Assessing Chlorophyll-a Variability and Its Relationship with Decadal Climate Patterns in the Arabian Sea
Abstract
1. Introduction
2. Materials and Methods
2.1. Study Area
2.2. Remote Sensing Observation Data
2.3. PDO and AMO
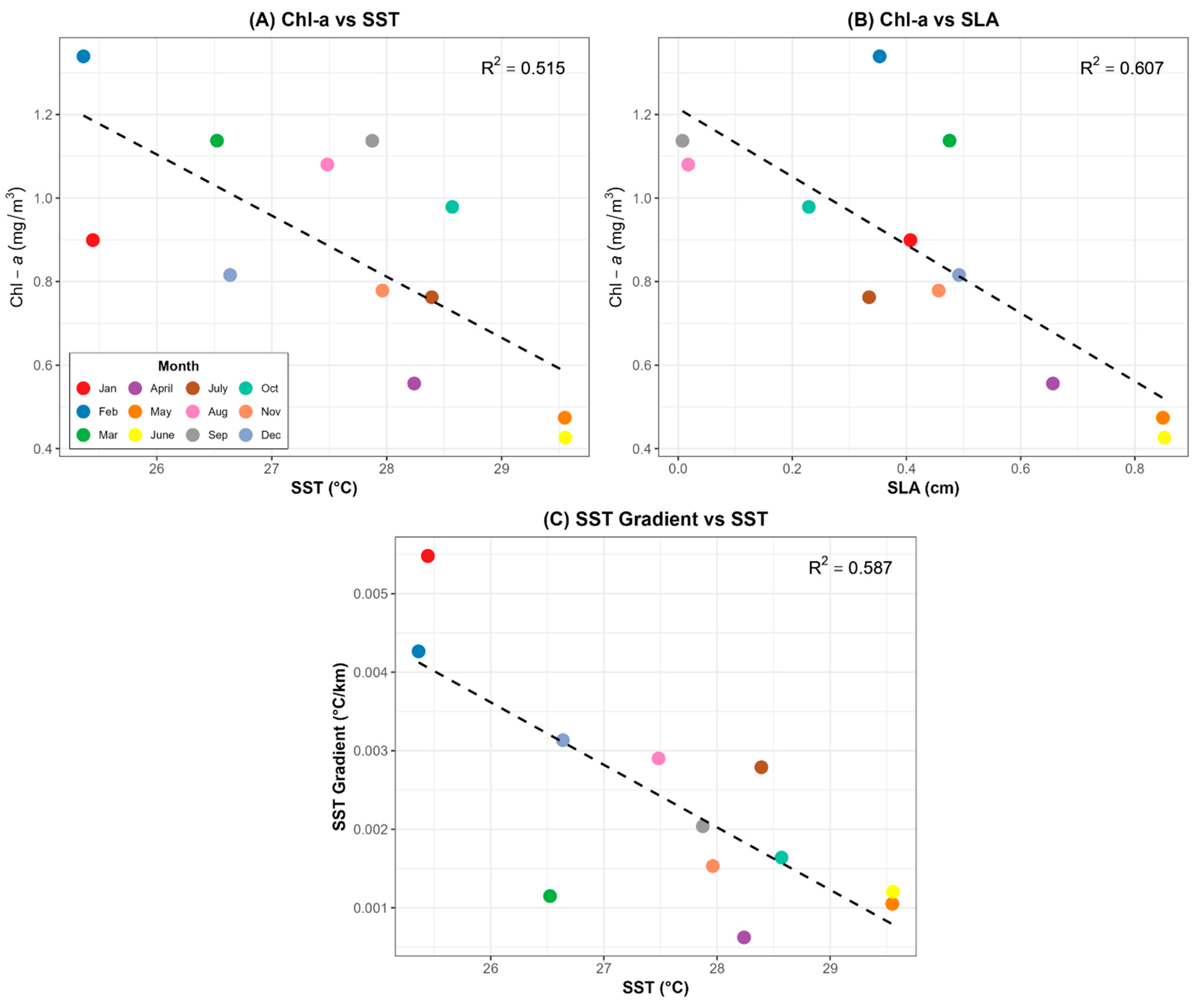
3. Results
3.1. Decadal Variations in SST and SST GM
3.2. Decadal Climatological Variations of Chl-a
3.3. Decadal Variability of the SLA
3.4. PDO and AMO Indices
4. Discussion
5. Conclusions
Supplementary Materials
Author Contributions
Funding
Data Availability Statement
Acknowledgments
Conflicts of Interest
References
- Arteaga, L.; Pahlow, M.; Oschlies, A. Global patterns of phytoplankton nutrient and light colimitation inferred from an optimality-based model. Glob. Biogeochem. Cycles 2014, 28, 648–661. [Google Scholar] [CrossRef]
- Boyer, T.P.; Baranova, O.K.; Coleman, C.; Garcia, H.E.; Grodsky, A.; Locarnini, R.A.; Mishonov, A.V.; Paver, C.R.; Reagan, J.R.; Seidov, D.; et al. World Ocean Database 2018; Mishonov, A.V., Ed.; NOAA Atlas NESDIS: Silver Spring, AR, USA, 2018; p. 87. [Google Scholar]
- Balaguru, K.; Foltz, G.R.; Leung, L.R.; Emanuel, K.A. Global warming-induced upper-ocean freshening and the intensification of super typhoons. Nat. Commun. 2016, 7, 13670. [Google Scholar] [CrossRef]
- Bryndum-Buchholz, A.; Tittensor, D.P.; Blanchard, J.L.; Cheung, W.W.L.; Coll, M.; Galbraith, E.D.; Jennings, S.; Maury, O.; Lotze, H.K. Twenty-first-century climate change impacts on marine animal biomass and ecosystem structure across ocean basins. Glob. Change Biol. 2019, 25, 459–472. [Google Scholar] [CrossRef] [PubMed]
- Kalhoro, M.A.; Ye, H.; Liu, C.; Zhu, L.; Liang, Z.; Tang, D. Impact of sea surface temperature fronts on the spatial distribution of jellyfish in the northern Arabian sea. Estuar. Coast. Shelf Sci. 2025, 312, 109033. [Google Scholar] [CrossRef]
- Colwell, R.R. Global climate and infectious disease: The cholera paradigm. Science 1996, 274, 2025–2031. [Google Scholar] [CrossRef]
- Harvell, C.; Burkholder, K.J.; Colwell, R.; Epstein, P.R.; Grimes, D.; Hofmann, E.; Lipp, E.; Osterhaus, A.; Overstreet, R.M. Emerging marine diseases—Climate links and anthropogenic factors. Science 1999, 285, 1505–1510. [Google Scholar] [CrossRef]
- Lee, P.F.; Chen, I.C.; Tzeng, W.N. Spatial and temporal distribution patterns of bigeye tuna (Thunnus obesus) in the Indian Ocean. Zool. Stud. Taipei 2005, 44, 260–270. [Google Scholar]
- Myers, R.A.; Worm, B. Rapid worldwide depletion of predatory fish communities. Nature 2003, 423, 280–283. [Google Scholar] [CrossRef]
- Roxy, M.K.; Modi, A.; Murtugudde, R.; Valsala, V.; Panickal, S.; PrasannaKumar, S.; Ravichandran, M.; Vichi, M.; Lévy, M. A reduction in marine primary productivity driven by rapid warming over the tropical Indian Ocean. Geophys. Res. Lett. 2016, 43, 826–833. [Google Scholar] [CrossRef]
- Kalhoro, M.A.; Qun, L.; Zhu, L.; Zhaoyang, J.; Liang, Z. Assessing Fishing Capacity of Two Tuna Fish Species Using Different Time-Series Data in Pakistan, Northern Arabian Sea. Estuar. Coast. Shelf Sci. 2024, 299, 108692. [Google Scholar] [CrossRef]
- Breitburg, D.; Levin, L.A.; Oschlies, A.; Grégoire, M.; Chavez, F.P.; Conley, D.J.; Garçon, V.; Gilbert, D.; Gutiérrez, D.; Isensee, K.; et al. Declining oxygen in the global ocean and coastal waters. Science 2018, 359, eaam7240. [Google Scholar] [CrossRef] [PubMed]
- Bristow, L.A.; Callbeck, C.M.; Larsen, M.; Altabet, M.; Dekaezemacker, J.; Forth, M.; Canfiled, D.E. N2 production rates limited by nitrite availability in the Bay of Bengal oxygen minimum zone. Nat. Geosci. 2017, 10, 24–29. [Google Scholar] [CrossRef]
- Brown, C.J.; Fulton, E.A.; Hobday, A.J.; Matear, R.J.; Possingham, H.P.; Bulman, C.; Christensen, V.; Forrest, R.E.; Gehrke, P.C.; Gribble, N.A.; et al. Effects of climate-driven primary production change on marine food webs: Implications for fisheries and conservation. Glob. Change Biol. 2010, 16, 1194–1212. [Google Scholar] [CrossRef]
- Blix, K.; Li, J.; Massicotte, P.; Matsuoka, A. Developing a New Machine-Learning Algorithm for Estimating Chlorophyll-a Concentration in Optically Complex Waters: A Case Study for High Northern Latitude Waters by Using Sentinel 3 OLCI. Remote Sens. 2019, 11, 2076. [Google Scholar] [CrossRef]
- Chen, B.; Liu, H. Relationships between phytoplankton growth and cell size in surface oceans: Interactive effects of temperature, nutrients, and grazing. Limnol. Oceanogr. 2010, 55, 965–972. [Google Scholar] [CrossRef]
- Chen, S.; Smith, W.O.; Yu, X. Revisiting the Ocean Color Algorithms for Particulate Organic Carbon and Chlorophyll-a Concentrations in the Ross Sea. J. Geophys. Res. Ocean. 2021, 126, e2021JC017749. [Google Scholar] [CrossRef]
- Harding, L.W., Jr.; Mallonee, M.E.; Perry, E.S. Toward a Predictive Understanding of Primary Productivity in a Temperate, Partially Stratified Estuary. Estuar. Coast. Shelf Sci. 2002, 55, 437–463. [Google Scholar] [CrossRef]
- Chen, S.; Meng, Y. Phytoplankton Blooms Expanding Further Than Previously Thought in the Ross Sea: A Remote Sensing Perspective. Remote Sens. 2022, 14, 3263. [Google Scholar] [CrossRef]
- Liu, P.; Sui, C.H. An observational analysis of the oceanic and atmospheric structure of global-scale multi-decadal variability. Adv. Atmos. Sci. 2014, 31, 316–330. [Google Scholar] [CrossRef]
- Bjerknes, J. Atlantic air-sea interaction. Adv. Geophys. 1964, 10, 1–82. [Google Scholar]
- Folland, C.K.; Parker, D.E. Observed Variations of Sea Surface Temperature; Springer: Dordrecht, The Netherlands, 1990; pp. 21–52. [Google Scholar]
- Chen, X.; Tung, K.K. Global surface warming enhanced by weak Atlantic overturning circulation. Nature 2018, 559, 387–391. [Google Scholar] [CrossRef] [PubMed]
- England, M.H.; Mcgregor, S.; Spence, P.; Meehl, G.A.; Timmermann, A.; Cai, W.; Gupta, A.S.; McPhaden, M.J.; Purich, A.; Santoso, A. Recent intensification of wind-driven circulation in the Pacific and the ongoing warming hiatus. Nat. Clim. Change 2014, 4, 222–227. [Google Scholar] [CrossRef]
- Wu, S.; Liu, Z.Y.; Cheng, J.; Li, C. Response of North Pacific and North Atlantic decadal variability to weak global warming. Adv. Clim. Change Res. 2018, 9, 95–101. [Google Scholar] [CrossRef]
- Martinez, E.; Antoine, D.; D’Ortenzio, F.; Gentili, B. Climate-driven basin-scale decadal oscillations of oceanic phytoplankton. Science 2009, 326, 1253–1256. [Google Scholar] [CrossRef]
- Si, D.; Ding, Y. Oceanic forcings of the interdecadal variability in East Asian summer rainfall. J. Clim. 2016, 29, 7633–7649. [Google Scholar] [CrossRef]
- Geng, T.; Yang, Y.; Wu, L.X. On the mechanisms of Pacific Decadal Oscillation modulation in a warming climate. J. Clim. 2019, 32, 1443–1459. [Google Scholar] [CrossRef]
- Zhang, G.; Zeng, G.; Li, C.; Yang, X. Impact of PDO and AMO on interdecadal variability in extreme high temperatures in North China over the most recent 40-year period. Clim. Dyn. 2020, 54, 3003–3020. [Google Scholar] [CrossRef]
- Hao, X.; He, S.; Wang, H. Asymmetry in the response of central Eurasian winter temperature to AMO. Clim. Dyn. 2016, 47, 2139–2154. [Google Scholar] [CrossRef]
- Martiorena, S.; Siegel, D.A.; Peterson, A. Optimization of a semi-analytical ocean color model for global scale applications. Appl. Opt. 2002, 41, 2705–2714. [Google Scholar] [CrossRef]
- Hu, C.; Lee, Z.; Franz, B. Chlorophyll-a algorithm for oligotrophic oceans: A novel approach based on three-band reflectance difference. J. Geophys. Res. 2012, 117, C01011. [Google Scholar]
- Brickley, P.J.; Thomas, A.C. Satellite-measured seasonal and inter-annual chlorophyll variability in the Northeast Pacific and Coastal Gulf of Alaska. Deep-Sea Res. 2004, 51, 229–245. [Google Scholar] [CrossRef]
- Li, Y.; He, R. Spatial and temporal variability of SST and ocean color in the Gulf of Maine based on cloud-free SST and chlorophyll reconstructions in 2003–2012. Remote Sens. Environ. 2014, 144, 98–108. [Google Scholar] [CrossRef]
- Ning, J.; Chen, K.; Gaube, P. Diverse variability of surface chlorophyll during the evolution of gulf stream rings. Geophys. Res. Lett. 2021, 48, e2020GL091461. [Google Scholar] [CrossRef]
- Legaard, K.R.; Thomas, A.C. Spatial patterns in seasonal and interannual variability of chlorophyll and sea surface temperature in the California Current. J. Geophys. Res. 2006, 111, C06032. [Google Scholar] [CrossRef]
- Philippart, C.J.M.; Van-Iperen, J.M.; Cadee, G.C.; Zuur, A.F. Long-term field observations on seasonality in chlorophyll-a concentrations in a shallow coastal marine ecosystem, the Wadden Sea. Estuar. Coasts 2010, 33, 286–294. [Google Scholar] [CrossRef]
- Liu, D.; Chen, C.; Gong, J.; Fu, D. Remote sensing of chlorophyll-a concentrations of the Pearl River Estuary from MODIS land bands. Int. J. Remote Sens. 2010, 31, 4625–4633. [Google Scholar] [CrossRef]
- Liu, X.; Wang, J.; Cheng, X.; Du, Y. Abnormal upwelling and chlorophyll-a concentration off South Vietnam in summer 2007. J. Geophys. Res. 2012, 117, C07021. [Google Scholar] [CrossRef]
- Mercado, J.M.; Ramírez, T.; Cortés, D.; Sebastián, M.; Reul, A.; Bautista, B. Diurnal changes in the bio-optical properties of the phytoplankton in the Alborán Sea (Mediterranean Sea). Estuar. Coast. Shelf. Sci. 2006, 69, 459–470. [Google Scholar] [CrossRef]
- Holm-Hansen, O.; Naganobu, M.; Kawaguchi, S.; Kameda, T.; Krasovski, I.; Tchernyshkov, P.; Priddle, J.; Korb, R.; Brandon, M.; Demer, D.; et al. Factors influencing the distribution, biomass, and productivity of phytoplankton in the Scotia Sea and adjoining waters. Deep. Sea Res. Part II 2004, 51, 1333–1350. [Google Scholar] [CrossRef]
- Signorini, S.R.; Franz, B.A.; McClain, C.R. Chlorophyll variability in the oligotrophic gyres: Mechanisms, seasonality and trends. Front. Mar. Sci. 2015, 2, 1. [Google Scholar] [CrossRef]
- Hoegh-Guldberg, O.; Cai, R.; Poloczanska, E.S.; Brewer, P.G.; Sundby, S.; Hilmi, K.; Fabry, V.J.; Jung, S.; Skirving, W.; Stone, D.A.; et al. Chapter 30—The Ocean. In Climate Change, 2014: Impacts, Adaptation, and Vulnerability. Part B: Regional Aspects; Cambridge University Press: Cambridge, UK, 2014; pp. 1655–1731. Available online: https://hdl.handle.net/10037/6969 (accessed on 14 May 2024).
- Sun, C.; Li, J.; Kucharski, F.; Kang, I.S.; Jin, F.F.; Wang, K.; Wang, C.; Ding, R.; Xie, F. Recent acceleration of Arabian Sea warming induced by the Atlantic-western Pacific trans-basin multidecadal variability. Geophys. Res. Lett. 2019, 46, 1662–1671. [Google Scholar] [CrossRef]
- Valsala, V.; Murtugudde, R. Mesoscale and intraseasonal air-sea CO2 exchanges in the western Arabian Sea during boreal summer. Deep Res. Part I Oceanogr. Res. Pap. 2015, 103, 101–113. [Google Scholar] [CrossRef]
- Johns, W.E.; Yao, F.; Olson, D.B.; Josey, S.A.; Grist, J.P.; Smeed, D.A. Observations of seasonal exchange through the Straits of Hormuz and the inferred heat and freshwater budgets of the Persian Gulf. J. Geophys. Res. 2003, 108, 3391. [Google Scholar] [CrossRef]
- Parvaresh, A.; Hassanzadeh, S.; Bordbar, M.H. Statistical analysis of wave parameters in the north coast of the Persian Gulf. Ann. Geophys. 2005, 23, 2031–2038. [Google Scholar] [CrossRef][Green Version]
- Madhupratap, M.; Kumar, S.P.; Bhattathiri, P.M.A.; Kumar, M.D.; Raghukumar, S.; Nair, K.K.C.; Ramaiah, N. Mechanism of the biological response to winter cooling in the Northeastern Arabian Sea. Nature 1996, 384, 549–552. [Google Scholar] [CrossRef]
- Shetye, S.R.; Gouveia, A.D.; Shenoi, S.S.C. Circulation and water masses of the Arabian Sea. In Biogeochemistry of the Arabian Sea; Lal, D., Ed.; Indian Academy of Sciences: New Delhi, India, 1994; pp. 9–25. [Google Scholar]
- Böhm, E.; Morrison, J.; Manghnani, V.; Kim, H.S.; Flagg, C. The Ras Al Hadd Jet: Remotely sensed and acoustic Doppler current profiler observations in 1994–1995. Deep Sea Res. Part II Top. Stud. Oceanogr. 1999, 46, 1531–1549. [Google Scholar] [CrossRef]
- Lee, C.M.; Jones, B.H.; Brink, K.H.; Fischer, A.S. The upper-ocean response to monsoonal forcing in the Arabian Sea: Seasonal and spatial variability. Deep Res. Part II Top. Stud. Oceanogr. 2000, 47, 1177–1226. [Google Scholar] [CrossRef]
- Sanaullah, S.; Yang, D.; Zhong, R.; Zhao, L.; Shafi, M.; Akbar, A.J. Mangrove dynamics in Pakistan: A long-term study of coastal ecosystem shifts over more than three decades. Ecol. Indic. 2025, 174, 113452. [Google Scholar] [CrossRef]
- Kalhoro, M.A.; Chinta, V.; de Mutsert, K.; Song, G.; Liu, C.; Tahir, M.; Liang, Z. Impact of tropical cyclone Biparjoy on oceanic parameters in the Arabian Sea. Mar. Pollut. Bull. 2024, 208, 117046. [Google Scholar] [CrossRef]
- Good, S.; Fiedler, E.; Mao, C.; Martin, M.J.; Maycock, A.; Reid, R.; Roberts-Jones, J.; Searle, T.; Waters, J.; While, J.; et al. The current configuration of the OSTIA system for operational production of foundation sea surface temperature and ice concentration analyses. Remote Sens. 2020, 12, 720. [Google Scholar] [CrossRef]
- Emery, W.J.; Thomson, R.E. Data Analysis Methods in Physical Oceanography; Elsevier Science: Amsterdam, The Netherlands, 2014. [Google Scholar]
- Beckers, J.M.; Rixen, M. EOF calculations and data filling from incomplete oceanographic datasets. J. Atmos. Ocean. Technol. 2003, 20, 1839–1856. [Google Scholar] [CrossRef]
- Belkin, I.M.; O’Reilly, J.E. An algorithm for oceanic front detection in chlorophyll and SST satellite imagery. J. Mar. Syst. 2009, 78, 319–326. [Google Scholar] [CrossRef]
- Jing, Z.; Qi, Y.; Du, Y.; Zhang, S.; Xie, L. Summer upwelling and thermal fronts in the northwestern South China Sea: Observational analysis of two mesoscale mapping surveys. J. Geophys. Res. Ocean. 2015, 120, 1993–2006. [Google Scholar] [CrossRef]
- Lao, Q.; Liu, S.; Ling, Z.; Jin, G.; Chen, F.; Chen, C.; Zhu, Q. External dynamic mechanisms controlling the periodic offshore blooms in Beibu Gulf. J. Geophys. Res. Ocean. 2023, 128, e2023JC019689. [Google Scholar] [CrossRef]
- Zhang, Y.; Wallace, J.M.; Battisti, D.S. ENSO-like Interdecadal Variability: 1900–93. J. Clim. 1997, 10, 1004–1020. [Google Scholar] [CrossRef]
- Wiggert, J.; Hood, R.; Banse, K.; Kindle, J. Monsoon-driven biogeochemical processes in the Arabian Sea. Prog. Oceanogr. 2005, 65, 176–213. [Google Scholar] [CrossRef]
- Behrenfeld, M.J.; O’Malley, R.T.; Siegel, D.A.; McClain, C.R.; Sarmiento, J.L.; Feldman, G.C.; Milligan, A.J.; Falkowski, P.G.; Letelier, R.M.; Boss, E.S. Climate-driven trends in contemporary ocean productivity. Nature 2006, 444, 752–755. [Google Scholar] [CrossRef] [PubMed]
- Espinosa-Carreon, T.L.; Strub, P.T.; Beier, E.; Ocampo-Torres, F.; Gaxiola-Castro, G. Seasonal and interannual variability of satellite derived chlorophyll pigment, surface height, and temperature off Baja California. J. Geophys. Res. 2004, 109, C03039. [Google Scholar] [CrossRef]
- Le, C.; Hu, C.; Cannizzaro, J.; English, D.; Kovach, C. Climate-driven chlorophyll a changes in a turbid estuary: Observation from satellites and implications for management. Remote Sens. Environ. 2013, 130, 11–24. [Google Scholar] [CrossRef]
- Peter, B.N.; Sreejith, M.; Siswanto, E. Variability of Arabian Sea surface circulation and chlorophyll distribution: A remote sensing estimation. Terr. Atmos. Ocean. Sci. 2022, 33, 22. [Google Scholar] [CrossRef]
- Greer, A.T.; Cowen, R.K.; Guigand, C.M.; Hare, J.A. Fine-scale planktonic habitat partitioning at a shelf-slope front revealed by a high-resolution imaging system. J. Mar. Syst. 2015, 142, 111–125. [Google Scholar] [CrossRef]
- Polikarpov, I.; Saburova, M.; Al-Yamani, F. Diversity and distribution of winter phytoplankton in the Arabian Gulf and the sea of Oman. Cont. Shelf Research 2016, 119, 85–99. [Google Scholar] [CrossRef]
- Yang, M.; Khan, F.A.; Tian, H.; Liu, Q. Analysis of the Monthly and Spring-Neap Tidal Variability of Satellite Chlorophyll-a and Total Suspended Matter in a Turbid Coastal Ocean Using the DINEOF Method. Remote Sens. 2021, 13, 632. [Google Scholar] [CrossRef]
- Tang, D.L.; Kawamura, H.; Luis, A.J. Short-term variability of Phytoplankton blooms associated with a cold eddy in the northeastern Arabian Sea. Remote Sens. Environ. 2002, 81, 82–89. [Google Scholar] [CrossRef]
- Tang, D.L.; Kawamura, H.; Lee, M.A.; Dien, T.V. Seasonal and spatial distribution of chlorophyll-a concentrations and water conditions in the Gulf of Tonkin, South China Sea. Remote Sens. Environ. 2003, 85, 475–483. [Google Scholar] [CrossRef]
- Yi, Y.; Xing, X.; Liu, H.; Yuana, Y.; Wanga, Y.; Chai, F. The variability of chlorophyll-a and its relationship with dynamic factors in the basin of the South China Sea. J. Mar. Syst. 2019, 200, 103230. [Google Scholar] [CrossRef]
- Tang, S.; Dong, Q.; Liu, F. Climate-driven chlorophyll-a concentration interannual variability in the South China Sea. Theor. Appl. Climatol. 2011, 103, 229–237. [Google Scholar] [CrossRef]
- Boyce, D.G.; Dowd, M.; Lewis, M.R.; Worm, B. Estimating global chlorophyll changes over the past century. Prog. Oceanogr. 2014, 122, 163–173. [Google Scholar] [CrossRef]
- Prakash, P.; Prakash, S.; Rahaman, H.; Ravichandran, M.; Nayak, S. Is the trend in chlorophyll-a in the Arabian Sea decreasing? Geophys. Res. Lett. 2012, 39, L23605. [Google Scholar] [CrossRef]
- Dey, S.; Singh, R.P. Comparison of chlorophyll distributions in the northeastern Arabian Sea and southern Bay of Bengal using IRS-P4 Ocean Color Monitor data. Remote Sens. Environ. 2003, 85, 424–428. [Google Scholar] [CrossRef]
- Shanthi, R.; Poornima, D.; Raja, K.; Sarangi, R.K.; Saravanakumar, A.; Thangaradjou, T. Inter-annual and seasonal variations in hydrological parameters and its implications on chlorophyll a distribution along the southwest coast of Bay of Bengal. Acta Oceanol. Sin. 2015, 34, 94–100. [Google Scholar] [CrossRef]
- Devi, K.N.; Sarangi, R.K. Monitoring of monthly scale chlorophyll concentration variability in the Bay of Bengal and Arabian Sea using MODIS Aqua Satellite Data. J. Geomat. 2023, 17, 1–10. [Google Scholar] [CrossRef]
- Zhao, N.; Zhang, G.; Zhang, S.; Bai, Y.; Ali, S.; Zhang, J. Temporal-spatial distribution of chlorophyll-a and impacts of environmental factors in the Bohai sea and yellow sea. IEEE Access 2019, 7, 160947–160960. [Google Scholar] [CrossRef]
- Zhu, Q.; He, X.; Pan, D.; Fang, G.; Frouin, R.J.; Yoo, H.R.; Won, J.-S.; Feng, A. Climatology and long-time change of the sea surface temperature and chlorophyll concentration in East China Seas. In Proceedings of the Remote Sensing of the Coastal Ocean, Land, and Atmosphere Environment, Incheon, Republic of Korea, 11–14 October 2010; p. 310012. [Google Scholar] [CrossRef]
- Bordbar, M.H.; Nasrolahi, A.; Lorenz, M.; Moghaddam, S.; Burchard, H. The Persian Gulf and Oman Sea: Climate variability and trends inferred from satellite observations. Estuar. Coast. Shelf Sci. 2024, 296, 108588. [Google Scholar] [CrossRef]
- Doney, S.; Ruckelshaus, M.; Duffy, J.E.; Barry, J.P.; Chan, F.; English, C.A.; Galindo, H.M.; Grebmeier, J.M.; Hollowed, A.B.; Knowlton, N.; et al. Climate Change Impacts on Marine Ecosystems. Annu. Rev. Mar. Sci. 2012, 4, 11–37. [Google Scholar] [CrossRef]
- Henson, S.; Beaulieu, C.; Lampitt, R. Observing climate change trends in ocean biogeochemistry: When and where. Glob. Change Biol. 2016, 22, 1561–1571. [Google Scholar] [CrossRef]
- Singh, R.P.; Chaturvedi, P. Comparison of chlorophyll concentration in the Bay of Bengal and the Arabian Sea using IRS-P4 OCM and MODIS Aqua. Indian J. Mar. Sci. 2010, 39, 334–340. [Google Scholar]
- Poddar, S.; Chacko, N.; Swain, D. Estimation of chlorophyll-a in northern coastal Bay of Bengal using Landsat-8 OLI and Sentinel-2 MSI sensors. Front. Mar. Sci. 2019, 6, 598. [Google Scholar] [CrossRef]
- Cheng, J.; Liu, Z.; Zhang, S.; Liu, W.; Dong, L.; Liu, P.; Li, H. Reduced interdecadal variability of Atlantic Meridional Overturning Circulation under global warming. Proc. Natl. Acad. Sci. USA 2016, 113, 3175–3178. [Google Scholar] [CrossRef]
- Zhu, X.; Dong, W.; Wei, Z.; Guo, Y.; Gao, X.; Wen, X.; Yang, S.; Zheng, Z.; Yan, D.; Zhu, Y.; et al. Multi-decadal evolution characteristics of global surface temperature anomaly data shown by observation and CMIP5 models. Int. J. Climatol. 2018, 38, 1533–1542. [Google Scholar] [CrossRef]
- Al-Senafi, F. Atmosphere-Ocean Coupled Variability in the Arabian/Persian Gulf. Front. Mar. Sci. 2022, 9, 809355. [Google Scholar] [CrossRef]
- Lough, J.M. Small change, big difference: Sea surface temperature distributions for tropical coral reef ecosystems, 1950–2011. J. Geophys. Res. Ocean. 2012, 117, 1950–2011. [Google Scholar] [CrossRef]
- Chaidez, V.; Dreano, D.; Agusti, S.; Duarte, C.M.; Hoteit, I. Decadal trends in Red Sea maximum surface temperature. Sci. Rep. 2017, 7, 8144. [Google Scholar] [CrossRef] [PubMed]
- Hereher, M.E. Assessment of climate change impacts on sea surface temperatures and sea level rise-The Arabian Gulf. Climate 2020, 8, 50. [Google Scholar] [CrossRef]
- Fox-Kemper, B.; Hewitt, H.T.; Xiao, C.; Aðalgeirsdóttir, G.; Drijfhout, S.S.; Edwards, T.L.; Golledge, N.R.; Hemer, M.; Kopp, R.E.; Krinner, G.; et al. Ocean, Cryosphere and Sea Level Change. In Climate Change 2021: The Physical Science Basis; Contribution of Working Group I to the Sixth Assessment Report of the Intergovernmental Panel on Climate Change; Masson-Delmotte, V., Zhai, P., Pirani, A., Connors, S.L., Péan, C., Berger, S., Caud, N., Chen, Y., Goldfarb, L., Gomis, M.I., et al., Eds.; Cambridge University Press: Cambridge, UK; New York, NY, USA, 2011; pp. 1211–1362. [Google Scholar] [CrossRef]
- Muhammad, S.; Memon, A.A.; Muneeb, M.; Ghauri, B. Seasonal and spatial patterns of SST in the northern Arabian Sea during 2001–2012. Egypt. J. Remote Sens. Space Sci. 2016, 19, 17–22. [Google Scholar] [CrossRef][Green Version]
- Mohan, S.; Mishra, S.K.; Sahany, S.; Behera, S. Long-term variability of Sea Surface Temperature in the Tropical Indian Ocean in relation to climate change and variability. Glob. Planet. Change 2021, 199, 103436. [Google Scholar] [CrossRef]
- Rhein, M.; Rintoul, S.; Aoki, S.; Campos, E.; Chambers, D.; Feely, R.; Gulev, S.; Johnson, G.; Josey, S.; Kostianoy, A.; et al. Observations: Ocean. In Climate Change 2013: The Physical Science Basis; Contribution of Working Group I to the Fifth Assessment Report of the Intergovernmental Panel on Climate Change; Stocker, T., Qin, D., Plattner, G.K., Tignor, M., Allen, S., Boschung, J., Nauels, A., Xia, Y., Bex, V., Midgley, P., Eds.; Cambridge University Press: Cambridge, UK; New York, NY, USA, 2013; pp. 255–316. [Google Scholar]
- Field, C.; Barros, V.; Dokken, D.; Mach, K.; Mastrandrea, M.; Bilir, T.; Chatterjee, M.; Ebi, K.; Estrada, Y.; Genova, R.; et al. IPCC, 2014. In Climate Change 2014: Impacts, Adaptation, and Vulnerability. Part A: Global and Sectoral Aspects; Contribution of Working Group II to the Fifth Assessment Report of the Intergovernmental Panel on Climate Change; Cambridge University Press: Cambridge, UK; New York, NY, USA, 2014; p. 1132. [Google Scholar]
- Vipin, P.; Sarkar, K.; Aparna, S.G.; Shankar, D.; Sarma, V.V.S.S.; Gracias, D.G.; Krishna, M.S.; Srikanth, G.; Mandal, R.; Rao, E.P.R. Evolution and Sub-Surface Characteristics of a Sea Surface Temperature Filament and Front in the Northeastern Arabian Sea during November– December 2012. J. Mar. Syst. 2015, 150, 1–11. [Google Scholar] [CrossRef]
- Saraceno, M.; Provost, C.; Piola, A.R. On the Relationship between Satellite-Retrieved Surface Temperature Fronts and Chlorophyll a in the Western South Atlantic. J. Geophys. Res. Ocean. 2005, 110, C11. [Google Scholar] [CrossRef]
- Taylor, K.E.; Stouffer, R.J.; Meehl, G.A. An overview of CMIP5 and the experiment design. Bull. Am. Meteorol. Soc. 2012, 93, 485–498. [Google Scholar] [CrossRef]
- Lan, Y.C.; Lee, M.A.; Liao, C.H.; Lee, K.T. Copepod community structure of the winter frontal zone induced by the Kuroshio branch current and the China coastal current in the Taiwan Strait. J. Mar. Sci. Technol. 2009, 17, 1–6. [Google Scholar] [CrossRef]
- Ye, H.; Kalhoro, M.A.; Morozov, E.; Tang, D.L.; Wang, S.; Thies, P.R. Increased chlorophyll-a concentration in the South China Sea caused by occasional sea surface temperature fronts at peripheries of eddies. Int. J. Remote Sens. 2018, 29, 4360–4375. [Google Scholar] [CrossRef]
- Alemany, D.; Acha, E.M.; Iribarne, O.O. Marine Fronts are Important Fishing Areas for Demersal Species at the Argentine Sea (Southwest Atlantic Ocean). J. Sea Res. 2014, 87, 56–67. [Google Scholar] [CrossRef]
- Bopp, L.; Resplandy, L.; Orr, J.; Doney, S.; Dunne, J.; Gehlen, M.; Halloran, P.; Heinze, C.; Ilyina, T.; Séférian, R. Multiple stressors of ocean ecosystems in the 21st century: Projections with CMIP5 models. Biogeosciences 2013, 10, 6225–6245. [Google Scholar] [CrossRef]
- Unnikrishnan, A.S.; Shankar, D. Are sea-level-rise trends along the coasts of the north Indian Ocean consistent with global estimates? Glob. Planet. Change 2007, 57, 301–307. [Google Scholar] [CrossRef]
- Sreeraj, P.; Swapna, P.; Krishnan, R.; Nidheesh, A.G.; Sandeep, N. Extreme Sea level rise along the Indian Ocean coastline: Observations and 21st century projections. Environ. Res. Lett. 2022, 17, 114016. [Google Scholar] [CrossRef]
- Han, W.; Meehl, G.A.; Rajagopalan, B.; Fasullo, J.T.; Hu, A.; Lin, J.; Large, W.G.; Wang, J.W.; Quan, X.W.; Trenary, L.L.; et al. Patterns of Indian ocean sea-level change in a warming climate. Nat. Geosci. 2010, 3, 546–550. [Google Scholar] [CrossRef]
- Shafeeque, M.; George, G.; Akash, S.; Smitha, B.R.; Shah, P.; Balchand, A.N. Interannual variability of chlorophyll-a and impact of extreme climatic events in the South Eastern Arabian Sea. Reg. Stud. Mar. Sci. 2021, 48, 101986. [Google Scholar] [CrossRef]
- Chinta, V.; Kalhoro, M.A.; Liang, Z.; Tahir, M.; Song, G.; Zhang, W. Decadal climate variability of chlorophyll-a in response to different oceanic factors in the Western Indian Ocean: The sea of Oman. Clim. Dyn. 2024, 62, 8675–8690. [Google Scholar] [CrossRef]
- Wang, G.; Li, J.; Wang, C.; Yan, Y. Interactions among the winter monsoon, ocean eddy and ocean thermal front in the South China Sea. J. Geophys. Res. 2012, 117, C08002. [Google Scholar] [CrossRef]
- Kemp, A.C.; Horton, B.P.; Donnelly, J.P.; Mann, M.E.; Vermeer, M.; Rahmstorf, S. Climate related sea-level variations over the past two millennia. Proc. Natl. Acad. Sci. USA 2011, 108, 11017–11022. [Google Scholar] [CrossRef]
- Meng, L.; Zhuang, W.; Zhang, W.; Ditri, A.; Yan, X. Decadal Sea level variability in the Pacific Ocean: Origins and climate mode contributions. J. Atmos. Ocean. Technol. 2019, 36, 689–698. [Google Scholar] [CrossRef]









Disclaimer/Publisher’s Note: The statements, opinions and data contained in all publications are solely those of the individual author(s) and contributor(s) and not of MDPI and/or the editor(s). MDPI and/or the editor(s) disclaim responsibility for any injury to people or property resulting from any ideas, methods, instructions or products referred to in the content. |
© 2025 by the authors. Licensee MDPI, Basel, Switzerland. This article is an open access article distributed under the terms and conditions of the Creative Commons Attribution (CC BY) license (https://creativecommons.org/licenses/by/4.0/).
Share and Cite
Kalhoro, M.A.; Chinta, V.; Tahir, M.; Liu, C.; Zhu, L.; Liang, Z.; Baloch, A.; Song, J. Assessing Chlorophyll-a Variability and Its Relationship with Decadal Climate Patterns in the Arabian Sea. J. Mar. Sci. Eng. 2025, 13, 1170. https://doi.org/10.3390/jmse13061170
Kalhoro MA, Chinta V, Tahir M, Liu C, Zhu L, Liang Z, Baloch A, Song J. Assessing Chlorophyll-a Variability and Its Relationship with Decadal Climate Patterns in the Arabian Sea. Journal of Marine Science and Engineering. 2025; 13(6):1170. https://doi.org/10.3390/jmse13061170
Chicago/Turabian StyleKalhoro, Muhsan Ali, Veeranjaneyulu Chinta, Muhammad Tahir, Chunli Liu, Lixin Zhu, Zhenlin Liang, Aidah Baloch, and Jun Song. 2025. "Assessing Chlorophyll-a Variability and Its Relationship with Decadal Climate Patterns in the Arabian Sea" Journal of Marine Science and Engineering 13, no. 6: 1170. https://doi.org/10.3390/jmse13061170
APA StyleKalhoro, M. A., Chinta, V., Tahir, M., Liu, C., Zhu, L., Liang, Z., Baloch, A., & Song, J. (2025). Assessing Chlorophyll-a Variability and Its Relationship with Decadal Climate Patterns in the Arabian Sea. Journal of Marine Science and Engineering, 13(6), 1170. https://doi.org/10.3390/jmse13061170

