DLC-Organized Tower Base Forces and Moments for the IEA-15 MW on a Jack-up-Type Support (K-Wind): Integrated Analyses and Cross-Code Verification
Abstract
1. Introduction
2. Materials and Methods
2.1. Turbine and Substructure Models
2.2. Environmental Conditions and Design Load Cases (DLCs)
2.3. Steady-State Operating Points and Controller
2.4. Constant-Wind Cross-Code Benchmark (Production and Parked)
2.5. Post-Processing of Stochastic Realizations and ULS Envelope Post-Processing and Statistical Treatment
3. Results
3.1. Steady-State Response
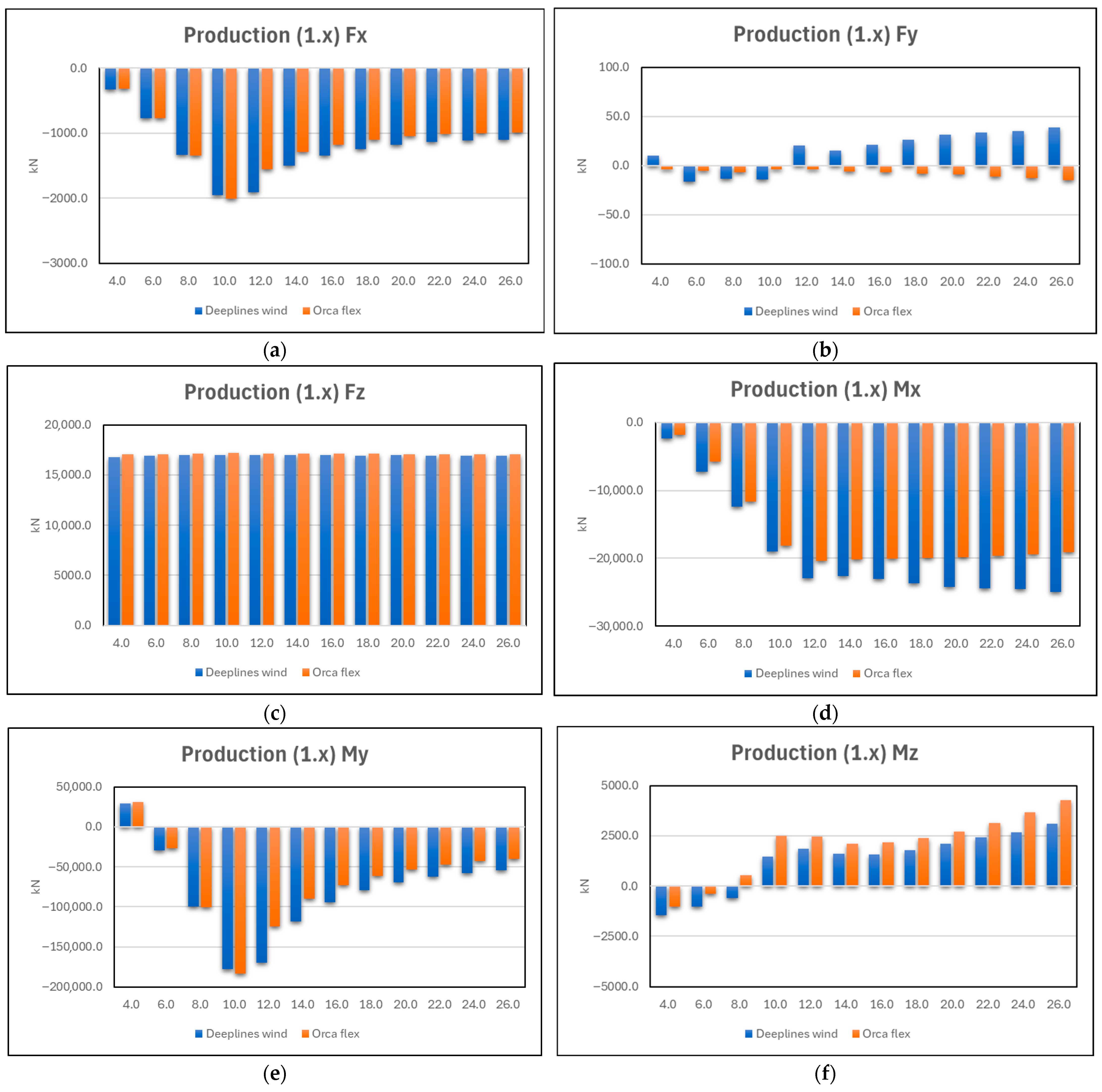
3.2. Constant-Wind Production Benchmark (Deeplines Wind vs. OrcaFlex)
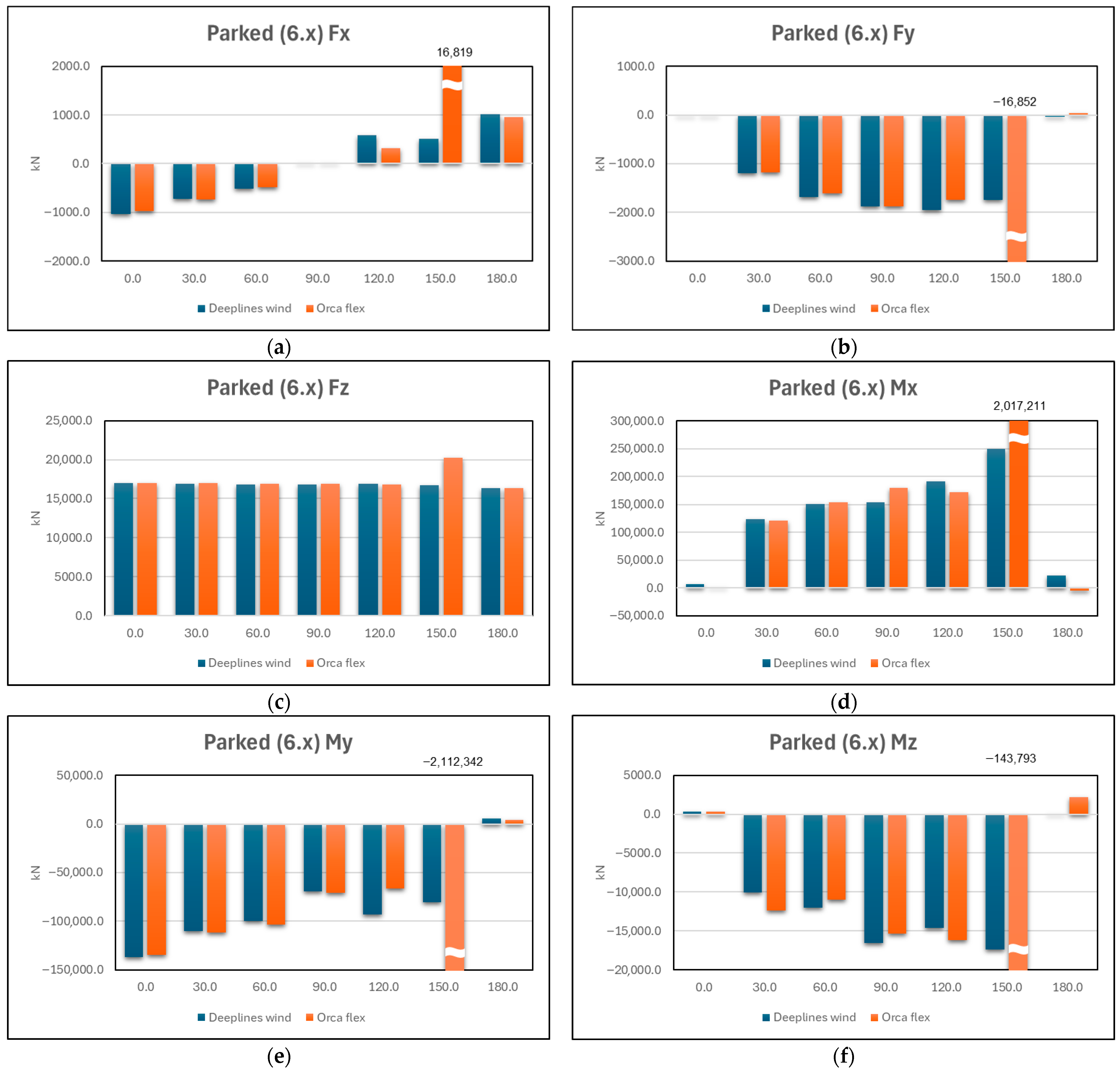
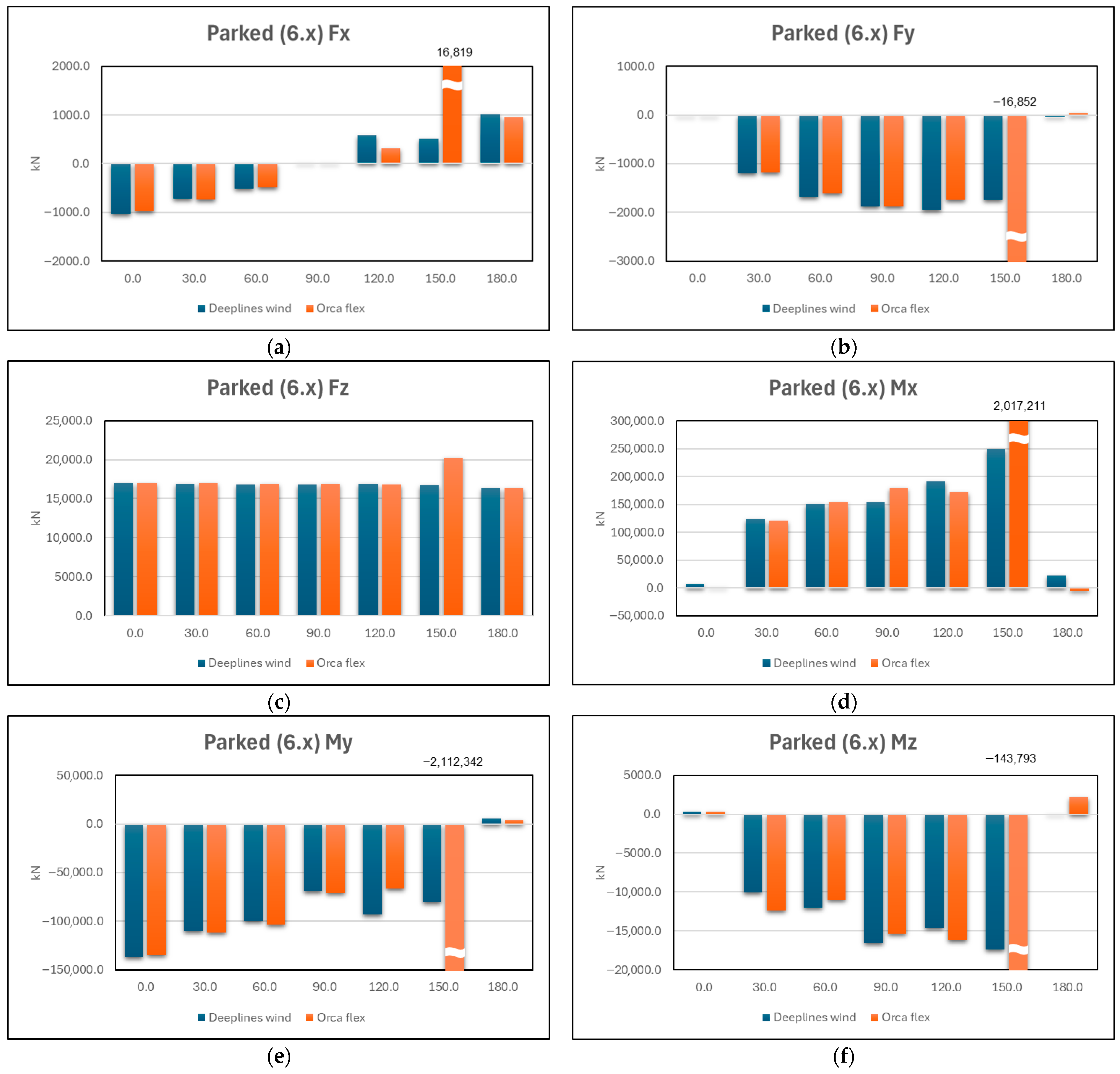
3.3. Constant-Wind Parked Benchmark (Deeplines Wind vs. OrcaFlex)
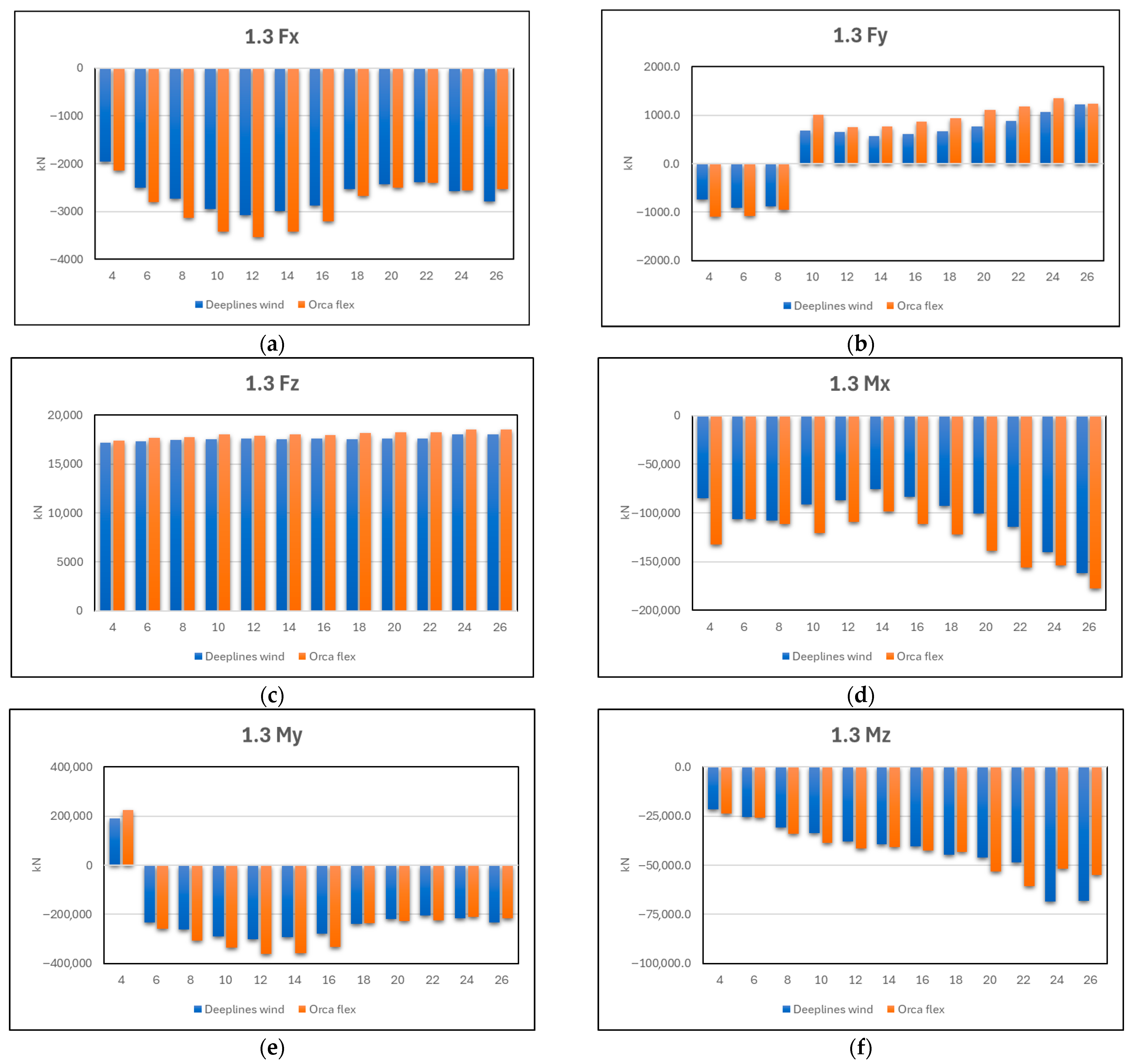
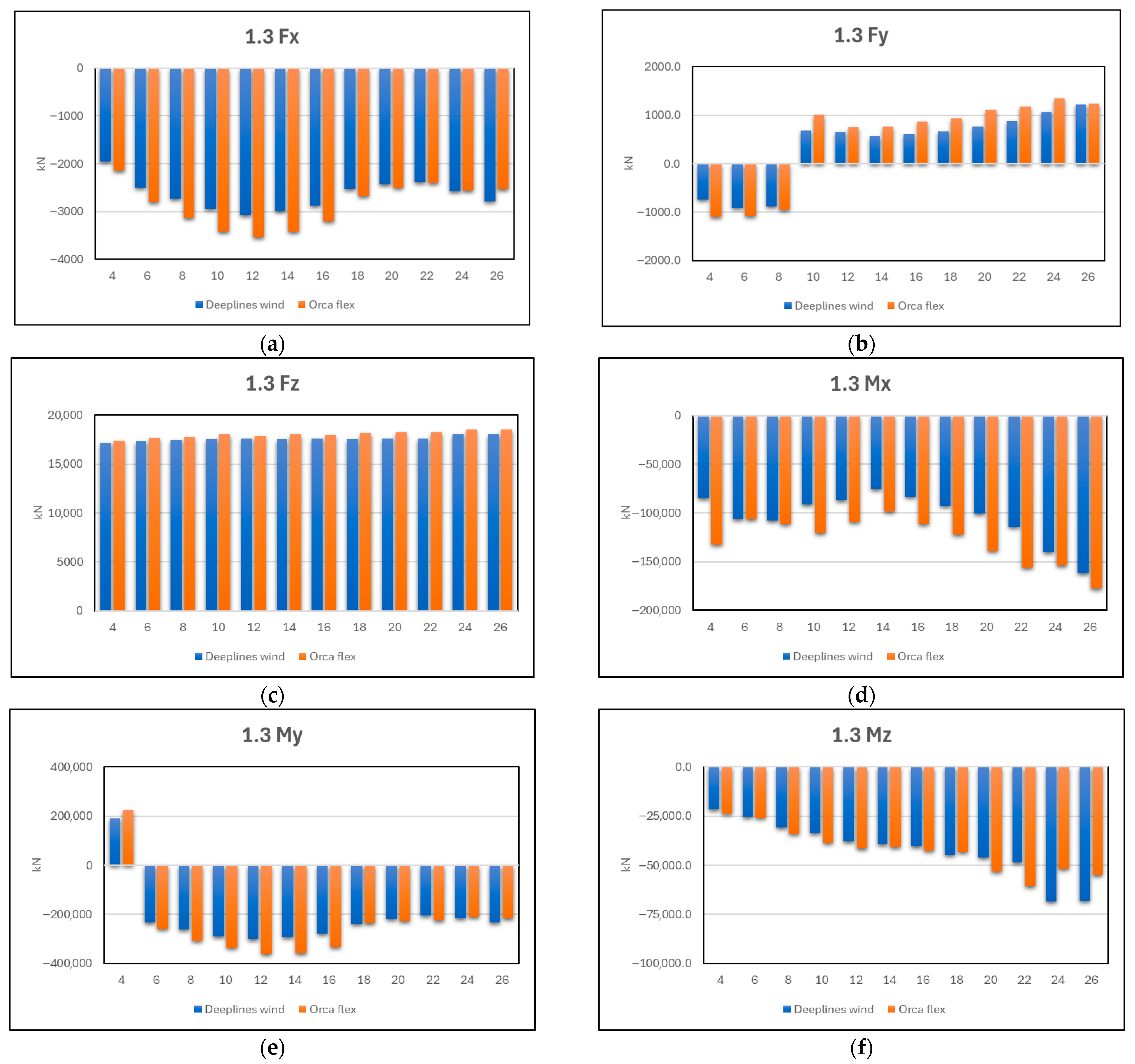
3.4. ULS Tower Base Loads Under DLC 1.3
3.5. ULS Tower Base Loads Under DLC 1.4
3.6. ULS Tower Base Loads Under DLC 6.1
3.7. ULS Tower Base Loads Under DLC 6.2
4. Discussion
4.1. Constant-Wind (Production 1.x; Parked 6.x)
4.2. DLC 1.3 (Production with ETM)
4.3. DLC 1.4 (Production with ECD)
4.4. DLC 6.1 (Parked/Idling with EWM, Directional Sweep)
4.5. DLC 6.2 (Parked/Idling with EWM, Wind, and Nacelle Heading Yaw Error)
5. Conclusions
Author Contributions
Funding
Data Availability Statement
Conflicts of Interest
Abbreviations
| DLC | Design Load Case |
| ULS | Ultimate Limit State |
| FLS | Fatigue Limit State |
| RNA | Rotor Nacelle Assembly |
| LCOE | Levelized Cost of Energy |
| WTIV | Wind Turbine Installation Vessels |
| IEA | International Energy Agency |
| RWT | Reference Wind Turbine |
| IEC | International Electrotechnical Commission |
| ROSCO | Reference Open-Source Controller for Wind Turbines |
| NTM | Normal Turbulence Model |
| ETM | Extreme Turbulence Model |
| EWM | Extreme Wind Model |
| ECD | Extreme Coherent Gust with Direction Change |
| NSS | Normal Sea State |
| ESS | Extreme Sea State |
| JONSWAP | Joint North Sea Wave Project spectrum |
| MSL | Mean Sea Level |
| TSR | Tip Speed Ratio |
| U, Vhub | Wind speed at hub height |
| Hs | Significant wave height |
| Tp | Peak spectral period |
| Vr | Rated wind speed |
| Δψ | Yaw misalignment |
References
- Veers, P.; Dykes, K.; Lantz, E.; Naughton, J.; Pao, L.; Paquette, J.; Robertson, A.; Robinson, M.; Ananthan, S.; Barlas, T.; et al. Grand Challenges in the Design, Manufacture, and Operation of Future Wind Turbine Systems. Wind. Energy Sci. 2023, 8, 1945–1984. [Google Scholar] [CrossRef]
- Gaertner, E.; Rinker, J.; Sethuraman, L.; Zahle, F.; Anderson, B.; Barter, G.; Abbas, N.; Meng, F.; Bortolotti, P.; Skrzypinski, W.; et al. IEA 15-MW Offshore Reference Wind Turbine; NREL/TP-5000-75698; National Renewable Energy Laboratory: Golden, CO, USA, 2020.
- IEC 61400-1:2019; Wind Energy Generation Systems—Part 1: Design Requirements. International Electrotechnical Commission: Geneva, Switzerland, 2019.
- IEC 61400-3-1:2019; Wind Energy Generation Systems—Part 3-1: Design Requirements for Fixed Offshore Wind Turbines. International Electrotechnical Commission: Geneva, Switzerland, 2019.
- DNV-ST-0437; Loads and Site Conditions for Wind Turbines. DNV: Oslo, Norway, 2024.
- DNV-RP-C205; Environmental Conditions and Environmental Loads. DNV: Oslo, Norway, 2019.
- Coulling, A.J.; Goupee, A.; Robertson, A.; Jonkman, J.; Dagher, H. Validation of a FAST Semi-Submersible Floating Wind Turbine Numerical Model with DeepCwind Test Data. J. Renew. Sustain. Energy 2013, 5, 023116. [Google Scholar] [CrossRef]
- Page, A.M.; Næss, V.; De Vaal, J.B.; Eiksund, G.R.; Nygaard, T.A. Impact of Foundation Modelling in Offshore Wind Turbines: Comparison Between Simulations and Field Data. Mar. Struct. 2019, 64, 379–400. [Google Scholar] [CrossRef]
- Wendt, F.F.; Robertson, A.N.; Jonkman, J.M. FAST Model Calibration and Validation of the OC5-DeepCwind Floating Offshore Wind System Against Wave Tank Test Data. Int. J. Offshore Polar Eng. 2019, 29, 15–23. [Google Scholar] [CrossRef]
- Wang, S.; Larsen, T.J.; Bredmose, H. Ultimate load analysis of a 10 MW offshore monopile wind turbine incorporating fully nonlinear irregular wave kinematics. Mar. Struct. 2021, 76, 102922. [Google Scholar] [CrossRef]
- Bergua, R.; Wiley, W.; Robertson, A.N.; Jonkman, J.; Brun, C.; Pineau, J.P.; Qian, Q.; Maoshi, W.; Beardsell, A.; Cutler, J.; et al. OC6 Project Phase IV: Validation of numerical models for novel floating offshore wind support structures. Wind. Energy Sci. 2024, 9, 1025–1051. [Google Scholar] [CrossRef]
- Abbas, N.; Zalkind, D.; Pao, L.Y.; Wright, A.D. A Reference Open-Source Controller for Wind Turbines (ROSCO). Wind. Energy Sci. 2020, 5, 1327–1346. [Google Scholar]
- NREL. ROSCO User Guide (Reference Open-Source Controller for Wind Turbines); National Renewable Energy Laboratory: Golden, CO, USA, 2021.
- Darling, H.; Schmidt, D.P.; Xie, S.; Sadique, J.; Koop, A.; Wang, L.; Wiley, W.; Archeli, R.B.; Robertson, A.N.; Tran, T.T. OC6 Phase IV: Validation of CFD Models for Stiesdal TetraSpar Floating Offshore Wind Platform. Wind. Energy Sci. 2024, 28, e2966. [Google Scholar] [CrossRef]
- DNV-RP-0286; Coupled Analysis of Floating Wind Turbines. DNV: Oslo, Norway, 2019.
- Yoshida, S.; Fekry, M. Influence of Excitation by Idling Rotor on Wind Turbine Ultimate Loads in Storm Conditions. Energies 2024, 17, 1030. [Google Scholar] [CrossRef]
- Hannesdóttir, Á.; Kelly, M.; Dimitrov, N. Extreme Wind Fluctuations: Joint Statistics, Extreme Turbulence, and Impact on Wind Turbine Loads. Wind. Energy Sci. 2019, 4, 325–350. [Google Scholar] [CrossRef]
- Papi, F.; Troise, G.; Behrens de Luna, R.; Saverin, J.; Perez-Becker, S.; Marten, D.; Ducasse, M.-L.; Bianchini, A. Quantifying the Impact of Modeling Fidelity on Different Substructure Concepts—Part 2: Code-to-Code Comparison in Realistic Environmental Conditions. Wind. Energy Sci. 2024, 9, 981–1004. [Google Scholar] [CrossRef]
















| Parameter | Unit | Value |
|---|---|---|
| Power rating | MW | 15 |
| Turbine Class | - | IEC Class 1B |
| Rotor diameter | m | 240 |
| Hub height | m | 150 |
| Cut-in wind speed | m/s | 3 |
| Rated wind speed | m/s | 10.59 |
| Cut-out wind speed | m/s | 25 |
| Maximum rotor speed | rpm | 7.56 |
| Wind Speed [m/s] | Hs [m] | Tp [s] |
|---|---|---|
| 4 | 1.14 | 9.58 |
| 6 | 1.38 | 10.15 |
| 8 | 1.33 | 7.82 |
| 10 | 1.68 | 7.92 |
| 12 | 1.95 | 7.84 |
| 14 | 2.52 | 8.86 |
| 16 | 3.08 | 9.68 |
| 18 | 3.67 | 10.28 |
| 20 | 4.46 | 11.07 |
| 22 | 4.91 | 11.37 |
| 24 | 5.45 | 15.70 |
| 26 | 6.10 | 13.00 |
| 46.8 (Extreme 50-y return) | 7.62 | 10.46 |
| DLC | Design Situation | Wind Condition | Wind Speed | Waves | Additional Setting | Seeds | Simulations |
|---|---|---|---|---|---|---|---|
| 1.3 | Power production | ETM | 4:2:26 | NSS Hs = E[Hs|Vhub] | 6 | 72 | |
| 1.4 | Power production | ECD | Vr, Vr ± 2 m/s | NSS Hs = E[Hs|Vhub] | ±direction change | 6 | 18 |
| 6.1 | Parked | EWM | V50 | ESS Hs = Hs,50 | Mean yaw misalignment of ±8° | 3 | 63 |
| 6.2 | Parked | EWM | V50 | ESS Hs = Hs,50 | Yaw misalignment of 0~180° | 3 | 216 |
| Wind Speed (m/s) | Wind Direction [deg] | Hs [m] | Tp [s] | Wave Direction [deg] | Current Speed [m/s] |
|---|---|---|---|---|---|
| 4 | 0 | 1.14 | 9.58 | 0 | 2.06 |
| 6 | 0 | 1.38 | 10.15 | 0 | 2.06 |
| 8 | 0 | 1.33 | 7.82 | 0 | 2.06 |
| 10 | 0 | 1.68 | 7.92 | 0 | 2.06 |
| 12 | 0 | 1.95 | 7.84 | 0 | 2.06 |
| 14 | 0 | 2.52 | 8.86 | 0 | 2.06 |
| 16 | 0 | 3.08 | 9.68 | 0 | 2.06 |
| 18 | 0 | 3.67 | 10.28 | 0 | 2.06 |
| 20 | 0 | 4.46 | 11.07 | 0 | 2.06 |
| 22 | 0 | 4.91 | 11.37 | 0 | 2.06 |
| 24 | 0 | 5.45 | 15.70 | 0 | 2.06 |
| 26 | 0 | 6.10 | 13.00 | 0 | 2.06 |
| Wind Speed (m/s) | Wind Direction Change [deg] | Gust Speed [m/s] | Hs [m] | Tp [s] | Wave Direction [deg] | Current Speed [m/s] |
|---|---|---|---|---|---|---|
| 8.6 | 83.72 | 15 | 1.33 | 7.82 | 0 | 2.06 |
| 10.6 | 67.92 | 15 | 1.33 | 7.82 | 0 | 2.06 |
| 12.6 | 57.14 | 15 | 1.33 | 7.82 | 0 | 2.06 |
| 8.6 | −83.72 | 15 | 1.33 | 7.82 | 0 | 2.06 |
| 10.6 | −67.92 | 15 | 1.33 | 7.82 | 0 | 2.06 |
| 12.6 | −57.14 | 15 | 1.33 | 7.82 | 0 | 2.06 |
| Wind Speed (m/s) | Wind Direction Change [deg] | Hs [m] | Tp [s] | Wave Direction [deg] | Current Speed [m/s] | Yaw Error [deg] |
|---|---|---|---|---|---|---|
| 46.8 | 0:30:180 | 7.62 | 10.46 | 0 | 2.56 | ±8° |
| Wind Speed (m/s) | Wind Direction Change [deg] | Hs [m] | Tp [s] | Wave Direction [deg] | Current Speed [m/s] | Yaw Error [deg] |
|---|---|---|---|---|---|---|
| 46.8 | 0:30:180 | 7.62 | 10.46 | 0 | 2.56 | 0:30:180 |
Disclaimer/Publisher’s Note: The statements, opinions and data contained in all publications are solely those of the individual author(s) and contributor(s) and not of MDPI and/or the editor(s). MDPI and/or the editor(s) disclaim responsibility for any injury to people or property resulting from any ideas, methods, instructions or products referred to in the content. |
© 2025 by the authors. Licensee MDPI, Basel, Switzerland. This article is an open access article distributed under the terms and conditions of the Creative Commons Attribution (CC BY) license (https://creativecommons.org/licenses/by/4.0/).
Share and Cite
Sung, J.-Y.; Park, C.-I.; Shin, M.-Y.; Koh, H.-J.; Lim, J.-S. DLC-Organized Tower Base Forces and Moments for the IEA-15 MW on a Jack-up-Type Support (K-Wind): Integrated Analyses and Cross-Code Verification. J. Mar. Sci. Eng. 2025, 13, 2077. https://doi.org/10.3390/jmse13112077
Sung J-Y, Park C-I, Shin M-Y, Koh H-J, Lim J-S. DLC-Organized Tower Base Forces and Moments for the IEA-15 MW on a Jack-up-Type Support (K-Wind): Integrated Analyses and Cross-Code Verification. Journal of Marine Science and Engineering. 2025; 13(11):2077. https://doi.org/10.3390/jmse13112077
Chicago/Turabian StyleSung, Jin-Young, Chan-Il Park, Min-Yong Shin, Hyeok-Jun Koh, and Ji-Su Lim. 2025. "DLC-Organized Tower Base Forces and Moments for the IEA-15 MW on a Jack-up-Type Support (K-Wind): Integrated Analyses and Cross-Code Verification" Journal of Marine Science and Engineering 13, no. 11: 2077. https://doi.org/10.3390/jmse13112077
APA StyleSung, J.-Y., Park, C.-I., Shin, M.-Y., Koh, H.-J., & Lim, J.-S. (2025). DLC-Organized Tower Base Forces and Moments for the IEA-15 MW on a Jack-up-Type Support (K-Wind): Integrated Analyses and Cross-Code Verification. Journal of Marine Science and Engineering, 13(11), 2077. https://doi.org/10.3390/jmse13112077

