Experimental Study on the Structural Dynamic Response of an Offshore Electrical Platform During Mating Process in Float-Over Installation
Abstract
1. Introduction
2. Experiments
2.1. Similarity Criterion
2.2. Physical Model
2.3. Experimental Setup
2.4. Test Conditions
3. Results
3.1. Effect of Collision Velocity
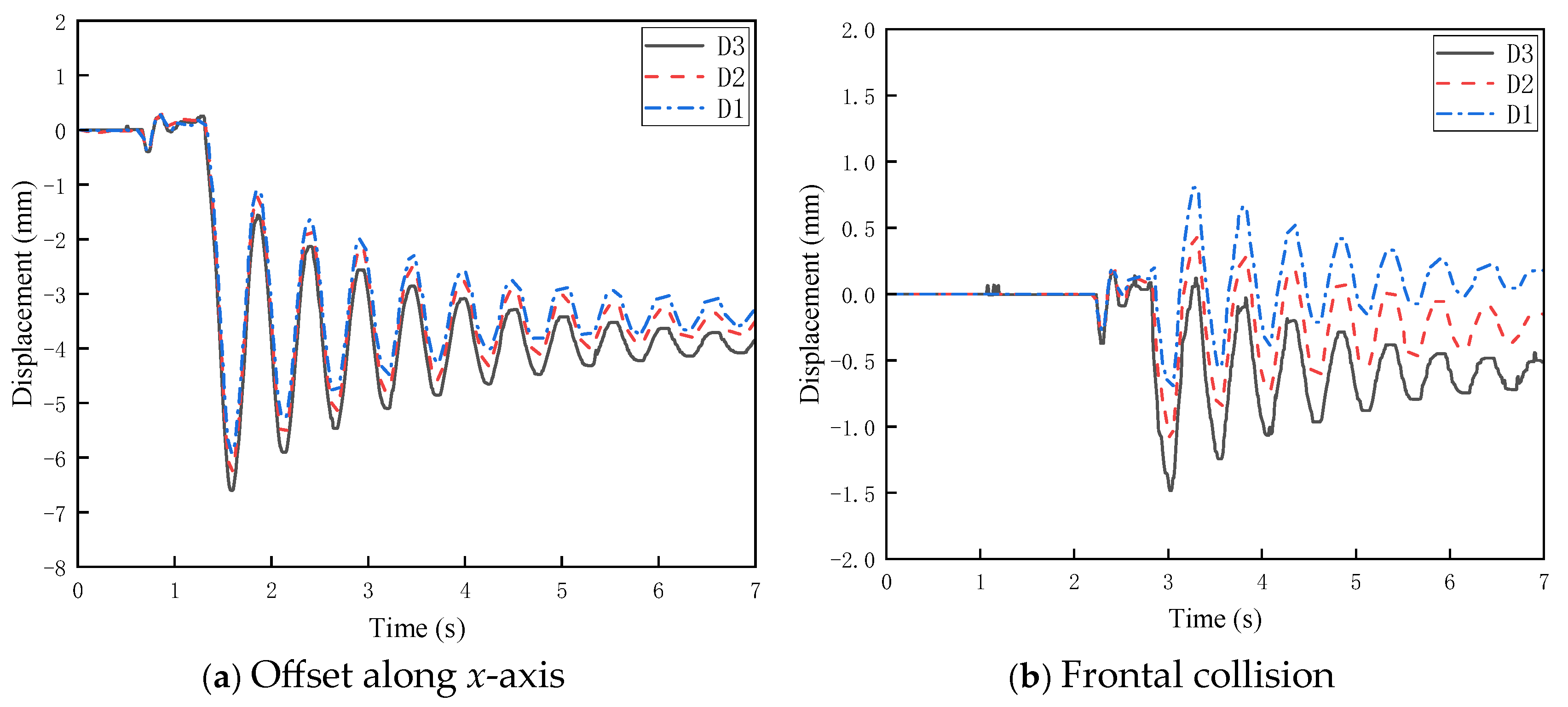
3.2. Effect of Topside Offset
3.3. Effect of LMU Stiffness
4. Discussion
5. Conclusions
Author Contributions
Funding
Data Availability Statement
Conflicts of Interest
References
- Su, X.; Wang, X.; Xu, W.; Yuan, L.; Xiong, C.; Chen, J. Offshore Wind Power: Progress of the Edge Tool, Which Can Promote Sustainable Energy Development. Sustainability 2024, 16, 7810. [Google Scholar] [CrossRef]
- Global Wind Energy Council. Global Offshore Wind Report 2020; GWEC: Brussels, Belgium, 2020; Volume 19, pp. 10–12. [Google Scholar]
- Guo, X.; Chen, X.; Chen, X.; Sherman, P.; Wen, J.; McElroy, M. Grid Integration Feasibility and Investment Planning of Offshore Wind Power under Carbon-Neutral Transition in China. Nat. Commun. 2023, 14, 2447. [Google Scholar] [CrossRef] [PubMed]
- Zhao, S.X.; Bi, C.W.; Sun, Z.Z. Engineering Analysis of the Dynamic Characteristics of an Electrical Jacket Platform of an Offshore Wind Farm under Seismic Loads. Appl. Ocean Res. 2021, 112, 102692. [Google Scholar] [CrossRef]
- Qin, L.C.; Bai, X.D.; Luo, H.B.; Li, H.L.; Ding, H.Y. Review on Recent Research and Technical Challenges of Floatover Installation Operation. Ocean Eng. 2022, 253, 111378. [Google Scholar] [CrossRef]
- Edelson, D.; Luo, M.Y.H.; Halkyard, J.; Smiley, D.; McFadyen, M.K. Kikeh Development: Spar Topside Floatover Installation. In Proceedings of the Offshore Technology Conference (OTC), Houston, TX, USA, 5–8 May 2008. Paper OTC-19639-MS. [Google Scholar]
- Edelson, D.; Halkyard, J.; Chen, L.; Chabot, L. Floatover Deck Installation on Spars. In Proceedings of the International Conference on Offshore Mechanics and Arctic Engineering, San Diego, CA, USA, 10–15 June 2007. Paper OMAE2007-29640. [Google Scholar]
- Hong, S.H.; McMorland, J.; Zhang, H.X.; Collu, M.; Halse, K.H. Floating Offshore Wind Farm Installation, Challenges and Opportunities: A Comprehensive Survey. Ocean Eng. 2024, 304, 117793. [Google Scholar] [CrossRef]
- O’Neill, L.A.; Fakas, E. Sensitivity Analysis of the Constraining Parameters of a Floatover Deck System. In Proceedings of the ISOPE International Ocean and Polar Engineering Conference, Perth, Australia, 23–28 May 2004. [Google Scholar]
- O’Neill, L.A.; Pinna, R.; Fakas, E.; Pinna, R.; Walsh, T. Floatover Deck Installation: Case Study—Structural Efficiency of Longitudinally and Transversely-Recessed Structures. In Proceedings of the International Conference on Offshore Mechanics and Arctic Engineering, Vancouver, BC, Canada, 20–25 June 2004. [Google Scholar]
- O’Neill, L.A.; Shaun, O.; Fakas, E. Parametric Investigation of the Stability of Vessels for Float-Over Deck Transportation. In Proceedings of the International Conference on Offshore Mechanics and Arctic Engineering, Oslo, Norway, 23–28 June 2002. [Google Scholar]
- O’Neill, L.A.; Fakas, E.; Cassidy, M. A Methodology to Simulate Floating Offshore Operations Using a Design Wave Theory. J. Offshore Mech. Arct. Eng. 2006, 128, 304–313. [Google Scholar] [CrossRef]
- O’Neill, L.A.; Fakas, E.; Cassidy, M. A Novel Application of Constrained NewWave Theory for Floatover Deck Installations. In Proceedings of the International Conference on Offshore Mechanics and Arctic Engineering, Vancouver, BC, Canada, 20–25 June 2004. [Google Scholar]
- Duquesnay, J.; Baldwin, J.; Rains, J.W. Docking and Undocking Considerations for Floatover Analyses and Operations. In Proceedings of the International Conference on Ocean, Nantes, France, 9–14 June 2013. [Google Scholar]
- Chu, N.; Cochrane, M.; Mobbs, K.; Mitchell, D. Results Comparison of Computer Simulation, Model Test and Offshore Installation for Wandoo Integrated Deck Float Over Installation. In Proceedings of the Offshore Technology Conference, Houston, TX, USA, 4–7 May 1998. Paper OTC-8614-MS. [Google Scholar]
- Koo, B.; Magee, N.; Lambrakos, N.; Beyko, E.; Sablok, A. Prediction of Motions and Loads for Floatover Installation of Spar Topsides. In Proceedings of the International Conference on Offshore Mechanics and Arctic Engineering, Shanghai, China, 6–11 June 2010. Paper OMAE2010-20591. [Google Scholar]
- Koo, B.; Magee, A.; Lambrakos, K.; Beyko, E.; Sablok, A. Model Tests for Floatover Installation of Spar Topsides. In Proceedings of the International Conference on Offshore Mechanics and Arctic Engineering, Shanghai, China, 6–11 June 2010. Paper OMAE2010-20590. [Google Scholar]
- Jung, J.J.; Lee, W.S.; Shin, H.S.; Kim, Y.H. Evaluating the Impact Load on the Offshore Platform during Float-Over Topside Installation. In Proceedings of the ISOPE International Ocean and Polar Engineering Conference, Osaka, Japan, 21–26 July 2009. [Google Scholar]
- Jung, S.J.; Kwak, H.U.; Oh, S.H.; Kwon, Y.J.; Nam, B.W.; Kim, N.W. Mating Analysis for Float-Over Installation of a Large Topside in Various Load Transfer Stages. In Proceedings of the ISOPE International Ocean and Polar Engineering Conference, Sapporo, Japan, 10–15 June 2018; pp. 944–948. [Google Scholar]
- Berhault, C.; Gubrin, P.; Foulhoux, L. Optimization of an Integrated Deck Installation Process Using a Fully Coupled Hydro-Structures Time-Domain Analysis. In Proceedings of the Offshore Technology Conference, Houston, TX, USA, 4–7 May 1998. Paper OTC-8617-MS. [Google Scholar]
- Tahar, A.; Halkyard, J.; Steen, A.; Finn, L. Float Over Installation Method: Numerical and Model Test Data. In Proceedings of the International Conference on Offshore Mechanics and Arctic Engineering, Vancouver, BC, Canada, 20–25 June 2004. [Google Scholar]
- Ji, C.; Halkyard, J. Spar Deck Float-Over Feasibility Study for West Africa Environment Condition. In Proceedings of the International Conference on Offshore Mechanics and Arctic Engineering, Hamburg, Germany, 4–9 June 2006; pp. 151–159. [Google Scholar]
- Tan, B.S.; Sahasrabudhe, S.; Haney, J.A.; Leow, B.L. Arthit Field Development: Float-over Hardware Design and Issues. In Proceedings of the Offshore Technology Conference, Houston, TX, USA, 5–8 May 2008. Paper OTC-19300-MS. [Google Scholar]
- Liu, F.; Li, H. A Two-Step Mode Shape Expansion Method for Offshore Jacket Structures with Physical Meaningful Modelling Errors. Ocean. Eng. 2013, 63, 26–34. [Google Scholar] [CrossRef]
- Liu, F.; Li, H.; Li, W.; Wang, B. Experiment Study of Improved Modal Strain Energy Method for Damage Localization in Jacket-Type Offshore Wind Turbines. Renew. Energy 2014, 72, 174–181. [Google Scholar] [CrossRef]
- Byle, S. Potential Failure Mechanisms in Floatover Deck Mating Systems. In Proceedings of the Offshore Technology Conference, Houston, TX, USA, 30 April–3 May 2007. Paper OTC-19047-MS. [Google Scholar]
- Hamilton, J.; French, R.; Penman, A.D. Topsides and Jacket Modeling for Floatover Installation Design. In Proceedings of the Offshore Technology Conference, Houston, TX, USA, 5–8 May 2008. Paper OTC-19227-MS. [Google Scholar]
- Xia, J.; Hayne, S.; Macfarlane, G.; Field, D.; Drobyshevski, Y. Investigation into Float-Over Installations of Minimal Platforms by Hydrodynamic Model Testing. In Proceedings of the International Conference on Offshore Mechanics and Arctic Engineering, Halkidiki, Greece, 12–17 June 2005. [Google Scholar]
- Kim, N.W.; Nam, B.W.; Kwon, Y.J.; Park, I.B.; Cho, S.K.; Sung, H.G. An Experimental Study on the Float-over Installation of a Semi-Submersible. In Proceedings of the International Conference on Offshore Mechanics and Arctic Engineering, Halkidiki, Greece, 12–17 June 2019. [Google Scholar]
- Gao, L.; Zhu, T.; Lin, B. Similarity Techniques in Structural Dynamic Model Testing. J. Dalian Univ. Technol. 2000, 40, 1–8. [Google Scholar]
- Zhu, T. Similarity Issues in Structural Dynamic Models and Structural Dynamic Testing Techniques. Ph.D. Thesis, Dalian University of Technology, Dalian, China, 2004. [Google Scholar]
- Sun, Z.Z.; Bi, C.W.; Zhao, S.X.; Dong, G.H.; Yu, H.F. Experimental Analysis on Dynamic Responses of an Electrical Platform for an Offshore Wind Farm under Earthquake Load. J. Mar. Sci. Eng. 2019, 7, 279. [Google Scholar] [CrossRef]
- Kim, T.K. Understanding One-Way ANOVA Using Conceptual Figures. Korean J. Anesthesiol. 2017, 70, 22–26. [Google Scholar] [CrossRef] [PubMed]















| Parameters | Similarity Relations | Similarity Scale Ratio |
|---|---|---|
| Length | λ | 65 |
| Area | λA | 749 |
| Volume | λ·λA | 48,685 |
| Density | λρ = 1 | 1 |
| Mass | λρ·λ·λA | 48,685 |
| Velocity | 8.06 | |
| Acceleration | λg = 1 | 1 |
| Time | 8.06 | |
| Frequency | 0.124 | |
| Force | λ3 | 274,625 |
| Moment | λ4 | 17,850,625 |
| Second Moment of Area | λA·λr2 | 3,898,903 |
| Mass Moment of Inertia | λ·λA·λr2 | 253,428,706 |
| Stress | λ4·λD·λA−1·λr−2 | 298 |
| Prototype Cross-Section | Prototype Model | Model Cross-Section Dimensions (mm) | Model Cross-Section |
|---|---|---|---|
| I-beam | H2200 × 800 × 30 × 60 | 43.9 × 8 | Rectangle (Height × Width) |
| H1500 × 500 × 24 × 48 | 29.5 × 5 | ||
| H700 × 300 × 11 × 24 | 14.3 × 3 | ||
| H600 × 200 × 11 × 17 | 11.5 × 2 | ||
| H500 × 200 × 10 × 16 | 9.8 × 2 | ||
| Circular Tube | P1500 × 44 | 24 × 3 | Circular Tube (Outer Diameter × Wall Thickness) |
| P1000 × 30 | 15 × 2 | ||
| P600 × 20 | 12 | Round Bar (Diameter) |
| Case No. | Model Collision Velocity (mm/s) | Prototype Value (m/s) |
|---|---|---|
| A1 | 10.0 | 0.080 |
| A2 | 12.5 | 0.101 |
| A3 | 15.0 | 0.121 |
| A4 | 17.5 | 0.141 |
| A5 | 20.0 | 0.161 |
| A6 | 22.5 | 0.181 |
| A7 | 25.0 | 0.202 |
| A8 | 27.5 | 0.222 |
| A9 | 30.0 | 0.242 |
| A10 | 32.5 | 0.262 |
| A11 | 35.0 | 0.282 |
| A12 | 37.5 | 0.302 |
| A13 | 40.0 | 0.322 |
| A14 | 42.5 | 0.343 |
| A15 | 45.0 | 0.363 |
| A16 | 47.5 | 0.383 |
| A17 | 50.0 | 0.403 |
| Case No. | Along x-Axis (mm) | Along y-Axis (mm) | Collision Velocity (mm/s) |
|---|---|---|---|
| B11 | 4 | 0 | 15 |
| B12 | 4 | 0 | 25 |
| B13 | 4 | 0 | 35 |
| B14 | 4 | 0 | 40 |
| B21 | 0 | 4 | 15 |
| B22 | 0 | 4 | 25 |
| B23 | 0 | 4 | 35 |
| B24 | 0 | 4 | 40 |
| B31 | −4 | 0 | 15 |
| B32 | −4 | 0 | 25 |
| B33 | −4 | 0 | 35 |
| B34 | −4 | 0 | 40 |
| B41 | 0 | −4 | 15 |
| B42 | 0 | −4 | 25 |
| B43 | 0 | −4 | 35 |
| B44 | 0 | −4 | 40 |
| B51 | 2.82 | 2.82 | 15 |
| B52 | 2.82 | 2.82 | 25 |
| B53 | 2.82 | 2.82 | 35 |
| B54 | 2.82 | 2.82 | 40 |
| B61 | 2.82 | −2.82 | 15 |
| B62 | 2.82 | −2.82 | 25 |
| B63 | 2.82 | −2.82 | 35 |
| B64 | 2.82 | −2.82 | 40 |
| B71 | −2.82 | 2.82 | 15 |
| B72 | −2.82 | 2.82 | 25 |
| B73 | −2.82 | 2.82 | 35 |
| B74 | −2.82 | 2.82 | 40 |
| B81 | −2.82 | −2.82 | 15 |
| B82 | −2.82 | −2.82 | 25 |
| B83 | −2.82 | −2.82 | 35 |
| B84 | −2.82 | −2.82 | 40 |
| Case No. | Vertical Stiffness of the LMU (kN/m) | Collision Velocity (mm/s) | |
|---|---|---|---|
| Prototype | Model | ||
| C11 | 8466 | 2.0 | 15 |
| C12 | 8466 | 2.0 | 25 |
| C13 | 8466 | 2.0 | 35 |
| C14 | 8466 | 2.0 | 40 |
| C15 | 8466 | 2.0 | 50 |
| C21 | 55,583 | 13.1 | 15 |
| C22 | 55,583 | 13.1 | 25 |
| C23 | 55,583 | 13.1 | 35 |
| C24 | 55,583 | 13.1 | 40 |
| C25 | 55,583 | 13.1 | 50 |
| C31 | 84,140 | 19.9 | 15 |
| C32 | 84,140 | 19.9 | 25 |
| C33 | 84,140 | 19.9 | 35 |
| C34 | 84,140 | 19.9 | 40 |
| C35 | 84,140 | 19.9 | 50 |
| Case No. | Peak Strain Response (με) | |||
|---|---|---|---|---|
| First Test | Second Test | Third Test | Mean | |
| A3 | 39.703 | 40.322 | 37.151 | 39.058 |
| A4 | 33.787 | 42.793 | 48.160 | 41.580 |
| A5 | 42.587 | 38.770 | 48.815 | 43.391 |
| A6 | 44.853 | 35.879 | 50.931 | 43.888 |
| A7 | 41.214 | 43.338 | 48.377 | 44.310 |
| A8 | 55.452 | 38.981 | 46.301 | 46.911 |
| A9 | 43.783 | 49.345 | 40.010 | 44.379 |
| A10 | 44.764 | 50.057 | 34.318 | 43.046 |
| A11 | 60.710 | 50.715 | 37.315 | 49.580 |
| A12 | 42.281 | 39.736 | 41.664 | 41.227 |
| A13 | 50.698 | 40.248 | 41.237 | 44.061 |
| A14 | 44.320 | 50.812 | 43.307 | 46.146 |
| A15 | 41.030 | 48.482 | 53.950 | 47.821 |
| A16 | 43.737 | 46.949 | 57.579 | 49.422 |
| A17 | 43.407 | 39.816 | 51.747 | 44.990 |
| Grand mean | 41.728 | |||
| MSA | 8.905 | |||
| MSE | 41.859 | |||
| F | 0.21 < F0.05(14,30) = 2.037 | |||
| P | 0.9983 | |||
Disclaimer/Publisher’s Note: The statements, opinions and data contained in all publications are solely those of the individual author(s) and contributor(s) and not of MDPI and/or the editor(s). MDPI and/or the editor(s) disclaim responsibility for any injury to people or property resulting from any ideas, methods, instructions or products referred to in the content. |
© 2025 by the authors. Licensee MDPI, Basel, Switzerland. This article is an open access article distributed under the terms and conditions of the Creative Commons Attribution (CC BY) license (https://creativecommons.org/licenses/by/4.0/).
Share and Cite
Wang, Y.; Zhang, B.; Shan, Z.; Sun, Z.; Chen, J.; Jiang, X.; Dong, G.; Bi, C. Experimental Study on the Structural Dynamic Response of an Offshore Electrical Platform During Mating Process in Float-Over Installation. J. Mar. Sci. Eng. 2025, 13, 2000. https://doi.org/10.3390/jmse13102000
Wang Y, Zhang B, Shan Z, Sun Z, Chen J, Jiang X, Dong G, Bi C. Experimental Study on the Structural Dynamic Response of an Offshore Electrical Platform During Mating Process in Float-Over Installation. Journal of Marine Science and Engineering. 2025; 13(10):2000. https://doi.org/10.3390/jmse13102000
Chicago/Turabian StyleWang, Yinfeng, Bo Zhang, Zongjun Shan, Zhenzhou Sun, Jiefeng Chen, Xu Jiang, Guohai Dong, and Chunwei Bi. 2025. "Experimental Study on the Structural Dynamic Response of an Offshore Electrical Platform During Mating Process in Float-Over Installation" Journal of Marine Science and Engineering 13, no. 10: 2000. https://doi.org/10.3390/jmse13102000
APA StyleWang, Y., Zhang, B., Shan, Z., Sun, Z., Chen, J., Jiang, X., Dong, G., & Bi, C. (2025). Experimental Study on the Structural Dynamic Response of an Offshore Electrical Platform During Mating Process in Float-Over Installation. Journal of Marine Science and Engineering, 13(10), 2000. https://doi.org/10.3390/jmse13102000
