Visualization of Flap Length Effects on the Keying Process of Plate Anchors in Transparent Soil
Abstract
1. Introduction
2. Materials and Methods
2.1. Transparent Soil Material and Properties
2.2. SEPLA Model Anchors
2.3. Experimental Setup
2.4. Experimental Procedure
2.5. PIV Analysis
3. Results and Discussion
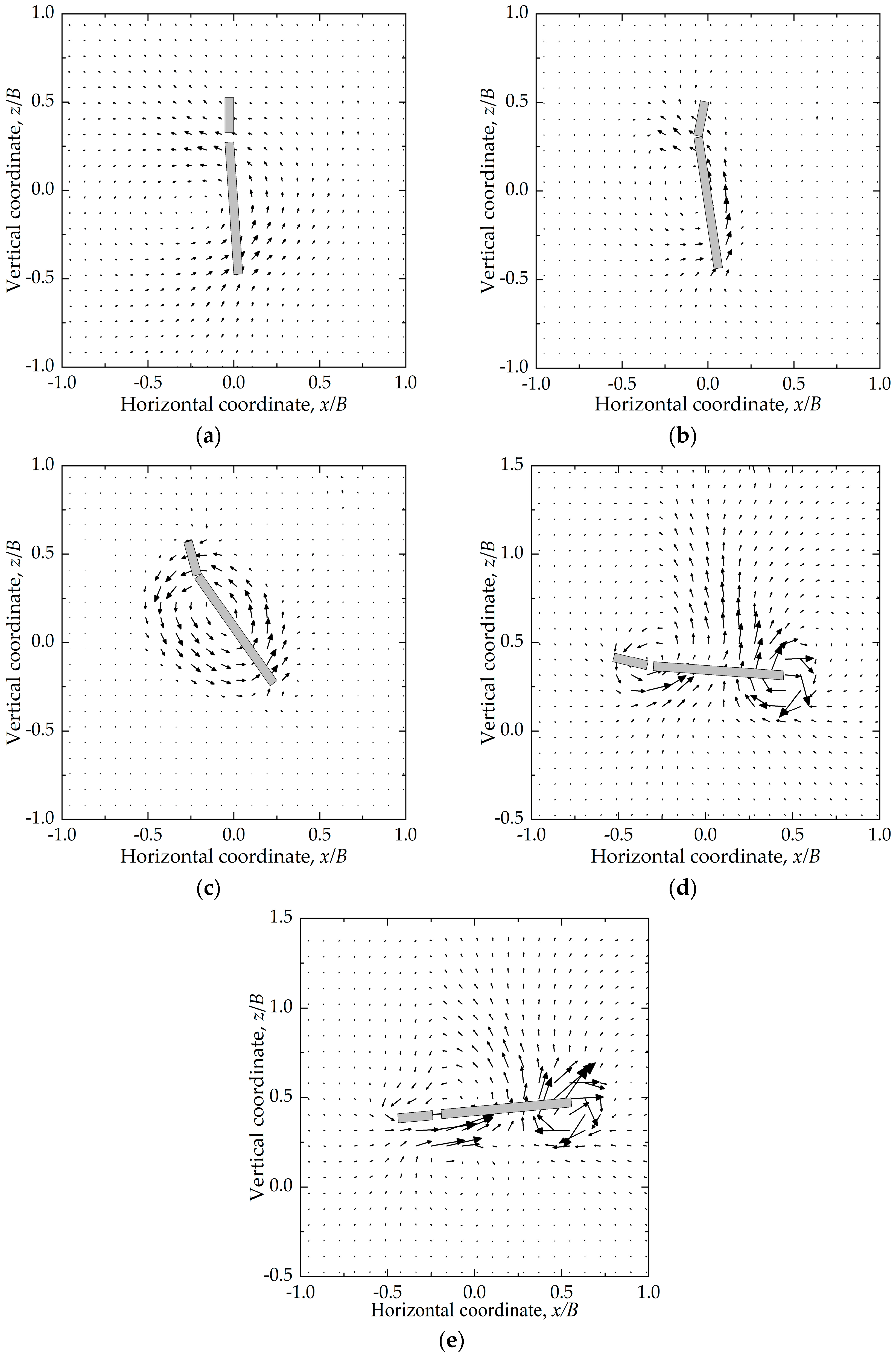
3.1. Keying Kinematics of Anchor with Inwardly Rotating Keying Flaps
3.2. Anchor Trajectories During Keying
3.3. Anchor Rotation and Loss of Embedment
3.4. Soil Resistance and Loss of Embedment
- Stage I: Initial Mobilization (A0–A1). The anchor exhibited limited vertical displacement, while Nc increased rapidly, reflecting the elastic response of the surrounding soil.
- Stage II: Plateau Phase (A1–A3). Nc remained approximately constant as embedment loss progressed.
- Stage III: Peak Resistance (A3–A5). With continued vertical displacement, Nc increased again and eventually reached a peak, marking the completion of the keying process.
- Stage IV: Post-Peak Decline (after A5). Following the peak, Nc gradually decreased with increasing embedment loss.
3.5. Failure Mechanisms
4. Conclusions
Author Contributions
Funding
Data Availability Statement
Acknowledgments
Conflicts of Interest
References
- Dove, P.; Treu, H.; Wilde, B. Suction embedded plate anchor (SEPLA): A new anchoring solution for ultra-deepwater mooring. In Proceedings of the Deep Offshore Technology Conference, Houston, TX, USA, 4–7 May 1998. [Google Scholar]
- Wei, Q.; Cassidy, M.J.; Tian, Y.; Gaudin, C. Incorporating shank resistance into prediction of the keying behavior of suction embedded plate anchors. J. Geotech. Geoenviron. Eng. 2015, 141, 04014080. [Google Scholar] [CrossRef]
- Zhou, Z.; O’Loughlin, C.D.; White, D.J.; Stanier, S.A. Improvements in plate anchor capacity due to cyclic and maintained loads combined with consolidation. Géotechnique 2020, 70, 732–749. [Google Scholar] [CrossRef]
- Yi, J.T.; Lin, H.N.; Cheng, Q.Q.; Liu, W.H.; Ding, L.; Li, X.B.; Yang, Q.S. A large deformation finite element investigation of SEPLA: Failure mechanism and bearing capacities when loaded differently. Appl. Ocean Res. 2024, 143, 103864. [Google Scholar] [CrossRef]
- Maitra, S.; Tian, Y.; Cassidy, M.J.; Cassidy, M. An efficient approach to tackle the challenges of LDFE modelling of plate anchor-chain system during installation process. Comput. Geotech. 2024, 166, 105974. [Google Scholar] [CrossRef]
- Wilde, B.; Treu, H.; Fulton, T. Field testing of suction embedded plate anchors. In Proceedings of the 11th International Offshore and Polar Engineering Conference, Stavanger, Norway, 17–22 June 2001. [Google Scholar]
- Song, Z.; Hu, Y.; O’Loughlin, C.D.; Randolph, M.F. Loss in anchor embedment during plate anchor keying in clay. J. Geotech. Geoenviron. Eng. 2009, 135, 1475–1485. [Google Scholar] [CrossRef]
- Randolph, M.F.; Gaudin, C.; Gourvenec, S.M.; White, D.J.; Boylan, N.; Cassidy, M.J. Recent advances in offshore geotechnics for deep water oil and gas developments. Ocean Eng. 2011, 38, 818–834. [Google Scholar] [CrossRef]
- Gaudin, C.; O’Loughlin, C.D.; Randolph, M.F.; Lowmass, A.C. Influence of the installation process on the performance of suction embedded plate anchors. Géotechnique 2006, 56, 381–391. [Google Scholar] [CrossRef]
- Gaudin, C.; Tham, K.H.; Ouahsine, S. Keying of plate anchors in NC clay under inclined loading. Int. J. Offshore Pol. Eng. 2009, 19, 135–142. [Google Scholar]
- O’Loughlin, C.D.; Lowmass, A.; Gaudin, C.; Randolph, M.F. Physical modelling to assess keying characteristics of plate anchors. In Proceedings of the 6th International Conference on Physical Modelling in Geotechnics, Hong Kong, China, 4–6 August 2006. [Google Scholar]
- Cassidy, M.J.; Gaudin, C.; Randolph, M.F.; Wong, P.C.; Wang, D.; Tian, Y. A plasticity model to assess the keying of plate anchors. Géotechnique 2012, 62, 825–836. [Google Scholar] [CrossRef]
- Tian, Y.; Randolph, M.F.; Cassidy, M.J. Analytical solution for ultimate embedment depth and potential holding capacity of plate anchors. Géotechnique 2015, 65, 517–530. [Google Scholar] [CrossRef]
- Peng, M.; Yin, Z.Y. An elastoplastic model for predicting kinematics and trajectories of suction-embedded plate anchors under eccentric loading in clay. J. Geotech. Geoenviron. Eng. 2024, 150, 04024044. [Google Scholar] [CrossRef]
- Wang, D.; Hu, Y.; Randolph, M.F. Keying of rectangular plate anchors in normally consolidated clays. J. Geotech. Geoenviron. Eng. 2011, 137, 1244–1253. [Google Scholar] [CrossRef]
- Tian, Y.; Gaudin, C.; Randolph, M.F.; Cassidy, M.J. Influence of padeye offset on bearing capacity of three-dimensional plate anchors. Can. Geotech. J. 2015, 52, 682–693. [Google Scholar] [CrossRef]
- Cheng, L.; Niu, F.; Hossain, M.S.; Wang, Q.; Kim, Y. Effect of padeye offset ratio on keying behaviours and capacity of square plate anchors in clay. Ocean Eng. 2024, 304, 117902. [Google Scholar] [CrossRef]
- Gaudin, C.; Simkin, M.; White, D.J.; O’Loughlin, C.D. Experimental investigation into the influence of a keying flap on the keying behaviour of plate anchors. In Proceedings of the 20th International Offshore and Polar Engineering Conference, Beijing, China, 20–26 June 2010. [Google Scholar]
- Wang, D.; Gaudin, C.; Randolph, M.F. Large deformation finite element analysis investigating the performance of anchor keying flap. Ocean Eng. 2013, 59, 107–116. [Google Scholar] [CrossRef]
- Tian, Y.; Gaudin, C.; Cassidy, M.J.; Randolph, M.F. Considerations on the design of keying flap of plate anchors. J. Geotech. Geoenviron. Eng. 2013, 139, 1156–1164. [Google Scholar] [CrossRef]
- Liu, J.; Lu, L.; Yu, L. Keying behavior of suction embedded plate anchors with flap in clay. Ocean Eng. 2017, 131, 231–243. [Google Scholar] [CrossRef]
- Tian, Y.; Gaudin, C.; Cassidy, M.J. Improving plate anchor design with a keying flap. J. Geotech. Geoenviron. Eng. 2014, 140, 04014009. [Google Scholar] [CrossRef]
- Pierozan, R.C.; Almikati, A.; Araujo, G.L.S.; Zornberg, J.G. Optical and physical properties of laponite for use as clay surrogate in geotechnical models. Geotech. Test. J. 2022, 45, 79–100. [Google Scholar] [CrossRef]
- Wallace, J.F.; Rutherford, C.J. Geotechnical Properties of Laponite RD®. Geotech. Test. J. 2015, 38, 574–587. [Google Scholar] [CrossRef]
- Almikati, A.; Pierozan, R.C.; Sadek, S.; Zornberg, J.G. Geotechnical characterization of Laponite as transparent clay surrogate. Geotech. Test. J. 2023, 46, 535–558. [Google Scholar] [CrossRef]
- Ads, A.; Bless, S.; Iskander, M. Shape effects on penetration of dynamically installed anchors in a transparent marine clay surrogate. Acta Geotech. 2023, 18, 3043–3059. [Google Scholar] [CrossRef]
- Ads, A.; Iskander, M.; Bless, S.; Omidvar, M. Effect of fin width on torpedo anchor penetration and pullout using model tests with transparent soils. Ocean Eng. 2024, 298, 117247. [Google Scholar] [CrossRef]
- Nanda, S.; Fanning, J.; Sivakumar, V.; Gavin, K.; Donohue, S.; Tripathy, S.; Black, J.A. Drag Anchor Behaviour in Soft Clay Deposits: Model Investigation in Transparent Clay Surrogate and Analytical Predictions. Can. Geotech. J. 2025, 62, 1–19. [Google Scholar] [CrossRef]
- Finnie, I.M.S.; Randolph, M.F. Punch-through and liquefaction induced failure of shallow foundations on calcareous sediments. In Proceedings of the 17th International Conference on the Behavior of Offshore Structures, Oxford, UK, 12–15 July 1994. [Google Scholar]
- ASTM D2435/D2435M-11; Standard Test Methods for One-Dimensional Consolidation Properties of Soils Using Incremental Loading. ASTM International: West Conshohocken, PA, USA, 2020.
- Martin, C.M.; Randolph, M.F. Upper bound analysis of lateral pile capacity in cohesive soil. Géotechnique 2006, 56, 141–145. [Google Scholar] [CrossRef]
- Merifield, R.S.; Lyamin, A.V.; Sloan, S.W.; Yu, H.S. Three-dimensional lower bound solutions for stability of plate anchors in clay. J. Geotech. Geoenviron. Eng. 2003, 129, 243–253. [Google Scholar] [CrossRef]
- Gaudin, C.; Tham, K.H.; Ouahsine, S. Plate anchor failure mechanism during keying process. In Proceedings of the 18th International Offshore and Polar Engineering Conference, Vancouver, BC, Canada, 6–11 July 2008. [Google Scholar]
- Stanier, S.A.; Blaber, J.; Take, W.A.; White, D.J. Improved image-based deformation measurement for geotechnical applications. Can. Geotech. J. 2016, 53, 727–739. [Google Scholar] [CrossRef]
- Song, Z.; Hu, Y.; Wang, D.; O’Loughlin, C.D. Pullout capacity and rotational behavior of square anchors. In Proceedings of the 6th International Conference on Physical Modelling in Geotechnics, Hong Kong, China, 4–6 August 2006. [Google Scholar]













| Property | Value |
|---|---|
| Reflective index | 1.336 |
| Density, ρ | 1100 kg/m3 |
| Consolidation coefficient, cv | 0.076 m2/yr |
| Permeability, k | 7.66 × 10−9 m/s |
Disclaimer/Publisher’s Note: The statements, opinions and data contained in all publications are solely those of the individual author(s) and contributor(s) and not of MDPI and/or the editor(s). MDPI and/or the editor(s) disclaim responsibility for any injury to people or property resulting from any ideas, methods, instructions or products referred to in the content. |
© 2025 by the authors. Licensee MDPI, Basel, Switzerland. This article is an open access article distributed under the terms and conditions of the Creative Commons Attribution (CC BY) license (https://creativecommons.org/licenses/by/4.0/).
Share and Cite
Zhang, C.; Zheng, X.; Zhang, W.; Zhang, B.; Liu, Z. Visualization of Flap Length Effects on the Keying Process of Plate Anchors in Transparent Soil. J. Mar. Sci. Eng. 2025, 13, 2247. https://doi.org/10.3390/jmse13122247
Zhang C, Zheng X, Zhang W, Zhang B, Liu Z. Visualization of Flap Length Effects on the Keying Process of Plate Anchors in Transparent Soil. Journal of Marine Science and Engineering. 2025; 13(12):2247. https://doi.org/10.3390/jmse13122247
Chicago/Turabian StyleZhang, Chunhui, Xiaoming Zheng, Wenlong Zhang, Bowei Zhang, and Zirong Liu. 2025. "Visualization of Flap Length Effects on the Keying Process of Plate Anchors in Transparent Soil" Journal of Marine Science and Engineering 13, no. 12: 2247. https://doi.org/10.3390/jmse13122247
APA StyleZhang, C., Zheng, X., Zhang, W., Zhang, B., & Liu, Z. (2025). Visualization of Flap Length Effects on the Keying Process of Plate Anchors in Transparent Soil. Journal of Marine Science and Engineering, 13(12), 2247. https://doi.org/10.3390/jmse13122247

