
3.2.4. Development of Flow Field Around Ship Hull
4. Ship Sinkage Prediction and Draft Control Optimization
4.1. Ship Sinkage Prediction Model
4.2. Ship Draft Control Optimization
- (1)
- In period I and III, a minimum lock sill water depth of 5.25 m is guaranteed under all possible upper and lower pool level combinations.
- (2)
- The Yangtze River flood season occurs in period II, as the upper pool level higher than 146 m, the minimum lock sill water depth should be controlled at 5.5 m; as the upper pool level lower than 146 m, or the lower pool level lower than 64 m, the minimum lock sill water depth is lower than 5.5 m, and the allowable ship draft should be constrained to 4.0 m.
- (3)
- In period IV, as the lower pool level is lower than 64 m, the minimum lock sill water depth is lower than 6.0 m, and the allowable ship draft should be optimized from 4.5 m to 4.3 m, or 4.0 m.
4.3. Limitation and Discussion
5. Conclusions
Author Contributions
Funding
Data Availability Statement
Conflicts of Interest
References
- Zhao, X.; Lin, Q.; Yu, H. A co-scheduling problem of ship lift and ship lock at the Three Gorges Dam. IEEE Access 2020, 8, 132893–132910. [Google Scholar] [CrossRef]
- Tuck, E.O. Hydrodynamic problems of ships in restricted waters. Annu. Rev. Fluid Mech. 1978, 10, 33–46. [Google Scholar] [CrossRef]
- Wang, X.; Sun, Z. Influencing factors of ship draught control standard based on prototype test of ship lift. J. Waterw. Harb. 2020, 41, 578–584. [Google Scholar]
- Tan, Z.; Zhang, Q.; Liu, Z. Study on vessel draft in Three Gorges Lock. Navig. China 2017, 40, 69–72. [Google Scholar]
- Serban, P.S.; Panaitescu, V.N. Comparison between formulas of maximum ship squat. Sci. Bull. Nav. Acad. 2016, 19, 105–111. [Google Scholar] [CrossRef]
- Pilot, C. Ship Squat; An Analysis of Two Approximation Formulas Using the Physics of Hydrodynamic Flow. In Proceedings of the 8th IAMU Conference 2007, Odessa, Ukraine, 17–19 September 2007; Available online: https://www.researchgate.net/publication/325261187_Ship_Squat_An_Analysis_of_Two_Approximation_Formulas_Using_the_Physics_of_Hydrodynamic_Flow_published_under_Pilot_C_2007_Ship_Squat_An_Analysis_of_Two_Approximation_Formulas_Using_the_Physics_of_Hydro (accessed on 12 January 2025).
- Almström, B.; Larson, M. Measurements and analysis of primary ship waves in the Stockholm Archipelago, Sweden. J. Mar. Sci. Eng. 2020, 8, 743. [Google Scholar] [CrossRef]
- Verwilligen, J.; Eloot, K.; Mansuy, M.; Vantorre, M. Full-scale measurements of vertical motions on ultra large container vessels in Scheldt estuary. Ocean. Eng. 2019, 188, 106264. [Google Scholar] [CrossRef]
- Delefortrie, G.; Sotelo, M.; Boucetta, D. Practical squat assessment for a ship manoeuvring in muddy environments. Appl. Ocean. Res. 2022, 123, 103181. [Google Scholar] [CrossRef]
- Ma, X.; Yu, Y.; Xi, F. Numerical calculation of ship squat in shallow water. J. Dalian Marit. Univ. 2021, 47, 20–25. [Google Scholar]
- Li, L.; Liu, D.; Yin, J.; Dai, R. Determination on safety water depth of VLCC open waters route from Laotieshan to Changxing Island. J. Shanghai Marit. Univ. 2016, 37, 1–6. [Google Scholar]
- Wu, W.; Liu, Z.; Liu, J.; Li, H. Calculation and analysis of sinkage on 400,000t ore carrier in restricted waterways. J. Wuhan Univ. Technol. (Transp. Sci. Eng.) 2020, 44, 722–727. [Google Scholar]
- Jachowski, J. Assessment of ship squat in shallow water using CFD. Arch. Civ. Mech. Eng. 2008, 8, 27–36. [Google Scholar] [CrossRef]
- Yuan, S. Numerical Prediction of Motion and Hydrodynamic Forces for A Ship Advancing in Regular Head Waves in Shallow Water. Ph.D. Thesis, Shanghai Jiaotong University, Shanghai, China, 2020. [Google Scholar]
- Miao, J.; Wu, J.; Li, X.; Wang, Y. Study on navigation subsidence of inland river ships in restricted channel. China Sci. 2021, 16, 902–905. [Google Scholar]
- Elsherbiny, K. Experimental and Numerical Analysis of the Squat and Resistance of Ships Advancing Through the New Suez Canal. Ph.D. Thesis, University of Strathclyde, Glasgow, UK, 2020. [Google Scholar]
- Kaidi, S.; Lefrançois, E.; Smaoui, H. Numerical modelling of the muddy layer effect on ship’s resistance and squat. Ocean. Eng. 2020, 199, 106939. [Google Scholar] [CrossRef]
- Debaillon, P. Numerical Investigation to Predict Ship Squat. J. Ship Res. 2010, 54, 133–140. [Google Scholar] [CrossRef]
- Flow-3D User Manual, (v 10.1); Flow Sciences: Leland, NC, USA, 2012.
- US Navy Combatant, DTMB 5415. Available online: http://www.simman2008.dk/5415/combatant.html (accessed on 12 January 2025).
- ITTC-Recommended Procedures and Guidelines; ITTC Quality System Manual-Recommended Procedures and Guidelines–Sloshing Model Tank; International Towing Tank Conference: Zürich, Switzerland, 2017.














| Studied Ship | Scale Ratio (λ) | Loa (m) * | B (m) * | T (m) |
|---|---|---|---|---|
| Verification Study | ||||
| DTMB-5415 | Full-scale (1.0) | 142.00 | 19.06 | 6.15 |
| Model-scale (24.82) | 5.72 | 0.77 | 0.25 | |
| Series Calculation | ||||
| 5000 t cargo ship | Full-scale (1.0) | 90.60 | 16.00 | 4.50 |
| ID | U (m/s) | yB (m) | h (m) | T (m) | h/T (-) |
|---|---|---|---|---|---|
| 1 | 2.1 | / | 2.0 | 0.25 | / |
| 2–26 | 0.6–1.4 (with interval 0.2) | / | 5.5–6.5 (with interval 0.5) | 3.5–4.5 (with interval 0.5) | 1.22–1.625 |
| 27–61 | 0.6–1.4 (with interval 0.2) | 7.0–9.0 (with interval 1.0) | 5.0–6.0 (with interval 0.5) | 3.5–4.5 (with interval 0.5) | 1.22–1.570 |
| Boundaries | Relative Distance (Loa) | Boundary Conditions |
|---|---|---|
| Inlet | 1.0 Loa from bow section | Velocity inlet |
| Outlet | 4.0 Loa from stern section | Outflow |
| Side-1 | 0.0 | Symmetry plane |
| Side-2 | 1.0 Loa from the mid-ship section | Wall |
| Bottom | 0.5 Loa from the free-surface | Wall |
| Top | 0.1 Loa from the free-surface | Specific pressure |
| Mesh Density | Fp (N) * | Fs (N) * | Ft (N) * | |||
|---|---|---|---|---|---|---|
| Magnitude | Error (%) | Magnitude | Error (%) | Magnitude | Error (%) | |
| S1 | 14.02 | 2.77 | 30.25 | 1.72 | 44.27 | 2.06 |
| S2 | 13.28 | 4.30 | 29.69 | 3.54 | 43.49 | 4.40 |
| S3 | 12.12 | 15.95 | 29.01 | 4.45 | 41.53 | 7.50 |
| EFD | 14.42 | 30.78 | 45.20 | |||
| RG | 0.77 (Mon.) | 0.82 (Mon.) | 0.40 (Mon.) | |||
| a0 | a1 | a2 | a3 |
|---|---|---|---|
| 1.001 | −0.908 | 1.048 | −3.300 |
| k0 | k1 | k2 | k3 | k4 |
|---|---|---|---|---|
| 4.191 | −0.764 | 2.246 | −2.230 | 0.434 |
| Minimum Lock Sill Water Depth (hL) =5.0 m, Ship Breadth (B) = 16.0 m, Bank Clearance (yB) = 9.0 m, Ship Speed (U) = 1.0 m/s. | ||
| T (m) | σ (m) | h (m) |
| 3.9 | 0.393 | 4.793 |
| 4.0 | 0.405 | 4.905 |
| 4.1 | 0.417 | 5.017 |
| 4.2 | 0.429 | 5.129 |
| hL = 5.25 m, B = 16.0 m, yB = 9.0 m, U = 1.0 m/s. | ||
| 4.1 | 0.399 | 4.999 |
| 4.2 | 0.410 | 5.110 |
| 4.3 | 0.422 | 5.222 |
| 4.4 | 0.434 | 5.334 |
| hL = 5.5 m, B = 16.0 m, yB = 9.0 m, U = 1.0 m/s. | ||
| 4.3 | 0.404 | 5.204 |
| 4.4 | 0.415 | 5.315 |
| 4.5 | 0.427 | 5.427 |
| 4.6 | 0.438 | 5.538 |
| hL = 6.0 m, B = 16.0 m, yB = 9.0 m, U = 1.0 m/s. | ||
| 4.8 | 0.425 | 5.725 |
| 4.9 | 0.436 | 5.836 |
| 5.0 | 0.446 | 5.946 |
| 5.1 | 0.457 | 6.057 |
| 5.2 | 0.468 | 6.168 |
| hL (m) | U (m/s) | yB (m) | Draft Control Standard (m) | h/T (-) |
|---|---|---|---|---|
| 5.0 | 1.0 | 9.0 | 4.0 | 1.2 |
| 5.25 | 1.0 | 9.0 | 4.3 | 1.22 |
| 5.5 | 1.0 | 9.0 | 4.5 | 1.22 |
| 6.0 | 1.0 | 9.0 | 5.0 | 1.2 |
Disclaimer/Publisher’s Note: The statements, opinions and data contained in all publications are solely those of the individual author(s) and contributor(s) and not of MDPI and/or the editor(s). MDPI and/or the editor(s) disclaim responsibility for any injury to people or property resulting from any ideas, methods, instructions or products referred to in the content. |
© 2025 by the authors. Licensee MDPI, Basel, Switzerland. This article is an open access article distributed under the terms and conditions of the Creative Commons Attribution (CC BY) license (https://creativecommons.org/licenses/by/4.0/).
Share and Cite
Zhuang, Y.; Ding, Y.; Liu, J.; Zhang, S. Research on Draft Control Optimization of Ship Passing a Lock Based on CFD Method. J. Mar. Sci. Eng. 2025, 13, 1406. https://doi.org/10.3390/jmse13081406
Zhuang Y, Ding Y, Liu J, Zhang S. Research on Draft Control Optimization of Ship Passing a Lock Based on CFD Method. Journal of Marine Science and Engineering. 2025; 13(8):1406. https://doi.org/10.3390/jmse13081406
Chicago/Turabian StyleZhuang, Yuan, Yu Ding, Jialun Liu, and Song Zhang. 2025. "Research on Draft Control Optimization of Ship Passing a Lock Based on CFD Method" Journal of Marine Science and Engineering 13, no. 8: 1406. https://doi.org/10.3390/jmse13081406
APA StyleZhuang, Y., Ding, Y., Liu, J., & Zhang, S. (2025). Research on Draft Control Optimization of Ship Passing a Lock Based on CFD Method. Journal of Marine Science and Engineering, 13(8), 1406. https://doi.org/10.3390/jmse13081406

