Research on the Coupling Dynamics Characteristics of Underwater Multi-Body Separation Considering the Influence of Elastic Constraints
Abstract
1. Introduction
2. Multi-Vehicle Coupling Dynamics Modeling
2.1. Multi-Vehicle Model and Coordinate Definition
2.2. Kinematic Analysis
2.3. Force and Moment Analysis
2.4. Dynamics Equations
3. Hydrodynamic Modeling
3.1. Hydrodynamic Calculation Method of the Multi-Vehicle System
3.2. Improvement of UUV Geometry and CFD Simulation Results
4. Simulation and Result Analysis of Multi-Vehicle Separation Process
4.1. Simulation Process Description
- (1)
- The influence of elastic gasket stiffness variation on the motion and mechanical characteristics of the multi-vehicle system.
- (2)
- The influence of elastic gasket distribution variation on the motion and mechanical characteristics of multi-vehicle systems.
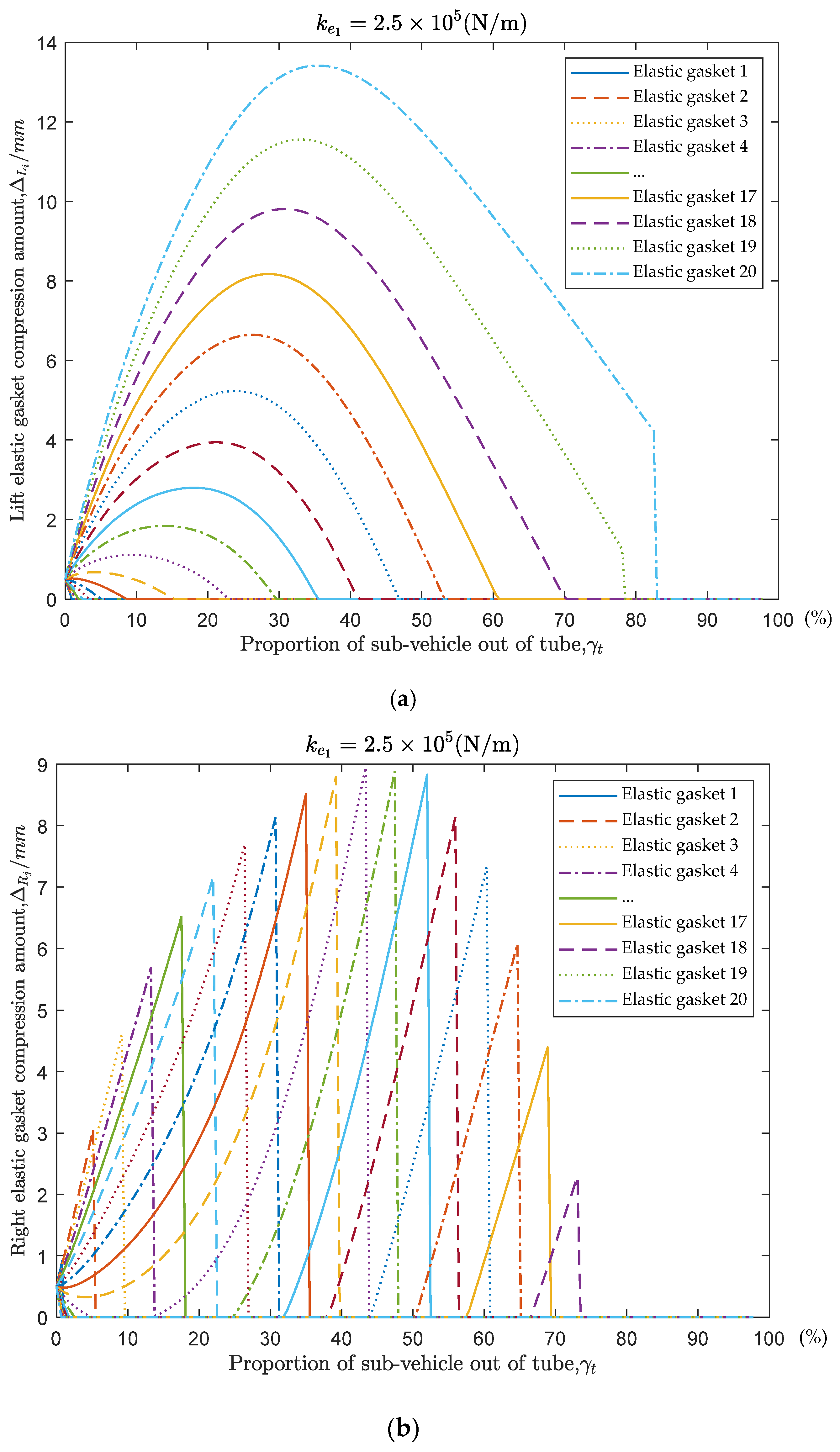
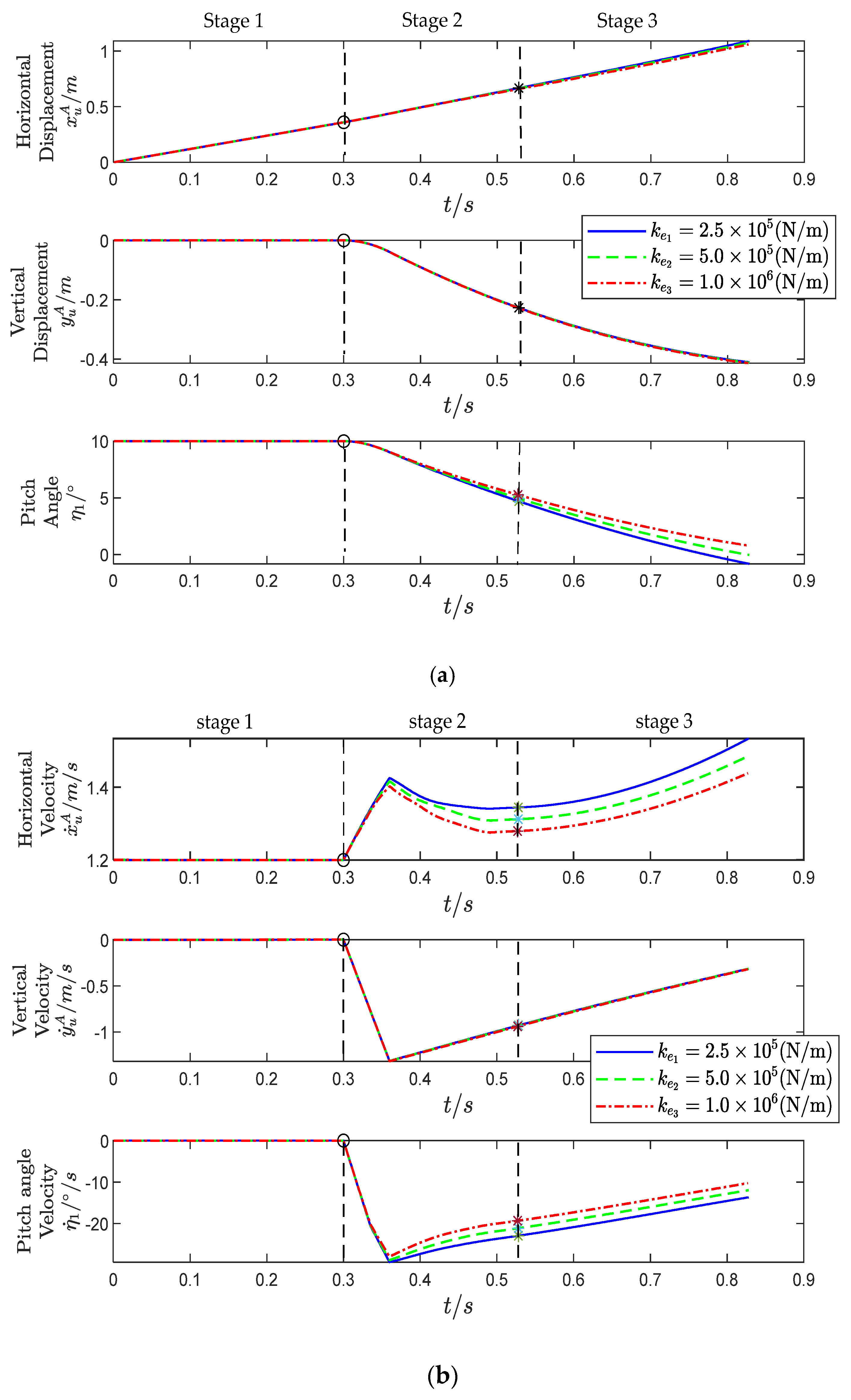
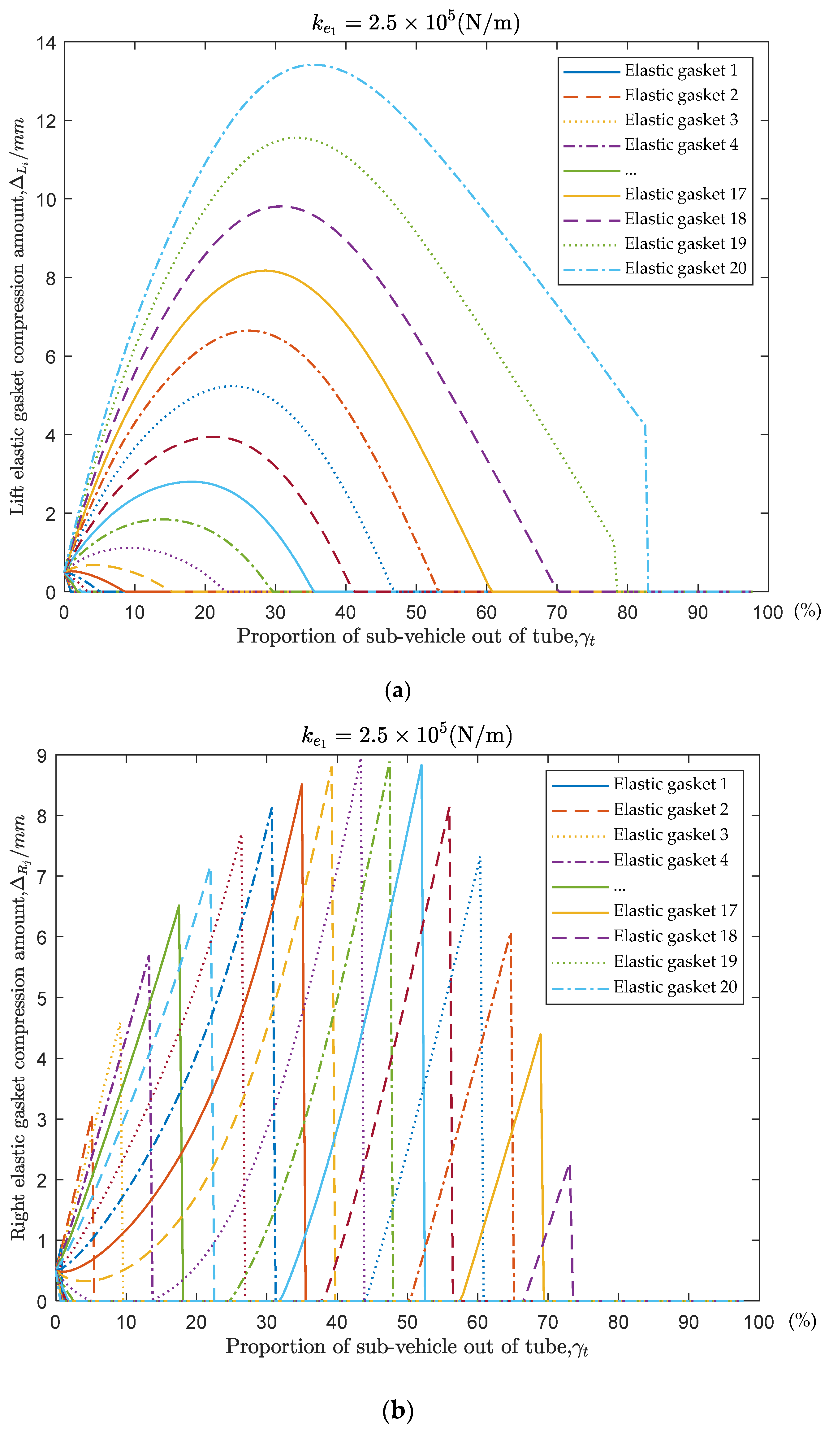
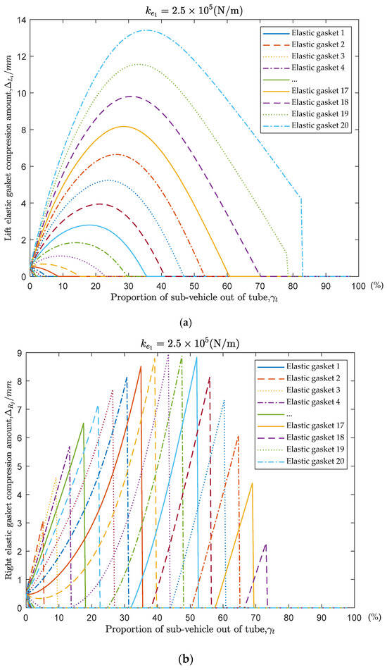
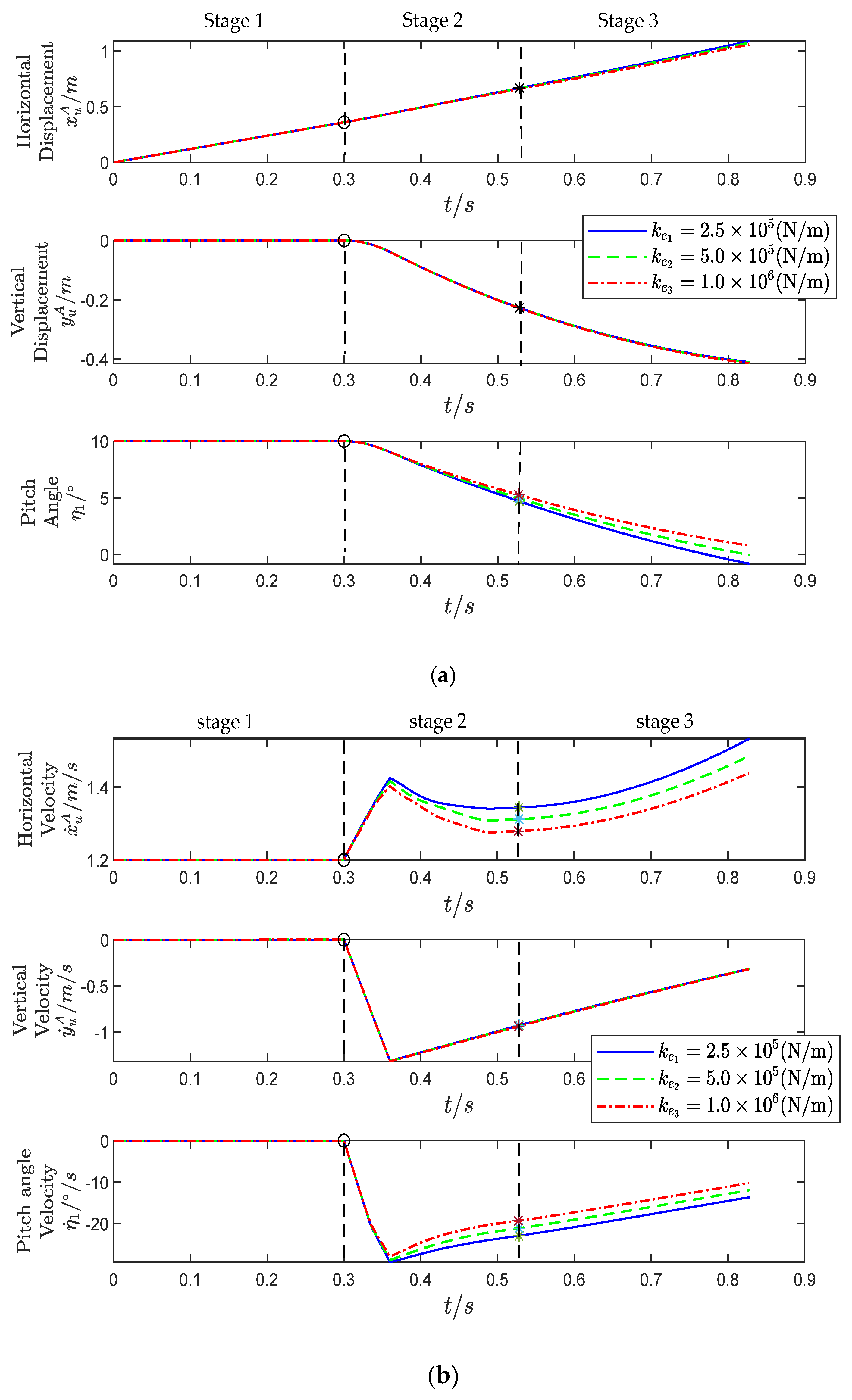
4.2. Influence of Elastic Gasket Stiffness on the Multi-Vehicle System
4.3. Influence of Elastic Gasket Distribution on the Multi-Vehicle System
5. Conclusions
- During the separation process, the pitching attitude of the sub-vehicle is negatively correlated with the variation in elastic constraint stiffness, while the load is positively correlated with it. This contradictory correlation posed challenges in parameter design.
- When the total stiffness of the elastic gaskets remained constant, changes in the number of elastic gaskets had a minimal impact on the sub-vehicle’s motion state during separation, but significantly affected the load fluctuations on the sub-vehicle, leading to structural vibration issues.
- The analysis method established in this paper is capable of quickly assessing the safety impact of different elastic gasket schemes on the separation of underwater vehicles and reveals the influence patterns of parameter changes on motion and load characteristics, thereby facilitating the optimization of design parameters.
Author Contributions
Funding
Data Availability Statement
Conflicts of Interest
References
- Liu, Y.; Chen, L.; Su, Q.; Liu, C.; Lai, M. Research on the development and combat application of foreign underwater unmanned vehicle. Ship Sci. Technol. 2020, 42, 1–7. [Google Scholar]
- Zhang, X.; Hua, J. Study on the development and application of foreign extra-large unmanned underwater vehicles. Chin. J. Ship Res. 2024, 19, 17–27. [Google Scholar]
- Zhong, H. Review and Prospect of Equipment and Techniques for Unmanned Undersea Vehicle in Foreign Countries. J. Unmanned Undersea Syst. 2017, 25, 215–225. [Google Scholar]
- Chen, X. Study on Automatic Navigation System of Unmanned Underwater Vehicles. Master’s Thesis, Dalian Maritime University, Dalian, China, 2008. [Google Scholar]
- Chen, J.; Han, Y.; Li, R.; Zhang, Y.; He, Z. Coupling Dynamics Study on Multi-Body Separation Process of Underwater Vehicles. Drones 2024, 8, 533. [Google Scholar] [CrossRef]
- Han, Y.; Yin, W.; Zhang, Y. Aircraft-Rocket Coupling Dynamics for Gravity Air-Launch Without Launching Tube. J. Nanjing Univ. Aeronaut. Astronaut. 2022, 54, 311–320. [Google Scholar]
- Han, Y.; Yin, W.; Zhang, Y. Aircraft-Rocket Coupling Dynamics for Internally Carried Gravity Air-Launch Method. J. Nanjing Univ. Aeronaut. Astronaut. 2020, 52, 963–971. [Google Scholar]
- Wang, X.; Rui, X.; Yang, F.; Zhou, Q. Launch dynamics modeling and simulation of vehicular missile system. J. Guid. Control Dyn. 2018, 41, 1370–1379. [Google Scholar] [CrossRef]
- Zhang, D.; Wang, C.; Shen, Y.; Wei, Y.; Xu, H. Dynamic modeling and motion prediction of two projectiles launched successively underwater. Ocean Eng. 2024, 292, 116551. [Google Scholar] [CrossRef]
- Weiland, C.J.; Vlachos, P.P.; Yagla, J.J. Concept analysis and laboratory observations on a water piercing missile launcher. Ocean Eng. 2010, 37, 959–965. [Google Scholar] [CrossRef]
- Shang, S.-C.; Sun, J.-Z. Research on the Affection of the Underwater Missile Launching Process. In Proceedings of the 3rd International Conference on Mechanical and Electronics Engineering (ICMEE 2011), Hefei, China, 23–25 September 2011; pp. 2594–2599. [Google Scholar]
- Wang, Y.; Lin, T.; Jiang, H. Numerical analysis for water-exit trajectory of submarine-launched UUV. In Proceedings of the 2018 International Conference on Mathematics, Modelling, Simulation and Algorithms (MMSA 2018), Chengdu, China, 25–26 March 2018; pp. 276–279. [Google Scholar]
- Tan, D. Modeling and Simulation for Underwater Trajectory of the Submarine Horizontal Launched Vehicle on the Condition of Ignition Failure. J. Ordnance Equip. Eng. 2018, 39, 16–20. [Google Scholar]
- Cheng, Y.-S.; Liu, H. Mathematical modeling of fluid flows for underwater missile launch. J. Hydrodyn. 2006, 18, 481–486. [Google Scholar]
- Zhang, H.; Lu, H.; Pei, Y.; Ye, J.; Zou, Z. Numerical investigation to vertical launching of submarine launching missile. Chin. J. Hydrodyn. 2010, 25, 406–415. [Google Scholar]
- Wang, Z.; Gu, H.; Lang, J.; Xing, L. Safety Analysis of Initial Separation Phase for AUV Deployment of Mission Payloads. J. Mar. Sci. Eng. 2024, 12, 608. [Google Scholar] [CrossRef]
- Li, W.; Zhang, Z.; Lu, J.; Li, Z.; Wang, C. Investigations on the flow characteristics and the structural response of the launch tube during the underwater launching process. Ocean Eng. 2023, 279, 114603. [Google Scholar] [CrossRef]
- Lv, B.; Huang, B.; Peng, L. 21. Research on the uncertain factors to the control of submarine during missile launching process. Ship Sci. Technol. 2017, 39, 185–189, 193. [Google Scholar]
- Brito, M.; Canelas, R.B.; García-Feal, O.; Domínguez, J.M.; Crespo, A.J.C.; Ferreira, R.M.L.; Neves, M.G.; Teixeira, L. A Numerical Tool for Modelling Oscillating Wave Surge Converter with Nonlinear Mechanical Constraints. Renew. Energy 2020, 146, 2024–2043. [Google Scholar]
- Brito, M.; Bernardo, F.; Neves, M.G.; Neves, D.R.C.B.; Crespo, A.J.C.; Domínguez, J.M. Numerical Model of Constrained Wave Energy Hyperbaric Converter under Full-Scale Sea Wave Conditions. J. Mar. Sci. Eng. 2022, 10, 1489. [Google Scholar] [CrossRef]
- Li, J. Navigation Safety Analysis of Submarine after Underwater Vehicle Launching. Master’s Thesis, Harbin Engineering University, Harbin, China, 2022. [Google Scholar]
- Wu, W. Fluid Mechanics, 2nd ed.; Peking University Press: Beijing, China, 2021. [Google Scholar]
- Zhao, T.; Dai, J. Dynamics and coupling actuation of elastic underactuated manipulators. J. Robot. Syst. 2003, 20, 135–146. [Google Scholar]
















| Model Parameters | Meanings | Superscript and Subscript | Meanings |
|---|---|---|---|
| Mass of UUV | Corresponding coordinate system | ||
| Mass of sub-vehicle | UUV, sub-vehicle, launch tube | ||
| Pitch moment of inertia of UUV | Water | ||
| Pitch moment of inertia of sub-vehicle | The bottom center of sub-vehicle | ||
| Radius of launch tube | Engine of UUV | ||
| Radius of sub-vehicle | Elastic gasket | ||
| Water density |
| Model Parameters | Value | Motion State Parameters | Value |
|---|---|---|---|
| 5975 | 10 | ||
| 1195 | 0.8866 | ||
| 9497.4 | 0 | ||
| 2050 | 0 | ||
| 145,600 | 40.42 | ||
| 0.06 | 4470.44 |
| Location | Number of Elastic Gaskets | The Average Compression in the Bottom | The Average Compression in the Middle | The Average Compression in the Top |
|---|---|---|---|---|
| Left elastic gasket | 0.5 mm | 1.74 mm | 9.37 mm | |
| 0.5 mm | 1.92 mm | 9.46 mm | ||
| 0.5 mm | 1.96 mm | 9.58 mm | ||
| Right elastic gasket | 4.23 mm | 9.23 mm | 3.56 mm | |
| 4.21 mm | 8.57 mm | 3.44 mm | ||
| 4.21 mm | 8.54 mm | 3.42 mm |
Disclaimer/Publisher’s Note: The statements, opinions and data contained in all publications are solely those of the individual author(s) and contributor(s) and not of MDPI and/or the editor(s). MDPI and/or the editor(s) disclaim responsibility for any injury to people or property resulting from any ideas, methods, instructions or products referred to in the content. |
© 2025 by the authors. Licensee MDPI, Basel, Switzerland. This article is an open access article distributed under the terms and conditions of the Creative Commons Attribution (CC BY) license (https://creativecommons.org/licenses/by/4.0/).
Share and Cite
Chen, J.; Han, Y.; Li, R.; He, Z.; Zhang, Y. Research on the Coupling Dynamics Characteristics of Underwater Multi-Body Separation Considering the Influence of Elastic Constraints. J. Mar. Sci. Eng. 2025, 13, 627. https://doi.org/10.3390/jmse13040627
Chen J, Han Y, Li R, He Z, Zhang Y. Research on the Coupling Dynamics Characteristics of Underwater Multi-Body Separation Considering the Influence of Elastic Constraints. Journal of Marine Science and Engineering. 2025; 13(4):627. https://doi.org/10.3390/jmse13040627
Chicago/Turabian StyleChen, Jiahui, Yanhua Han, Ruofan Li, Zhenmin He, and Yong Zhang. 2025. "Research on the Coupling Dynamics Characteristics of Underwater Multi-Body Separation Considering the Influence of Elastic Constraints" Journal of Marine Science and Engineering 13, no. 4: 627. https://doi.org/10.3390/jmse13040627
APA StyleChen, J., Han, Y., Li, R., He, Z., & Zhang, Y. (2025). Research on the Coupling Dynamics Characteristics of Underwater Multi-Body Separation Considering the Influence of Elastic Constraints. Journal of Marine Science and Engineering, 13(4), 627. https://doi.org/10.3390/jmse13040627

