Impact of Internal Solitary Wave on Acoustic Propagation Based on Coupled Normal Mode Theory
Abstract
1. Introduction
2. Materials and Methods
2.1. Environmental Model Construction
2.2. Coupled Normal Mode Theory
3. Results
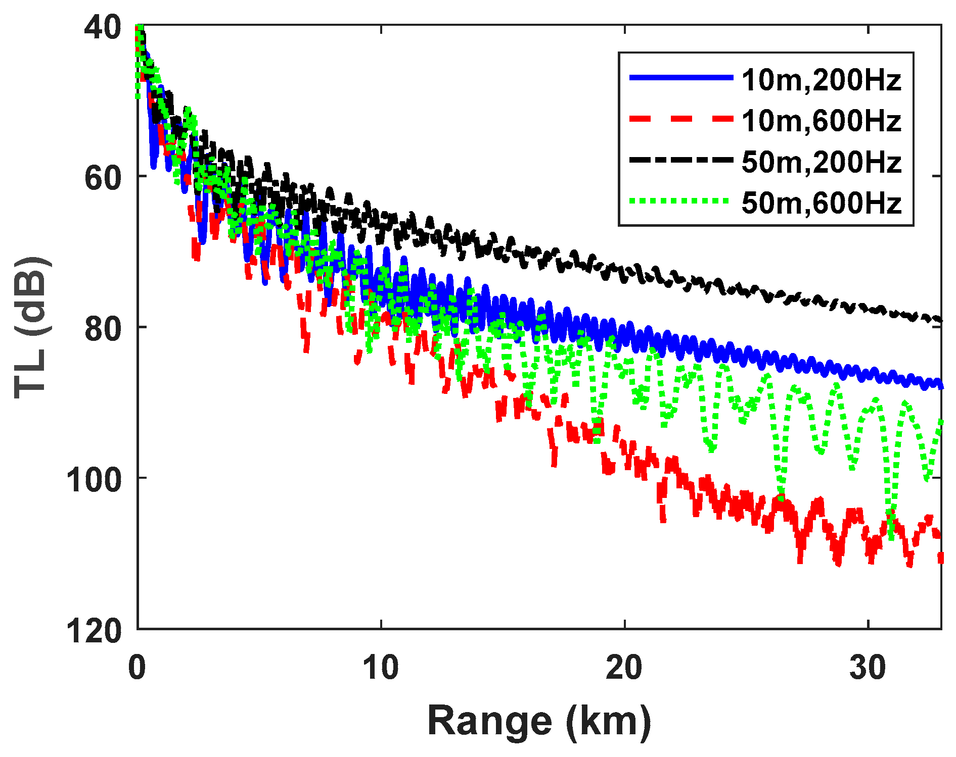
3.1. Impact of the Sound Source
3.2. Impact of ISW Characteristics
3.2.1. ISW Numbers
3.2.2. ISW Amplitudes
3.2.3. ISW Polarity
3.3. Impact of Moving ISW
4. Discussion
5. Conclusions
Author Contributions
Funding
Institutional Review Board Statement
Informed Consent Statement
Data Availability Statement
Conflicts of Interest
References
- Bourgault, D.; Galbraith, P.S.; Chavanne, C. Generation of internal solitary waves by frontally forced intrusions in geophysical flows. Nat. Commun. 2016, 7, 13606. [Google Scholar] [CrossRef]
- Syamsudin, F.; Taniguchi, N.; Zhang, C.; Hanifa, A.D.; Li, G.; Chen, M.; Mutsuda, H.; Zhu, Z.N.; Zhu, X.H.; Nagai, T.; et al. Observing internal solitary waves in the Lombok Strait by coasta acoustic tomography. Geophys. Res. Lett. 2019, 46, 10475–10483. [Google Scholar] [CrossRef]
- Jia, T.; Liang, J.; Li, X.M.; Sha, J. SAR observation and numerical simulation of internal solitary wave refraction and reconnection behind the Dongsha Atoll. J. Geophys. Res. Oceans 2018, 123, 74–89. [Google Scholar] [CrossRef]
- Huthnance, J.M. Internal tides and waves near the continental shelf edge. Geophys. Astrophys. Fluid Dyn. 1989, 48, 81–106. [Google Scholar] [CrossRef]
- Rouseff, D.; Turgut, A.; Wolf, S.N.; Finette, S.; Orr, M.H.; Pasewark, B.H.; Apel, J.R.; Badiey, M.; Chiu, C.S.; Headrick, R.H.; et al. Coherence of acoustic modes propagating through shallow water internal waves. J. Acoust. Soc. Am. 2002, 111, 1655–1666. [Google Scholar] [CrossRef] [PubMed]
- Headrick, R.H.; Lynch, J.F.; Kemp, J.N.; Newhall, A.E.; von der Heydt, K.; Apel, J.R.; Badiey, M.; Chiu, C.S.; Finette, S.; Orr, M.H.; et al. Acoustic normal mode fluctuation statistics in the 1995 SWARM internal wave scattering experiment. J. Acoust. Soc. Am. 2000, 107, 201–220. [Google Scholar] [CrossRef] [PubMed]
- Zhou, J.X.; Zhang, X.Z.; Rogers, P.H. Resonant interaction of sound wave with internal solitons in the coastal zone. J. Acoust. Soc. Am. 1991, 90, 2042–2054. [Google Scholar] [CrossRef]
- Badiey, M.; Katsnelson, B.G.; Lynch, J.F.; Pereselkov, S. Frequency dependence and intensity fluctuations due to shallow water internal waves. J. Acoust. Soc. Am. 2007, 122, 747–760. [Google Scholar] [CrossRef]
- Duda, T.F. Acoustic mode coupling by nonlinear internal wave packets in a shelfbreak front area. IEEE Ocean. Eng. 2004, 29, 118–125. [Google Scholar] [CrossRef]
- Duda, T.F.; Preisig, J.C. A modeling study of acoustic propagation through moving shallow-water solitary wave packets. IEEE Ocean. Eng. 1999, 24, 16–32. [Google Scholar] [CrossRef]
- Preisig, J.C.; Duda, T.F. Coupled acoustic mode propagation through continental-shelf internal solitary waves. IEEE Ocean. Eng. 1997, 22, 256–269. [Google Scholar] [CrossRef]
- Headrick, R.H.; Lynch, J.F.; Kemp, J.N.; Newhall, A.E.; von der Heydt, K.; Apel, J.; Badiey, M.; Chiu, C.S.; Finette, S.; Orr, M.H.; et al. Modeling mode arrivals in the 1995 SWARM experiment acoustic transmissions. J. Acoust. Soc. Am. 2000, 107, 221–236. [Google Scholar] [CrossRef]
- Gao, F.; Hu, P.; Xu, F.; Li, Z.; Qin, J. Effects of Internal Waves on Acoustic Temporal Coherence in the South China Sea. J. Mar. Sci. Eng. 2023, 11, 374. [Google Scholar] [CrossRef]
- Katsnelson, B.G.; Grigorev, V.; Badiey, M.; Lynch, J.F. Temporal sound field fluctuations in the presence of internal solitary waves in shallow water. J. Acoust. Soc. Am. 2009, 126, EL41–EL48. [Google Scholar] [CrossRef]
- Badiey, M.; Katsnelson, B.G.; Lynch, J.F.; Pereselkov, S.; Siegmann, W.L. Measurement and modeling of three-dimensional sound intensity variations due to shallow-water internal waves. J. Acoust. Soc. Am. 2005, 117, 613–625. [Google Scholar] [CrossRef] [PubMed]
- Luo, J.; Badiey, M.; Karjadi, E.; Katsnelson, B.; Tskhoidze, A.; Lynch, J.; Moum, J.N. Observation of sound focusing and defocusing due to propagating nonlinear internal waves. J. Acoust. Soc. Am. 2008, 124, EL66–EL72. [Google Scholar] [CrossRef] [PubMed]
- Lynch, J.F.; Lin, Y.-T.; Duda, T.F.; Newhall, A.E. Acoustic ducting, reflection, refraction, and dispersion by curved nonlinear internal waves in shallow water. IEEE Ocean. Eng. 2010, 35, 12–27. [Google Scholar] [CrossRef]
- Lin, Y.-T.; Duda, T.F.; Lynch, J.F. Acoustic mode radiation from the termination of a truncated nonlinear internal gravity wave duct in a shallow ocean area. J. Acoust. Soc. Am. 2009, 126, 1752–1765. [Google Scholar] [CrossRef] [PubMed]
- Apel, J.R.; Ostrovsky, L.A.; Stepanyants, Y.A.; Lynch, J.F. Internal solitons in the ocean and their effect on underwater sound. J. Acoust. Soc. Am. 2007, 121, 695–722. [Google Scholar] [CrossRef] [PubMed]
- Dozier, L.; Tappert, F. Statistics of normal mode amplitudes in a random ocean. I. Theory. J. Acoust. Soc. Am. 1978, 63, 353–365. [Google Scholar] [CrossRef]
- Dozier, L.; Tappert, F. Statistics of normal mode amplitudes in a random ocean. II. Computations. J. Acoust. Soc. Am. 1978, 64, 533–547. [Google Scholar] [CrossRef]
- Yang, T.C. Acoustic mode coupling induced by nonlinear internal waves: Evaluation of the mode coupling matrices and applications. J. Acoust. Soc. Am. 2014, 135, 610–625. [Google Scholar] [CrossRef]
- Craig, W.; Guyenne, P.; Sulem, C. The surface signature of internal waves. J. Fluid Mech. 2012, 710, 277–303. [Google Scholar] [CrossRef]
- Jiang, Y.; Grigorev, V.A.; Katsnel’son, B.G. Sound Field Fluctuations in Shallow Water in the Presence of Moving Nonlinear Internal Waves. J. Mar. Sci. Eng. 2022, 10, 119. [Google Scholar] [CrossRef]
- Liu, J.; Piao, S.; Gong, L.; Zhang, M.; Guo, Y.; Zhang, S. The Effect of Mesoscale Eddy on the Characteristic of Sound Propagation. J. Mar. Sci. Eng. 2021, 9, 787. [Google Scholar] [CrossRef]
- Gao, F.; Xu, F.; Li, Z.; Qin, J.; Zhang, Q. Acoustic propagation uncertainty in internal wave environments using an ocean-acoustic joint model. Chin. Phys. B 2023, 32, 034302. [Google Scholar] [CrossRef]
- Liu, R.; Li, Z. Effects of rough surface on sound propagation in shallow water. Chin. Phys. B 2019, 28, 014302. [Google Scholar] [CrossRef]
- Chiu, L.Y.S.; Reeder, D.B.; Chang, Y.-Y.; Chen, C.-F.; Chiu, C.-S.; Lynch, J.F. Enhanced acoustic mode coupling resulting from an internal solitary wave approaching the shelfbreak in the South China Sea. J. Acoust. Soc. Am. 2013, 133, 1306–1319. [Google Scholar] [CrossRef] [PubMed]









| Classification | Source Depth | Source Frequency |
|---|---|---|
| Situation 1 | 10 m | 200 Hz |
| Situation 2 | 10 m | 600 Hz |
| Situation 3 | 50 m | 200 Hz |
| Situation 4 | 50 m | 600 Hz |
| LADS | LADP | SADS | LAES | |
|---|---|---|---|---|
| 12 m | 86.8 dB | 84.5 dB (−2.65%) | 96.6 dB (11.29%) | 94.4 dB (8.76%) |
| 40 m | 81.3 dB | 71.6 dB (−11.93%) | 67.4 dB (−17.10%) | 65.4 dB (−19.56%) |
| Depth average | 87.1 dB | 83.7 dB (−3.90%) | 83.8 dB (−3.79%) | 82.2 dB (−5.63%) |
Disclaimer/Publisher’s Note: The statements, opinions and data contained in all publications are solely those of the individual author(s) and contributor(s) and not of MDPI and/or the editor(s). MDPI and/or the editor(s) disclaim responsibility for any injury to people or property resulting from any ideas, methods, instructions or products referred to in the content. |
© 2025 by the authors. Licensee MDPI, Basel, Switzerland. This article is an open access article distributed under the terms and conditions of the Creative Commons Attribution (CC BY) license (https://creativecommons.org/licenses/by/4.0/).
Share and Cite
Liu, Z.; Zhang, Y.; Gao, F.; Zhang, Y.; Wang, Y.; Hong, M. Impact of Internal Solitary Wave on Acoustic Propagation Based on Coupled Normal Mode Theory. J. Mar. Sci. Eng. 2025, 13, 189. https://doi.org/10.3390/jmse13020189
Liu Z, Zhang Y, Gao F, Zhang Y, Wang Y, Hong M. Impact of Internal Solitary Wave on Acoustic Propagation Based on Coupled Normal Mode Theory. Journal of Marine Science and Engineering. 2025; 13(2):189. https://doi.org/10.3390/jmse13020189
Chicago/Turabian StyleLiu, Zhuolong, Yongchui Zhang, Fei Gao, Yunxiang Zhang, Yang Wang, and Mei Hong. 2025. "Impact of Internal Solitary Wave on Acoustic Propagation Based on Coupled Normal Mode Theory" Journal of Marine Science and Engineering 13, no. 2: 189. https://doi.org/10.3390/jmse13020189
APA StyleLiu, Z., Zhang, Y., Gao, F., Zhang, Y., Wang, Y., & Hong, M. (2025). Impact of Internal Solitary Wave on Acoustic Propagation Based on Coupled Normal Mode Theory. Journal of Marine Science and Engineering, 13(2), 189. https://doi.org/10.3390/jmse13020189

