Pore Structure and Its Controlling Factors of Cambrian Highly Over-Mature Marine Shales in the Upper Yangtze Block, SW China
Abstract
1. Introduction
2. Geological Setting
3. Sampling and Methods
3.1. TOC, Mineral Components, and Thermal Maturity Analyses
3.2. Field Emission-Scanning Electron Microscopy (FE-SEM)
3.3. CO2 and N2 Adsorption
3.4. Mercury Intrusion Porosimetry (MIP)
4. Results
4.1. Shale Lithofacies
4.2. SEM-Based Semi-Quantitative Pore Structure Characterization
4.3. Quantitative Pore Structure Characterization
4.3.1. CO2 Adsorption
4.3.2. N2 Adsorption
4.3.3. High Pressure MIP
5. Discussion
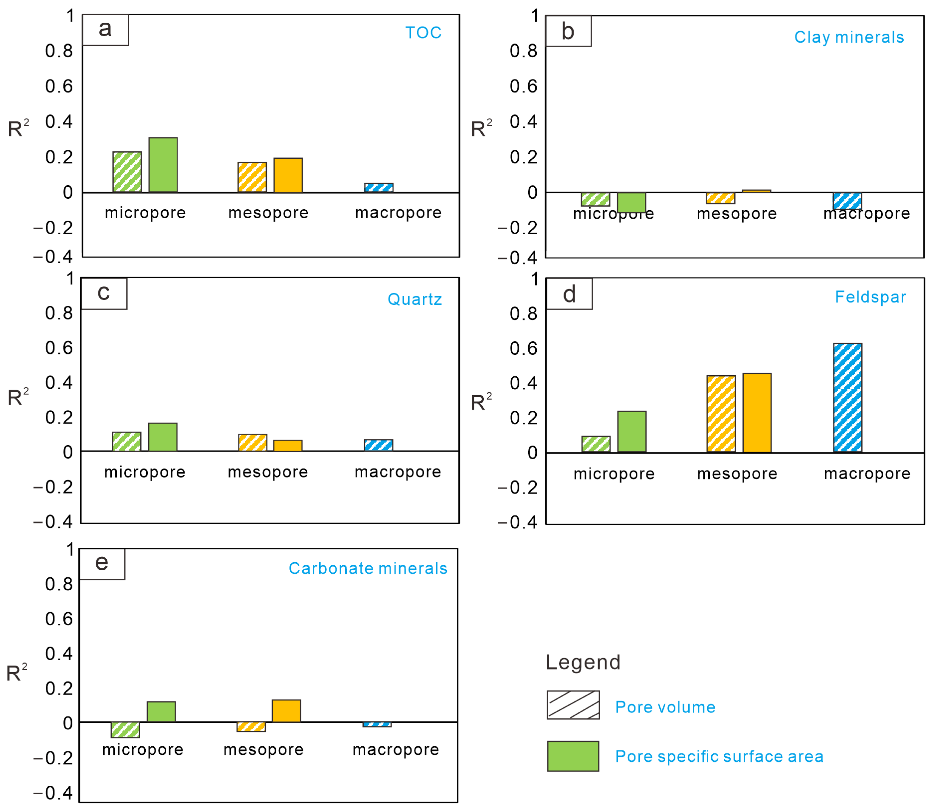
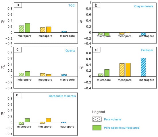
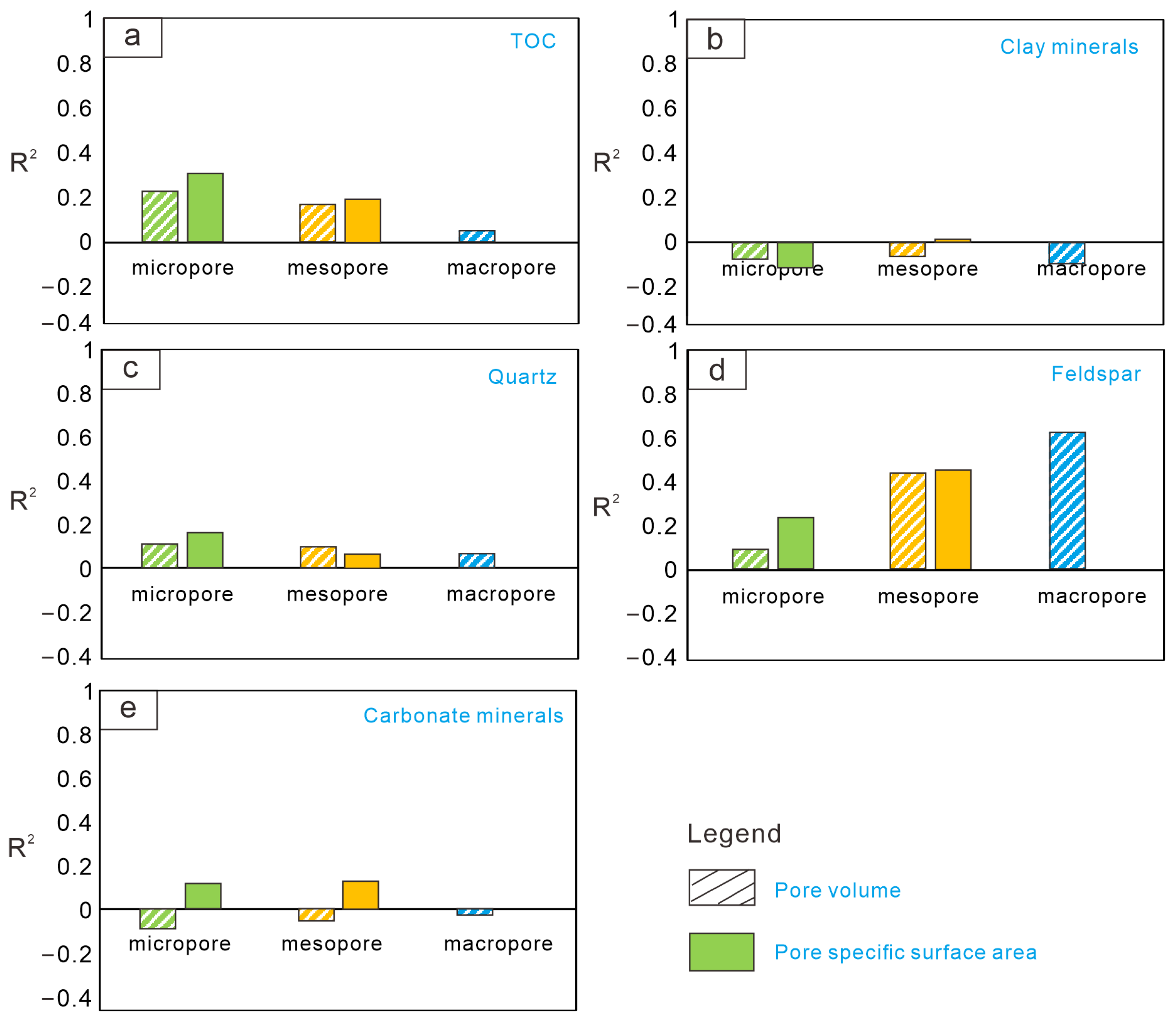
5.1. Effect of TOC on Pore Structure
5.2. Effect of Clay Minerals on Pore Structure
5.3. Effect of Brittle Minerals on Pore Structure
6. Conclusions
Author Contributions
Funding
Data Availability Statement
Acknowledgments
Conflicts of Interest
References
- Loucks, R.G.; Reed, R.M.; Ruppel, S.C.; Hammes, U. Spectrum of pore types and networks in mudrocks and a descriptive classification for matrix-related mudrock pores. AAPG Bull. 2012, 96, 1071–1098. [Google Scholar] [CrossRef]
- Loucks, R.G.; Reed, R.M.; Ruppel, S.C.; Jarvie, D.M. Morphology, Genesis, and Distribution of Nanometer-Scale Pores in Siliceous Mudstones of the Mississippian Barnett Shale. Journal of Sedimentary Research. J. Sediment. Res. 2009, 79, 848–861. [Google Scholar] [CrossRef]
- Clarkson, C.R.; Freeman, M.; He, L.; Agamalian, M.; Melnichenko, Y.B.; Mastalerz, M.; Bustin, R.M.; Radlinski, A.P.; Blach, T.P. Characterization of tight gas reservoir pore structure using USANS/SANS and gas adsorption analysis. Fuel 2012, 95, 371–385. [Google Scholar] [CrossRef]
- Clarkson, C.R.; Solano, N.; Bustin, R.M.; Bustin, A.M.M.; Chalmers, G.R.L.; He, L.; Melnichenko, Y.B.; Radlinski, A.P.; Blach, T.P. Pore structure characterization of North American shale gas reservoirs using USANS/SANS, gas adsorption, and mercury intrusion. Fuel 2013, 103, 606–616. [Google Scholar] [CrossRef]
- Ross, D.J.K.; Bustin, R.M. The importance of shale composition and pore structure upon gas storage potential of shale gas reservoirs. Mar. Pet. Geol. 2009, 26, 916–927. [Google Scholar] [CrossRef]
- Liu, D.D.; Li, Z.; Jiang, Z.X.; Zhang, C.; Zhang, Z.Y.; Wang, J.B.; Yang, D.X.; Song, Y.; Luo, Q. Impact of laminae on pore structures of lacustrine shales in the southern Songliao Basin, NE China. J. Asian Earth Sci. 2019, 182, 103935. [Google Scholar] [CrossRef]
- Xie, W.; Chen, S.; Vandeginste, V.; Yu, Z.; Wang, H.; Wang, M. Review of the effect of diagenetic evolution of shale reservoir on the pore structure and adsorption capacity of clay minerals. Energy Fuels 2022, 36, 4728–4745. [Google Scholar] [CrossRef]
- Gou, Q.; Xu, S.; Hao, F.; Yang, F.; Shu, Z.; Liu, R. The effect of tectonic deformation and preservation condition on the shale pore structure using adsorption-based textural quantification and 3D image observation. Energy 2021, 219, 119579. [Google Scholar] [CrossRef]
- Mastalerz, M.; Schimmelmann, A.; Drobniak, A.; Chen, Y. Porosity of Devonian and Mississippian New Albany Shale across a maturation gradient: Insights from organic petrology, gas adsorption, and mercury intrusion. AAPG Bull. 2013, 97, 1621–1643. [Google Scholar] [CrossRef]
- Anovitz, L.M.; Cole, D.R. Analysis of the pore structures of shale using neutron and X-ray small angle scattering. Geol. Carbon Storage Subsurf. Seals Caprock Integr. 2018, 71–118. [Google Scholar] [CrossRef]
- Perri, F.; Milli, S.; Campilongo, G.; Tentori, D.; Critelli, S. The mudstone composition as reflected in the sedimentary evolution of a turbidite basin: The example of the Agnone Flysch (Molise, Italy). Mar. Pet. Geol. 2021, 132, 105241. [Google Scholar] [CrossRef]
- Krumbein, W.C. Lithofacies maps and regional sedimentary-stratigraphic analysis. AAPG Bull. 1948, 32, 1909–1923. [Google Scholar]
- Loucks, R.; Ruppel, S.C. Mississippian Barnett Shale: Lithofacies and depositional setting of a deep-water shale-gas succession in the Fort Worth Basin, Texas. AAPG Bull. 2007, 91, 579–601. [Google Scholar] [CrossRef]
- Tang, X.L.; Jiang, Z.; Huang, H.; Jiang, S.; Yang, L.; Xiong, F.; Chen, L.; Feng, J. Lithofacies characteristics and its effect on gas storage of the Silurian Longmaxi marine shale in the southeast Sichuan Basin, China. J. Nat. Gas. Sci. Eng. 2016, 28, 338–346. [Google Scholar] [CrossRef]
- Wang, P.F.; Jiang, Z.X.; Yin, L.; Chen, L.; Li, Z.; Zhang, C.; Li, T.; Huang, P. Lithofacies classification and its effect on pore structure of the Cambrian marine shale in the Upper Yangtze Platform, South China: Evidence from FE-SEM and gas adsorption analysis. J. Pet. Sci. Eng. 2017, 156, 307–321. [Google Scholar] [CrossRef]
- Song, L.; Warner, T.; Carr, T. An efficient, consistent, and trackable method to quantify organic matter–hosted porosity from ion-milled scanning electron microscope images of mudrock gas reservoirs. AAPG Bull. 2019, 103, 1473–1492. [Google Scholar] [CrossRef]
- Rashid, A.; Siddiqui, N.A.; Ahmed, N.; Jamil, M.; EL-Ghali, M.A.; Ali, S.H.; Zaidi, F.K.; Wahid, A. Field attributes and organic geochemical analysis of shales from early to middle Permian Dohol Formation, Peninsular Malaysia: Implications for hydrocarbon generation potential. J. King Saud. Univ. Sci. 2022, 34, 102287. [Google Scholar] [CrossRef]
- Anovitz, L.M.; Cole, D.R. Characterization and Analysis of Porosity and Pore Structures. Pore-Scale Geochem. Process 2015, 80, 61–164. [Google Scholar]
- Blach, T.; Radlinski, A.P.; Vu, P.; Ji, Y.P.; Campo, D.L.; Gilbert, E.P.; Regenauer-Lieb, K.; Mastalerz, M. Deformation of pores in response to uniaxial and hydrostatic stress cycling in Marcellus Shale: Implications for gas recovery. Int. J. Coal Geol. 2021, 248, 103867. [Google Scholar] [CrossRef]
- Awan, R.S.; Liu, C.L.; Gong, H.W.; Dun, C.; Tong, C.; Chamssidini, L.G. Paleo-sedimentary environment in relation to enrichment of organic matter of Early Cambrian black rocks of Niutitang Formation from Xiangxi area China. Mar. Pet. Geol. 2020, 112, 104057. [Google Scholar] [CrossRef]
- Luo, P.; Zhong, N.; Tang, Y. Pore Structure of Organic Matter in the Lacustrine Shale from High to Over Mature Stages: An Approach of Artificial Thermal Simulation. ACS Omega 2022, 7, 17784–17796. [Google Scholar] [CrossRef] [PubMed]
- Hackley, P.C.; Cardott, B.J. Application of organic petrography in North American shale petroleum systems: A review. Int. J. Coal Geol. 2016, 163, 8–51. [Google Scholar] [CrossRef]
- Lehmann, B.; Pasava, J.; Sebek, O.; Andronikov, A.; Frei, R.; Xu, L.G.; Mao, J.W. Early Cambrian highly metalliferous black shale in South China: Cu and Zn isotopes and a short review of other non-traditional stable isotopes. Miner. Depos. 2022, 57, 1167–1187. [Google Scholar] [CrossRef]
- Sun, W.J.B.; Zuo, Y.J.; Wu, Z.H.; Liu, H.; Zheng, L.J.; Shui, Y.; Xi, S.J.; Lou, Y.L.; Luo, X. The distribution characteristics of brittle minerals in the Lower Cambrian Niutitang Formation in northern Guizhou. J. Nat. Gas. Sci. Eng. 2021, 86, 103752. [Google Scholar] [CrossRef]
- Niu, X.; Yan, D.T.; Zhuang, X.G.; Liu, Z.X.; Li, B.Q.; Wei, X.S.; Xu, H.W.; Li, D.W. Origin of quartz in the lower Cambrian Niutitang Formation in south Hubei Province, upper Yangtze platform. Mar. Pet. Geol. 2018, 96, 271–287. [Google Scholar] [CrossRef]
- Fu, Y.; Dong, L.; Li, C.; Quo, W.J.; Pei, H.X.; Qiao, W.L.; Shen, B. New Re-Os Isotopic Constrains on the Formation of the Metalliferous Deposits of the Lower Cambrian Niutitang Formation. J. Earth Sci. 2016, 27, 271–281. [Google Scholar] [CrossRef]
- Zou, C.N.; Zhu, R.K.; Chen, Z.Q.; Ogg, J.G.; Wu, S.T.; Dong, D.Z.; Qiu, Z.; Wang, Y.M.; Wang, L.; Lin, S.H.; et al. Organic-matter-rich shales of China. Earth-Sci. Rev. 2019, 189, 51–78. [Google Scholar] [CrossRef]
- Wang, X.; Zhang, J.; Shi, M.; Pang, Y.; Zhao, Y.; Yang, X. Changing Hydrocarbon-Producing Potential of the Cambrian Niutitang Shale: Insights from Pyrite Morphology and Geochemical Characteristics. ACS Omega 2023, 8, 7172–7190. [Google Scholar] [CrossRef]
- Zhang, Y.N.; Wang, Z.W.; Yang, X.; Huang, L.Q.; Li, Y.L.; Qin, L.P. Petrological and Ni-Mo isotopic evidence for the genesis of the Ni- and Mo-sulfide extremely enriched early Cambrian black shale from Southwest China. Chem. Geol. 2022, 598, 120812. [Google Scholar] [CrossRef]
- Wang, R.; Liu, Y.; Li, Z.; Wang, D.; Wang, G.; Lai, F.; Li, Z.; He, J. Microscopic pore structure characteristics and controlling factors of marine shale: A case study of Lower Cambrian shales in the Southeastern Guizhou, Upper Yangtze Platform, South China. Front. Earth Sci. 2024, 12, 1368326. [Google Scholar] [CrossRef]
- Li, J.; Tang, S.H.; Zhang, S.H.; Xi, Z.D.; Yang, N.; Yang, G.Q.; Li, L.; Li, Y.P. Paleo-environmental conditions of the Early Cambrian Niutitang Formation in the Fenggang area, the southwestern margin of the Yangtze Platform, southern China: Evidence from major elements, trace elements and other proxies. Asian Earth Sci. 2018, 159, 81–97. [Google Scholar] [CrossRef]
- Fan, Q.Q.; Liu, D.D.; Du, W.; Li, Y.M.; Liang, F.; Zhao, F.P.; Feng, X.; Chen, Y.; Zhang, Z.Y.; Zhang, Y.X.; et al. In situ U-Pb dating of carbonate veins in Cambrian shales constrains fluid flow and hydrocarbon evolution at the southeastern margin of the Upper Yangtze platform, southwestern China. Geol. Soc. Am. Bull. 2024, 136, 2875–2890. [Google Scholar] [CrossRef]
- Fan, Q.Q.; Liu, D.D.; Tian, H.; Lu, X.S.; Chen, Y.; Feng, X.; Du, W.; Xu, M.Y.; Pang, X.T.; Tang, Z.J. Deciphering hydrocarbon evolution history of the Cambrian shales in tectonically complex basins: Constraints from calcite U-Pb dating and low-temperature thermochronology. Mar. Pet. Geol. 2025, 177, 107386. [Google Scholar] [CrossRef]
- Kibria, M.G.; Das, S.; Hu, Q.H.; Basu, A.R.; Hu, W.X.; Mandal, S. Thermal maturity evaluation using Raman spectroscopy for oil shale samples of USA: Comparisons with vitrinite reflectance and pyrolysis methods. Pet. Sci. 2020, 17, 567–581. [Google Scholar] [CrossRef]
- Andrew, M. Comparing organic-hosted and intergranular pore networks: Topography and topology in grains. Gaps Bubbles 2020, 484, 241–253. [Google Scholar] [CrossRef]
- Goral, J.; Walton, I.; Andrew, M.; Deo, M. Pore system characterization of organic-rich shales using nanoscale-resolution 3D imaging. Fuel 2019, 258, 116049. [Google Scholar] [CrossRef]
- Wood, J.M.; Cesar, J.; Ardakani, O.H.; Rudra, A.; Sanei, H. Geochemical evidence for the internal migration of gas condensate in a major unconventional tight petroleum system. Sci. Rep. 2022, 12, 7931. [Google Scholar] [CrossRef]
- Hao, F.; Zou, H.Y. Cause of shale gas geochemical anomalies and mechanisms for gas enrichment and depletion in high-maturity shales. Mar. Pet. Geol. 2013, 44, 1–12. [Google Scholar] [CrossRef]
- Zhu, G.Y.; Zhang, Z.Y.; Zhou, X.X.; Li, T.T.; Han, J.F.; Sun, C.H. The complexity, secondary geochemical process, genetic mechanism and distribution prediction of deep marine oil and gas in the Tarim Basin, China. Earth-Sci. Rev. 2019, 198, 102930. [Google Scholar] [CrossRef]
- Demaster, D.J. The accumulation and cycling of biogenic silica in the Southern Ocean: Revisiting the marine silica budget. Deep-Sea Res. Part. Ii-Top. Stud. Oceanogr. 2002, 49, 3155–3167. [Google Scholar] [CrossRef]
- Schieber, J.; Krinsley, D.; Riciputi, L. Diagenetic origin of quartz silt in mudstones and implications for silica cycling. Nature 2000, 406, 981–985. [Google Scholar] [CrossRef] [PubMed]
- Dawson, W.C. Shale microfacies: Eagle Ford Group (Cenomanian-Turonian) north-central Texas outcrops and subsurface equivalents. Gulf Coast Assoc. Geol. Soc. Trans. 2000, 50, 607–621. [Google Scholar]
- Bhattacharya, S.; Carr, T.R. Integrated Petrofacies Characterization and Interpretation of Depositional Environment of the Bakken Shale in the Williston Basin, North America. Petrophysics 2016, 57, 95–110. [Google Scholar]
- Nie, H.K.; Sun, C.X.; Liu, G.X.; Du, W.; He, Z.L. Dissolution pore types of the Wufeng Formation and the Longmaxi Formation in the Sichuan Basin, south China: Implications for shale gas enrichment. Mar. Pet. Geol. 2019, 101, 243–251. [Google Scholar] [CrossRef]
- Wang, R.; Hu, Z.; Sun, C.; Liu, Z.; Zhang, C.; Gao, B.; Du, W.; Zhao, J.; Tang, W.J.I. Comparative analysis of shale reservoir characteristics in the Wufeng-Longmaxi (O3w-S1l) and Niutitang (Є1 n) Formations: A case study of wells JY1 and TX1 in the southeastern Sichuan Basin and its neighboring areas, southwestern China. Interpretation 2018, 6, SN31–SN45. [Google Scholar] [CrossRef]
- Saraf, S.; Singh, A.; Desai, B.G. Estimation of Porosity and Pore size distribution from Scanning Electron Microscope image data of Shale samples: A case study on Jhuran formation of Kachchh Basin, India. ASEG Ext. Abstr. 2019, 2019, 1–3. [Google Scholar] [CrossRef]
- Wei, M.M.; Zhang, L.; Xiong, Y.Q.; Li, J.H.; Peng, P.A. Nanopore structure characterization for organic-rich shale using the non-local-density functional theory by a combination of N2 and CO2 adsorption. Microporous Mesoporous Mater. 2016, 227, 88–94. [Google Scholar] [CrossRef]
- Wang, G.C.; Ju, Y.W. Organic shale micropore and mesopore structure characterization by ultra-low pressure Nphysisorption: Experimental procedure and interpretation model. J. Nat. Gas. Sci. Eng. 2015, 27, 452–465. [Google Scholar] [CrossRef]
- Zhao, X.; Sun, M.D.; Ukaomah, C.F.; Ostadhassan, M.; Cui, Z.; Liu, B.; Pan, Z.J. Pore connectivity and microfracture characteristics of Longmaxi shale in the Fuling gas field: Insights from mercury intrusion capillary pressure analysis. Gas Sci. Eng. 2023, 119, 205134. [Google Scholar] [CrossRef]
- Xu, S.; Hao, F.; Shu, Z.G.; Zhang, A.H.; Yang, F. Pore structures of different types of shales and shale gas exploration of the Ordovician Wufeng and Silurian Longmaxi successions in the eastern Sichuan Basin, South China. J. Asian Earth Sci. 2020, 193, 104271. [Google Scholar] [CrossRef]
- Wang, P.; He, X.; Chen, Y.N.; Xu, C.; Cao, Q.; Yang, K.; Zhang, B. Mechanisms of Reservoir Space Preservation in Ultra-Deep Shales: Insights from the Ordovician–Silurian Wufeng–Longmaxi Formation, Eastern Sichuan Basin. Minerals 2024, 14, 1046. [Google Scholar] [CrossRef]
- Wang, P.F.; Yao, S.Q.; Jin, C.; Li, X.; Zhang, K.; Liu, G.H.; Zang, X.P.; Liu, S.Y.; Jiang, Z.X. Key reservoir parameter for effective exploration and development of high-over matured marine shales: A case study from the cambrian Niutitang formation and the silurian Longmaxi formation, south China. Mar. Pet. Geol. 2020, 121, 104619. [Google Scholar] [CrossRef]
- Wang, R.; Gu, Y.; Ding, W.; Gong, D.; Yin, S.; Wang, X.; Zhou, X.; Li, A.; Xiao, Z.K.; Cui, Z.X. Characteristics and dominant controlling factors of organic-rich marine shales with high thermal maturity: A case study of the Lower Cambrian Niutitang Formation in the Cen’gong block, southern China. J. Nat. Gas. Sci. Eng. 2016, 33, 81–96. [Google Scholar] [CrossRef]
- Zhou, L.; Kang, Z.H.; Wang, Z.X.; Peng, Y.Y.; Xiao, H.F. Sedimentary geochemical investigation for paleoenvironment of the Lower Cambrian Niutitang Formation shales in the Yangtze Platform. J. Pet. Sci. Eng. 2017, 159, 376–386. [Google Scholar] [CrossRef]
- Liu, J.; Yao, Y.B.; Elsworth, D.; Pan, Z.J.; Sun, X.X.; Ao, W.H. Sedimentary characteristics of the Lower Cambrian Niutitang shale in the southeast margin of Sichuan Basin, China. J. Nat. Gas. Sci. Eng. 2016, 36, 1140–1150. [Google Scholar] [CrossRef]
- Ye, Y.H.; Luo, C.; Liu, S.G.; Xiao, C.; Ran, B.; Sun, W.; Yang, D.; Luba, J.; Zeng, X.L. Characteristics of Black Shale Reservoirs and Controlling Factors of Gas Adsorption in the Lower Cambrian Niutitang Formation in the Southern Yangtze Basin Margin, China. Energy Fuels 2017, 31, 6876–6894. [Google Scholar] [CrossRef]
- Aoyagi, K.; Kazama, T. Transformational changes of clay minerals, zeolites and silica minerals during diagenesis. Sedimentology 1980, 27, 179–188. [Google Scholar] [CrossRef]
- Eberl, D.D. Clay mineral formation and transformation in rocks and soils. Philosophical Transactions of the Royal Society of London. Ser. A Math. Phys. Sci. 1984, 311, 241–257. [Google Scholar]
- Du, J.Z.; Cai, J.G.; Lei, T.Z.; Li, Y.L. Diversified roles of mineral transformation in controlling hydrocarbon generation process, mechanism, and pattern. Geosci. Front. 2021, 12, 725–736. [Google Scholar] [CrossRef]
- Wu, L.M.; Zhou, C.H.; Keeling, J.; Tong, D.S.; Yu, W.H. Towards an understanding of the role of clay minerals in crude oil formation, migration and accumulation. Earth-Sci. Rev. 2012, 115, 373–386. [Google Scholar] [CrossRef]
- Fishman, N.S.; Hackley, P.C.; Lowers, H.A.; Hill, R.J.; Egenhoff, S.O.; Eberl, D.D.; Blum, A.E. The nature of porosity in organic-rich mudstones of the Upper Jurassic Kimmeridge Clay Formation, North Sea, offshore United Kingdom. Int. J. Coal Geol. 2012, 103, 32–50. [Google Scholar] [CrossRef]
- Wang, G.P.; Jin, Z.J.; Liu, G.X.; Wang, R.Y.; Zhao, G.; Tang, X.; Liu, K.Q.; Zhang, Q. Pore system of the multiple lithofacies reservoirs in unconventional lacustrine shale oil formation. Int. J. Coal Geol. 2023, 273, 104270. [Google Scholar] [CrossRef]
- Jiang, S. Clay minerals from the perspective of oil and gas exploration. In Clay Minerals in Nature-Their Characterization, Modification and Application; InTech: Rijeka, Croatia, 2012; pp. 21–38. [Google Scholar]
- Wilson, M.J.; Wilson, L. Clay mineralogy and shale instability: An alternative conceptual analysis. Clay Miner. 2014, 49, 127–145. [Google Scholar] [CrossRef]
- Dewing, K.; Obermajer, M. Lower Paleozoic Thermal Maturity and Hydrocarbon Potential of the Canadian Arctic Archipelago. Bull. Can. Pet. Geol. 2009, 57, 141–166. [Google Scholar] [CrossRef]
- Japsen, P.; Green, P.F.; Bonow, J.M.; Rasmussen, E.S.; Chalmers, J.A.; Kjennerud, T. Episodic uplift and exhumation along North Atlantic passive margins: Implications for hydrocarbon prospectivity. In Petroleum Geology: From Mature Basins to New Frontiers—Proceedings of the 7th Petroleum Geology Conference, London, UK, 30 March–2 April 2009; Geological Society of London: London, UK, 2010; pp. 979–1004. [Google Scholar]
- Yu, Y.D.; Guo, Z.X.; Zhao, Y.G.; Kong, K.R.; Pan, H.H.; Xu, X.R.; Tang, R.K.; Liu, Z.M. A Flexible and Degradable Hybrid Mineral as a Plastic Substitute. Adv. Mater. 2022, 34, 2107523. [Google Scholar] [CrossRef]
- Wong, T.F.; David, C.; Menendez, B. Mechanical compaction. In International Geophysics; Elsevier: Amsterdam, The Netherlands, 2004; pp. 55–114. [Google Scholar]
- Ougier-Simonin, A.; Renard, F.; Boehm, C.; Vidal-Gilbert, S. Microfracturing and microporosity in shales. Earth-Sci. Rev. 2016, 162, 198–226. [Google Scholar] [CrossRef]
- Bohacs, K.; Passey, Q.; Rudnicki, M.; Esch, W.; Lazar, O. The spectrum of fine-grained reservoirs from ‘shale gas’ to ‘shale oil’/tight liquids: Essential attributes, key controls, practical characterization. In Proceedings of the IPTC 2013: International Petroleum Technology Conference, Beijing, China, 26–28 March 2013. [Google Scholar]
- Xu, H.; Zhou, W.; Hu, Q.H.; Yi, T.; Ke, J.; Zhao, A.K.; Lei, Z.H.; Yu, Y. Quartz types, silica sources and their implications for porosity evolution and rock mechanics in the Paleozoic Longmaxi Formation shale, Sichuan Basin. Mar. Pet. Geol. 2021, 128, 105036. [Google Scholar] [CrossRef]
- Alanazi, N.; Almutairi, M.; Alodhayb, A.N. A Review of Quartz Crystal Microbalance for Chemical and Biological Sensing Applications. Sens. Imaging 2023, 24, 10. [Google Scholar] [CrossRef]
- Zhao, J.H.; Jin, Z.K.; Jin, Z.J.; Wen, X.; Geng, Y.K. Origin of authigenic quartz in organic-rich shales of the Wufeng and Longmaxi Formations in the Sichuan Basin, South China: Implications for pore evolution. J. Nat. Gas. Sci. Eng. 2017, 38, 21–38. [Google Scholar] [CrossRef]
- Gao, P.; Xiao, X.M.; Meng, G.M.; Lash, G.G.; Li, S.J.; Han, Y.Q. Quartz types and origins of the Upper Permian Dalong Formation shale of the Sichuan Basin: Implications for pore preservation in deep shale reservoirs. Mar. Pet. Geol. 2023, 156, 106461. [Google Scholar] [CrossRef]
- Liu, Y.; Zhang, J.; Tang, X.; Yang, C.; Tang, S. Weathering characteristics of the Lower Paleozoic black shale in northwestern Guizhou Province, south China. J. Earth Syst. Sci. 2016, 125, 1061–1078. [Google Scholar] [CrossRef]
- Fedo, C.M.; Wayne Nesbitt, H.; Young, G.M. Unraveling the effects of potassium metasomatism in sedimentary rocks and paleosols, with implications for paleoweathering conditions and provenance. Geology 1995, 23, 921–924. [Google Scholar] [CrossRef]
- Rashid, A.; Siddiqui, N.A.; Ahmed, N.; Wahid, A.; Jamil, M.; Sankoh, A.A.; Olutoki, J.O. Geochemical and mineralogical characteristics of shales from the early to middle Permian Dohol Formation in Peninsular Malaysia: Implications for organic matter enrichment, provenance, tectonic setting, palaeoweathering and paleoclimate. Heliyon 2024, 10, e27553. [Google Scholar] [CrossRef]
- Chen, X.; Qu, X.Y.; Xu, S.Y.; Wang, W.M.; Li, S.M.; He, H.; Liu, Y. Dissolution pores in shale and their influence on reservoir quality in Damintun Depression, Bohai Bay Basin, East China: Insights from SEM images, N2 adsorption and fluid-rock interaction experiments. Mar. Pet. Geol. 2020, 117, 104394. [Google Scholar] [CrossRef]
- Lin, S.S.; Chang, X.; Yang, C.H.; Guo, Y.T.; Shi, X.L. Integrated supercritical CO2 injection for shale reservoir enhancement: Mechanisms, experimental insights, and implications for energy and carbon storage. Energy 2025, 324, 135908. [Google Scholar] [CrossRef]
- Gou, Q.; Xu, S.; Hao, F.; Zhang, L.; Chen, Z.; Bai, N.J.M.; Geology, P. Petrography and mineralogy control the nm-μm-scale pore structure of saline lacustrine carbonate-rich shales from the Jianghan Basin, China. Mar. Pet. Geol. 2023, 155, 106399. [Google Scholar] [CrossRef]
- Memon, F.H.; Tunio, A.H.; Memon, K.R.; Mahesar, A.A.; Abbas, G. Unveiling the Diagenetic and Mineralogical Impact on the Carbonate Formation of the Indus Basin, Pakistan: Implications for Reservoir Characterization and Quality Assessment. Minerals 2023, 13, 1474. [Google Scholar] [CrossRef]
- Xu, Y.; Hu, T.; Xiao, H.; Yuan, B.; Li, L.; Xiong, Z.; Ding, C.; Lei, Q.; Mu, X.; Wang, Y.; et al. Characteristics of Pore Structure and the Evolution Process in Terrestrial Shale Reservoirs: A Case Study of the Shahejie Formation in Dongpu Depression, Bohai Bay Basin. ACS Omega 2024, 9, 45943–45960. [Google Scholar] [CrossRef]










Disclaimer/Publisher’s Note: The statements, opinions and data contained in all publications are solely those of the individual author(s) and contributor(s) and not of MDPI and/or the editor(s). MDPI and/or the editor(s) disclaim responsibility for any injury to people or property resulting from any ideas, methods, instructions or products referred to in the content. |
© 2025 by the authors. Licensee MDPI, Basel, Switzerland. This article is an open access article distributed under the terms and conditions of the Creative Commons Attribution (CC BY) license (https://creativecommons.org/licenses/by/4.0/).
Share and Cite
Liu, D.; Xu, M.; Chen, H.; Chen, Y.; Feng, X.; Jiang, Z.; Fan, Q.; Liu, L.; Du, W. Pore Structure and Its Controlling Factors of Cambrian Highly Over-Mature Marine Shales in the Upper Yangtze Block, SW China. J. Mar. Sci. Eng. 2025, 13, 1002. https://doi.org/10.3390/jmse13051002
Liu D, Xu M, Chen H, Chen Y, Feng X, Jiang Z, Fan Q, Liu L, Du W. Pore Structure and Its Controlling Factors of Cambrian Highly Over-Mature Marine Shales in the Upper Yangtze Block, SW China. Journal of Marine Science and Engineering. 2025; 13(5):1002. https://doi.org/10.3390/jmse13051002
Chicago/Turabian StyleLiu, Dadong, Mingyang Xu, Hui Chen, Yi Chen, Xia Feng, Zhenxue Jiang, Qingqing Fan, Li Liu, and Wei Du. 2025. "Pore Structure and Its Controlling Factors of Cambrian Highly Over-Mature Marine Shales in the Upper Yangtze Block, SW China" Journal of Marine Science and Engineering 13, no. 5: 1002. https://doi.org/10.3390/jmse13051002
APA StyleLiu, D., Xu, M., Chen, H., Chen, Y., Feng, X., Jiang, Z., Fan, Q., Liu, L., & Du, W. (2025). Pore Structure and Its Controlling Factors of Cambrian Highly Over-Mature Marine Shales in the Upper Yangtze Block, SW China. Journal of Marine Science and Engineering, 13(5), 1002. https://doi.org/10.3390/jmse13051002

