Next Article in Journal
Investigation of Sediment Erosion of the Top Cover in the Francis Turbine Guide Vanes at the Genda Power Station
Previous Article in Journal
Exploring the Mediterranean: AUV High-Resolution Mapping of the Roman Wreck Offshore of Santo Stefano al Mare (Italy)
 
 
Font Type:
Arial Georgia Verdana
Font Size:
Aa Aa Aa
Line Spacing:
Column Width:
Background:
Article

Position Calibration of Shallow-Sea Hydrophone Arrays in Reverberant Environments

1
Ocean Acoustic Technology Laboratory, Institute of Acoustics, Chinese Academy of Sciences, Beijing 100190, China
2
University of Chinese Academy of Sciences, Beijing 101408, China
*
Author to whom correspondence should be addressed.
J. Mar. Sci. Eng. 2025, 13(10), 1922; https://doi.org/10.3390/jmse13101922
Submission received: 16 August 2025 / Revised: 30 September 2025 / Accepted: 4 October 2025 / Published: 7 October 2025

Abstract

To address the problem of shallow-sea hydrophone calibration, this paper proposes a shallow-sea hydrophone calibration algorithm for the horizontal and depth directions, respectively. In the horizontal direction, a calibration method combining an improved Particle Swarm Optimization (PSO) algorithm and the Time Difference Of Arrival (TDOA) algorithm is proposed. In the depth direction, a depth calibration formula using the time delay difference between Non-Line-of-Sight (NLOS) waves and Line-of-Sight (LOS) waves is put forward. By combining this with the proposed PSO algorithm, the PSO NLOS–LOS depth correction algorithm is obtained. The specific position of the hydrophone is determined by combining the algorithms for horizontal direction and depth. The advantages of the proposed algorithms are verified through simulations and experiments. Simulations show that in the horizontal direction, the proposed algorithm can reduce the average calibration error under different hydrophone array radii to 0.8690 m. In the depth direction, the specific propagation delay is unknown. Compared with the traditional depth calculation method, which requires the specific propagation delay to be known, the algorithm proposed in this paper can reduce the impact on depth calculation caused by delay deviation due to sound ray refraction; in addition, it provides stronger robustness and more accurate depth calibration in shallow sea environments. The new method shows significant improvement in the depth calculation process compared with the traditional algorithm, especially in terms of fault tolerance for errors in the horizontal direction. Experiments show that by combining the calibration algorithms proposed in this paper, the positioning accuracy of the hydrophone array is significantly improved and the average positioning error of the hydrophone array is reduced to within 12 m.

1. Introduction

Emphasis on oceanic research and development has increased in many countries due to the availability of abundant natural resources, including biological, mineral, and water resources. As countries around the world increasingly attach importance to the exploration and development of marine resources, marine exploration and development activities not only demonstrate huge economic potential but also profound strategic significance. In particular, underwater hydrophone arrays have emerged as a pivotal element in a wide range of oceanographic applications, including hydroacoustic positioning [1,2,3,4,5,6,7], seismic exploration [8], and wave observation [9]. In the context of hydroacoustic positioning, the conventional long-baseline positioning system employs more than three hydrophones with known positions on the seabed to determine the target’s location by calculating the distance between the seabed hydrophones and the target. The long-baseline positioning system exhibits superior accuracy compared to both ultra-short-baseline and short-baseline positioning systems; however, it is necessary to know the positions of the seabed hydrophones beforehand, and the accuracy of the positional calibration of the seabed hydrophones is directly related to the positioning accuracy of the long-baseline positioning system. Although considerable research has been conducted to enhance long-baseline positioning accuracy by addressing factors such as underwater sound propagation, Doppler effect suppression, and signal improvement, there is a consensus that positioning accuracy is limited by the positional accuracy, quantity, and distribution of seabed hydrophone arrays [7]. Therefore, the positional calibration of seabed hydrophones is of great significance.
The positional calibration of seabed hydrophone arrays has been the subject of scholarly study; the literature [10] includes a proposed methodology involving the use of a support ship equipped with transmitting sensors to circumnavigate the seafloor hydrophone. The specific position of the support ship is determined by measuring the bidirectional travel time between the seafloor hydrophone and an onboard sensor. Subsequently, the onboard GPS is utilized to infer the specific position information of the seafloor hydrophone. In [11], the authors proposed a high-precision method for calibrating the position of multi-assisted hydrophone arrays and investigated the influence of multi-directional calibration together with a multi-path compensation strategy.
An increasing number of researchers have focused on the application of metaheuristic algorithms within the field of hydroacoustic positioning and seabed hydrophone calibration, underpinned by traditional positioning principles. In [12], the authors adopted the PSO algorithm based on simulated annealing to estimate the target position, verifying that this method can better estimate the target position under low signal-to-noise ratio. In [13], a TDOA method was proposed based on PSO to locate the underwater target using a distributed multi-intelligence system, proving the validity of the method through simulation and experiment. In [14], the authors used the roles of TDOA in combination with the PSO algorithm and single TDOA algorithm in undersea hydrophone correction, verifying the significance of the PSO algorithm for undersea hydrophone correction through simulation. In [15], a beacon array calibration method was proposed based on the PSO algorithm. This method minimizes the error between the equivalent virtual long-baseline positioning trajectory and the support ship’s trajectory by iteratively optimizing the coordinates of each beacon. However, the extant literature on this subject is deficient in a number of ways. First, there is a lack of specific analysis in shallow-sea environments; second, the research related to hydrophone calibration lacks experimental data support; finally, no attention has been paid to the depth-direction positioning error when analyzing the positioning error.
Although the depth of the hydrophone is an overlooked research point in the calibration research of underwater hydrophones, whether or not the depth information of the hydrophone array is clearly known has a direct impact on the positioning accuracy of the hydrophone. In [16], the authors closely examined the impact on performance of the launch, acoustic source, target, and depth of the receiver in the context of underwater target detection. In [17], the authors emphasized the importance of underwater terrain-assisted navigation in providing accurate navigation results for the long-term operation of underwater vehicles. By using different cost functions, the authors of [18] proposed three methods to estimate the source depth by matching the normalized cross-spectral density, temporal envelope, and temporal delay of SCF. The proposed algorithm does not require prior distance information and is suitable for low-frequency wideband sources and environments with large negative sound velocity gradients. However, the algorithm error decreases with increasing bandwidth and is greatly affected by the sound velocity profile, horizontal spacing, etc. In [19], the authors proposed a low-cost and highly robust passive positioning algorithm based on a single hydrophone and interference structure. The objective was to achieve joint estimation of the target distance and depth by analyzing the interference fringes formed by the broadband signal radiated by the target in the time–frequency domain, as well as to reduce the dependence on prior knowledge of the underwater environment. Their proposal provides ideas for solving the passive positioning problem of vertically moving targets (such as rapidly rising underwater targets) in shallow water environments; however, thus far no relevant literature has proposed corresponding solutions for depth estimation of shallow sea hydrophones.
In recent years, scholarly attention has shifted towards the exploration of Non-Line-of-Sight (NLOS) signals in the domain of wireless and hydroacoustic positioning. Previous studies have mostly focused on suppressing NLOS waves and improving the signal-to-reverberation ratio. For example, ref. [20] proposed a reverberation suppression method based on signal temporal symmetry and center-symmetric arrays. By designing symmetrical waveforms and optimizing beamforming algorithms, the Signal-to-Reverberation Ratio (SRR) is enhanced, thereby improving the accuracy of target azimuth estimation. This method is of great help in improving the accuracy of underwater acoustic positioning. On the other hand, an increasing number of researchers are no longer confined to the suppression of multipath signal interference in traditional methods, but have turned to exploring how to utilize NLOS (Non-Line-of Sight) signals to effectively improve the accuracy of positioning systems. In [21], the authors proposed improving the accuracy of Ultra-Wideband (UWB) indoor positioning systems by classifying LOS (Line-of Sight) and NLOS (Non-Line-of Sight) signals. In [22], the authors investigated the problem of acoustic indoor positioning in dense NLOS environments by using distance and relative velocity measurements obtained from received acoustic signals; in addition, they utilized the principles of the distance- and relative velocity-based localization methods to propose a basic solution based on the Least-Squares Estimator (LSE) and its closed-form realization for accurate localization in dense NLOS environments. The authors of [23] utilized LOS wave- and surface-reflected NLOS ranging information to locate a deviated node, building on previous work that classified LOS and surface reflected NLOS links by employing homomorphic inverse filtering to recover the channel containing link information. In [24], a novel single-beacon navigation method was proposed based on Direct Signal (DS) and Surface-Reflected Signal (SRS) time delays. Accuracy analyses demonstrated that the proposed DS-SRS-based method was able to achieve higher navigation accuracy than the DS-based method. In [25], the authors presented a robust three-dimensional Received Signal Strength Difference (RSSD) localization algorithm under Gaussian mixture noise in Underwater Wireless Sensor Networks (UWSN) with Non-Line-of-Sight (NLOS) paths. Simulation results showed that their proposed method had higher localization accuracy than existing methods. In consideration of the extant research results and of contemporary progress and development trends within this field, it is evident that there is an absence of research pertaining to the depth correction of seafloor hydrophones. Moreover, there is a challenge in precise acquisition of propagation time delay and depth information of hydrophones in certain seafloor hydrophone arrays, which is attributable to the paucity of auxiliary equipment such as synchronous clock, depth gauges, etc. It is particularly noteworthy that a special situation often occurs in shallow-sea areas, where the position of the seafloor hydrophone is fixed and the support ship line and transmitted signal strength are both easily adjustable within a certain range, namely, that there is an area where both LOS and NLOS waves with sufficiently large received signal-to-noise ratios coexist. This characteristic offers a novel approach to depth correction by leveraging the simultaneous existence of LOS and NLOS waves.
Thus, based on the findings of the preceding research, we propose a shallow-sea hydrophone correction method for reverberant environments. In terms of horizontal direction calibration, this paper combines the TDOA and PSO algorithms, with a view to improving the resulting positioning accuracy. With regard to depth correction, this paper uses the time delay difference between NLOS and LOS waves and the hydrophone horizontal position correction results, combining this with the relevant principles of the DOA algorithm in order to decipher the depth information of the hydrophone. The effectiveness of the algorithm under scrutiny is verified through simulation and experimentation.
The innovations of this paper are as follows:
(1)
This paper combines the Particle Swarm Optimization (PSO) algorithm with the Time Difference of Arrival (TDOA) algorithm to propose a horizontal calibration algorithm for seabed hydrophone arrays, then verifies the effectiveness of the proposed algorithm using experimental data.
(2)
Aiming to address the difficulty of depth correction in seabed hydrophone arrays, this paper utilizes the multipath signal propagation mode in shallow-sea environments to propose a depth correction formula based on the known time delay difference between LOS and NLOS waves together with the horizontal position of the hydrophone. We combine this formula with the PSO algorithm to obtain the proposed PSO NLOS–LOS depth correction algorithm, then verify the effectiveness of the proposed algorithm through simulations and experiments.
(3)
This paper compensates for the specific time delay of the signals received by seabed hydrophones based on the corrected three-dimensional position information of the seabed hydrophones and the GPS position information of the support ship, resulting in improved positioning accuracy of the seabed hydrophone array.
The rest of this paper is organized as follows: Section 2 presents the seabed hydrophone calibration model and introduces the horizontal calibration principle of the seabed hydrophone array, including the TDOA algorithm, the least-squares method for solving overdetermined systems of equations, and the PSO algorithm; Section 3 describes the algorithm for correcting the hydrophone depth using NLOS signals and conducts an error analysis; Section 4 provides a complete description of the algorithm proposed in this paper; Section 6 discusses the advantages and limitations of the algorithm proposed in this paper in combination with simulation and experimental results; finally, Section 7 summarizes and concludes the paper.

2. Analysis of System Model

2.1. Calibration Model of Underwater Hydrophone

A typical seabed hydrophone calibration experiment model is shown in Figure 1, where the support ship carrying the transmitting sound source is guided around the seabed hydrophone array; the trajectory is as indicated by the red dotted line. The support ship is equipped with differential GPS used to obtain accurate position information, and the signals received by the seabed hydrophone are transmitted to the coastal base station via fiber optic [14]. The GPS data and received signals are processed to calculate the time delay difference between the signals transmitted from the support ship to the hydrophone at different positions, and the seabed hydrophone array is calibrated.
Based on the typical calibration model combined with GPS data and the received signals of the seabed hydrophone, we successively calibrate the hydrophone in the horizontal direction and the depth direction. The general technical route used in this paper is shown in Figure 2.

2.2. Time Difference of Arrival Algorithm

Firstly, according to the TDOA algorithm, it is assumed that each hydrophone on the seafloor receives a total of N signals during a round by the support ship, the solution to which can be derived from Equation (1):
x x 1 2 + y y 1 2 + Δ z 2 = c 2 t 1 2 x x 2 2 + y y 2 2 + Δ z 2 = c 2 t 2 2 x x 3 2 + y y 3 2 + Δ z 2 = c 2 t 3 2 x x N 2 + y y N 2 + Δ z 2 = c 2 t N 2
where x i ( i = 1 , 2 , N ) represents the x axis of the i position of the support ship, y i ( i = 1 , 2 , N ) represents the y axis of the i position of the support ship, C represents the underwater speed of sound, t i ( i = 1 , 2 , N ) represents the propagation delay from the support ship to the hydrophone, and Δ z represents the difference between the depth of the hydrophone and the depth of the support ship.
The process of differencing the other formulas in Equation (1) with the initial formula gives rise to Equations (2) and (3). It should be noted that, in practical application, the first formula does not represent the first point in the simulation experiment; according to the actual situation and experiment, any formula can be selected to differ from the others.
( x 2 x 1 ) ( 2 x x 2 x 1 ) + ( y 2 y 1 ) ( 2 y y 2 y 1 ) = c 2 ( t 1 t 2 ) ( t 1 + t 2 ) ( x 3 x 1 ) ( 2 x x 3 x 1 ) + ( y 3 y 1 ) ( 2 y y 3 y 1 ) = c 2 ( t 1 t 3 ) ( t 1 + t 3 ) ( x N x 1 ) ( 2 x x N x 1 ) + ( y N y 1 ) ( 2 y y N y 1 ) = c 2 ( t 1 t N ) ( t 1 + t N )
Δ t 12 = t 2 t 1 Δ t 13 = t 3 t 1 Δ t 1 N = t N t 1
Here, Δ t i ( i = 1 , 2 , N ) is used to denote the difference between the propagation delay from the support ship at the ith position to the hydrophone and the propagation delay from the first position to the hydrophone.
Equation (4) can be derived from Equations (2) and (3):
2 ( x 2 x 1 ) x + 2 ( y 2 y 1 ) y + ( 2 c 2 Δ t 12 ) t 1 = c 2 Δ t 12 2 + ( x 2 x 1 ) ( x 2 + x 1 ) + ( y 2 y 1 ) ( y 2 + y 1 ) 2 ( x 3 x 1 ) x + 2 ( y 3 y 1 ) y + ( 2 c 2 Δ t 13 ) t 1 = c 2 Δ t 13 2 + ( x 3 x 1 ) ( x 3 + x 1 ) + ( y 3 y 1 ) ( y 3 + y 1 ) 2 ( x N x 1 ) x + 2 ( y N y 1 ) y + ( 2 c 2 Δ t 1 N ) t 1 = c 2 Δ t N 2 + ( x N x 1 ) ( x N + x 1 ) + ( y N y 1 ) ( y N + y 1 ) ,
that is,
A = 2 ( x 2 x 1 ) 2 ( y 2 y 1 ) 2 c 2 Δ t 12 2 ( x 3 x 1 ) 2 ( y 3 y 1 ) 2 c 2 Δ t 13 2 ( x N x 1 ) 2 ( y N y 1 ) 2 c 2 Δ t 1 N
B = c 2 Δ t 12 2 + ( x 2 x 1 ) ( x 2 + x 1 ) + ( y 2 y 1 ) ( y 2 + y 1 ) c 2 Δ t 13 2 + ( x 3 x 1 ) ( x 3 + x 1 ) + ( y 3 y 1 ) ( y 3 + y 1 ) c 2 Δ t 1 N 2 + ( x N x 1 ) ( x N + x 1 ) + ( y N y 1 ) ( y N + y 1 )
A   x y t 1 = B
x y t 1 = A 1 · B .
In the case of N > 4 , the number of equations exceeds the number of unknown quantities. At this juncture, Equation (8) is a superdetermined system of equations, and the optimal solution of the system of equations is obtained as a preliminary result using the least-squares method.

2.3. The Current Particle Swarm Optimization Algorithm

The Particle Swarm Optimization (PSO) algorithm was originally proposed by the American scholars Kennedy and Eberhart in 1995, inspired by the flocking behavior of birds. It is an optimization algorithm based on the theory of swarm intelligence [26,27,28]. Through information sharing and collaboration among particles, it efficiently searches for the global optimal solution in the solution space; particles are jointly guided by their own historical optimal solution (pbest) and the group’s historical optimal solution (gbest).
The specific process of the PSO algorithm is as follows: first, randomly set the fitness function (fun), number of particles (M), search range of the particles ( x m i n , x m a x ) , and velocity range of the particles ( v m i n , v m a x ) . Within the search range, randomly generate the initial position x 1 ( 0 ) , x 2 ( 0 ) , x M ( 0 ) and initial velocity v 1 ( 0 ) , v 2 ( 0 ) , v M ( 0 ) of each particle. Calculate the fitness fun( x i ( 0 ) ) of each particle at its initial position, then initialize the historical optimal position p m = x m ( 0 ) of particle m and the historical optimal position g = arg min fun( p m ) of the population.
Next, iterative updates are performed; the velocity update formula and position update formula are shown in Equations (9) and (10):
p o p v m ( t + 1 ) = ω × p o p v m ( t ) + c 1 × r 1 × ( p m p o p x m ( t ) ) + c 2 × r 2 × ( g p o p x m ( t ) )
p o p x m ( t + 1 ) = p o p x m ( t ) + p o p v m ( t + 1 )
where m = 1, 2, …M, ω denotes the inertia weight which balances the global and local search capabilities, c 1 and c 2 are acceleration coefficients regulating individual cognition and group cognition, respectively, and r 1 and r 2 follow a uniform distribution between 0 and 1, acting as random disturbance terms to maintain diversity; if x m ( t + 1 ) exceeds the boundary, then the boundary value is set as x m ( t + 1 ) .
Through iteration, both the individual optimal solution and group optimal solution are continuously updated. After a certain number of iterations, the final group optimal solution is output as the global optimal solution. The flow chart of the PSO algorithm is shown in Figure 3.
To elaborate more clearly on the specific process used in this paper, our parameter settings related to the PSO algorithm are shown in Table 1. On the basis of Table 1, a reasonable fitness function needs to be established in order to maximize the performance of the PSO algorithm.
Regarding the issue of setting the fitness function, both [14,15] adopt the method of direct error accumulation. Taking [14] as an example, the fitness function used therein is shown in Formulas (11) and (12):
d i = ( ( x x i ) 2 + ( y y i ) 2 + h 2 ( i = 1 , 2 , N )
F i t n e s s x y t r a d = i = 2 n | c Δ t 1 i d i + d 1 |
where F i t n e s s x y t r a d is the fitness function, with a smaller value indicating better fitness, c denotes the speed of sound, Δ t 1 i ( i = 2 , 3 , , N ) represents the difference between the propagation delay from the i-th position of the supporting ship to the hydrophone and the propagation delay from the first position to the hydrophone, d i is the distance from the hydrophone to the i-th position of the supporting ship, and d 1 is the distance from the hydrophone to the first position of the supporting ship. The fitness function is minimized by searching for the x, y, and h coordinates of the seabed hydrophone.
However, in the simulation in [14], only ten transmitted signals from the supporting ship were used for calibrating the position of the seabed hydrophone, and the time delay error of these ten signals in the simulation was set to only 10 5 s. In actual experiments, a large number of signals will be transmitted for calibrating the seabed hydrophone during the process of the ship circling the hydrophone, and the amount of data is far more than ten signals. In addition, the time delay error setting is too idealistic; during actual signal propagation in the marine environment, the error will be larger due to the influence of signal refraction and other factors. With sufficient data volume, it is possible to perform screening on the signals during the calibration process to remove signals with large errors caused by factors such as the Doppler effect and incorrect detection of cross-correlation peaks. Therefore, the fitness function can be improved on the basis of [14].

3. NLOS-LOS Time Delay Difference Deep Correction

3.1. Principle Analysis

The combination of the PSO algorithm and TDOA algorithm has shown significant effectiveness in the horizontal positioning of seabed hydrophones [14,15]. However, it has rarely achieved satisfactory results in the depth correction of seabed hydrophones. A major reason is that the setting of the fitness function needs to be improved. As shown in Equation (12), although depth is one of the factors affecting the value of the fitness function, its influence on the calculation result and the fitness function is relatively limited. In traditional ultra-short-baseline and long-baseline positioning, the target depth is determined only after solving for x and y. First, the horizontal distance l between the target and the positioning system is confirmed using the target’s x and y coordinates along with the location of the positioning system; then the depth is calculated using h = c 2 t 2 l 2 with the sound speed c, propagation delay t, and horizontal distance l. However, some current seabed hydrophone arrays are not equipped with devices such as second pulses and depth gauges, making it difficult to obtain accurate propagation delays and hydrophone depth information. This makes the depth of the seabed hydrophone array challenging to estimate. In this paper, we propose a method for depth calculation by integrating information on the time delay difference between LOS and NLOS waves.
In recent years, the Direction of Arrival (DOA) algorithm has seen increased utilization in the domain of hydroacoustic positioning, particularly within the field of ultra-short-baseline positioning [29,30,31,32]. The fundamental principle of the traditional DOA algorithm is illustrated in Figure 4. The acoustic source signal is assumed to be sufficiently distant from the hydrophone such that the signals from the acoustic source to hydrophone 1 and hydrophone 2 can be considered parallel. The angle of incidence θ can then be determined based on the distance d, the arrival delay difference Δ t , and the sound speed c of hydrophones 1 and 2.
cos θ = c × Δ t d
Based on this principle, we consider using the inverse theorem of DOA and the time delay difference between LOS and NLOS waves to correct the depth information of seabed hydrophones. After calculating the horizontal position information of the seabed hydrophone, the x and y coordinates of the hydrophone can be obtained. Combined with the position x supportingship and y supportingship of the support ship, the horizontal distance l between the support ship and the hydrophone can be derived, which satisfies Equation (14).
l = ( x x s u p p o r t i n g s h i p ) 2 + ( y y s u p p o r t i n g s h i p ) 2
In order to correct the depth information of the seafloor hydrophone, it is necessary to combine the inverse theorem of DOA with the time-delay difference between LOS and NLOS waves. According to the conventional inverse DOA algorithm in Figure 5, when the fixed array depth is significantly smaller than the horizontal distance between the shipborne sound source and the fixed array (i.e., when the horizontal distance is sufficiently large, termed the far-field), it can be assumed that the direction of incoming signals from the LOS wave and the multipath corresponding to the virtual receiving point belong to the parallel wave. Subsequently, the depth h, horizontal distance l, and LOS and NLOS wave time delay Δ t satisfy the following equation:
cos θ 1 = c Δ t 2 h = 3 h l 2 + ( 3 h ) 2 .
Based on the inverse DOA algorithm, this paper proposes an improved inverse DOA algorithm for solving the hydrophone depth through the NLOS–LOS delay difference. As illustrated in Figure 6, under the assumption that the sound source is positioned at O and the hydrophone at A, following a submarine launch, the sea surface reflection of the virtual hydrophone position is B. If line segment OB is taken to a point C such that the length of OC is equivalent to OA, then the length of CB can be derived using the known time delay difference and the speed of sound, i.e., if the length of CB is c Δ t , by taking the midpoint of AC as Q and the midpoint of AB as D, it is then demonstrated that QD is parallel to CB and its length is CB (half of the triangle AOC). It is further demonstrated that because triangle AOC is isosceles, OQ is perpendicular to AC. In far-field conditions, O, Q, and D can be considered three points close to the common line, and the following equation is satisfied:
sin θ 2 | Q D | | A D | = c Δ t 2 h = c Δ t 2 h .
In addition, the angular relationships shown below can be obtained from the positional information.
A O C = θ 0 θ 1 O A C = π A O C 2 = π θ 0 + θ 1 2 θ 2 = π θ 0 O A C = π θ 0 π θ 0 + θ 1 2 = π θ 0 θ 1 2
According to Equation (17) and the formulas related to trigonometric functions, we can obtain Equations (18)–(20).
sin ( θ 2 ) = sin ( π θ 0 θ 1 2 ) = cos ( θ 0 + θ 1 2 )
cos ( θ 0 + θ 1 ) = cos θ 0 cos θ 1 sin θ 0 sin θ 1 = 3 h 2 l 2 l 2 + h 2 l 2 + 9 h 2
cos ( θ 0 + θ 1 2 ) = 1 2 + cos ( θ 0 + θ 1 ) 2 = 1 2 + 3 h 2 l 2 2 l 2 + h 2 l 2 + 9 h 2
When l is much larger than h, Equations (21) and (22) can be obtained from Equation (20) based on Taylor expansion:
l 2 + h 2 l 2 + 9 h 2 = l 2 1 + h 2 l 2 1 + 9 h 2 l 2 l 2 ( 1 + h 2 2 l 2 ) ( 1 + 9 h 2 2 l 2 ) l 2 + 5 h 2 ,
cos ( θ 0 + θ 1 2 ) = 1 2 + 3 h 2 l 2 2 l 2 + h 2 l 2 + 9 h 2 l 2 + 5 h 2 + 3 h 2 l 2 2 l 2 + 10 h 2 = 2 h l 2 + 5 h 2 ,
then,
c Δ t 2 h = 2 h 5 h 2 + l 2
h = c Δ t 5 + 25 + 64 l 2 c Δ t 2 4 2 .
In order to better verify the performance of the improved method with the traditional method, verify that there is no time delay difference and positional error, assuming a depth of 200 m, verify that with the change of the horizontal distance, variations of arccos( c Δ t 2 h ), arccos( 2 h 5 h 2 + l 2 ), θ 0 which is also mean arccos( h h 2 + l 2 ), θ 1 which is also mean arccos( 3 h 9 h 2 + l 2 ), angle ODA which is also mean arccos( 2 h 4 h 2 + l 2 ), to obtain Figure 7, from several angles, the closer it is to arccos( c Δ t 2 h ), the smaller the principle error of the solution is proved. In addition, we compare the depths solved by different equations with the change of the horizontal distance to obtain Figure 8; the closer it is to the real depth, the smaller the principle error of the solution is.
The advantages of the proposed algorithm can be confirmed from Figure 7 and Figure 8, where arccos( 2 h 5 h 2 + l 2 ) is closest to arccos( c Δ t 2 h ) and the solved depth is closest to the true depth; arccos( 2 h 4 h 2 + l 2 ) is second, while arccos( h h 2 + l 2 ) and arccos( 3 h 9 h 2 + l 2 ) have larger solving errors.

3.2. Error Analysis

We take a depth of 200 m, horizontal distance of 2000 m, and speed of sound of 1500 m/s as an example, as the intensity of NLOS wave is smaller and the correlation peak is lower compared to LOS wave. It is assumed that the time delay difference of the LOS wave is on the order of 10 4 s, the error of the time delay difference between the LOS and NLOS waves is on the order of 10 3 s, and the positioning error in the horizontal direction is on the order of 5 m. We compare the proposed method with the traditional depth solving method with known specific LOS wave propagation delay and horizontal distance in terms of their respective fault tolerances for the time delay difference and horizontal distance error.
First, to verify the fault tolerance of the proposed method for delay, it is necessary to obtain the relationship between h and Δ t using other known information. This can be achieved by means of the following equation:
h = c Δ t 5 + 25 + 64 l 2 ( c Δ t ) 2 4 2 = 1500 Δ t 5 + 25 + 1024 9 Δ t 2 4 2 .
Then, when Δ t = ( 2000 2 + 3 2 × 200 2 2000 2 + 200 2 ) / 1500 , d h d Δ t satisfies Equation (26):
d h d Δ t = 5625 Δ t 2 225 Δ t 2 + 1024 Δ t + 84375 Δ t 4 + 192000 Δ t 2 6 Δ t 2 225 Δ t 2 + 1024 Δ t 15 Δ t + 225 Δ t 2 + 1024 1968 .
Thus, the depth resolution error is approximately 1.968 m when the time delay difference error is on the order of 10 3 s.
In addition, to verify the fault tolerance of the method outlined in this paper for the horizontal distance, the relationship between h and l can be obtained using other known information. The following equation can be used to this end:
h = c Δ t 5 + 25 + 64 l 2 ( c Δ t ) 2 4 2 = 78 5 + 25 + 64 l 2 ( 78 ) 2 4 2 .
Then, when l = 2000 , d h d l satisfies Equation (28):
d h d l = 2 78 l 16 l 2 + 38025 16 l 2 + 38025 + 195 0.0488 .
The depth resolution error is then about 0.2438 m for a horizontal positioning error of 5 m magnitude scale.
The traditional depth solution with known specific LOS wave propagation delay and horizontal distance is shown in Equation (29):
h = c 2 t 2 l 2 .
In the traditional approach, using other known information, one can find that when t = 2000 2 + 200 2 / 1500 , d h d t satisfies
d h d t = 4500 t 9 t 2 16 = 1500 .
Then, the error is about 0.15 m when the delay difference in LOS wave propagation is on the order of 10 4 s.
In the traditional approach, using other known information, one can find that when l = 2000 , d h d l satisfies the following equation:
d h d l = l 4040000 l 2 = 10 .
The depth solution error is then about 50 m for a horizontal positioning error on the order of 5 m.
Next, combined with Section 3.1 and Section 3.2 and comprehensively considering the principle error of the method as well as the errors caused by time delay and horizontal distance, we simulated the error variations of fixed depth and fixed horizontal distance. The error between the calculated and real depth under fixed time delay and horizontal distance error is obtained as shown in Figure 9 and Figure 10. When the fixed depth is 200 m, the variations of the errors of the two methods with the horizontal distance are shown in Figure 9. When the fixed horizontal distance is 2000 m, the variations of the errors of the two methods with depth are shown in Figure 10.
In summary, the algorithm proposed in this paper is based on Formulas (23) and (24). The depth information of the seabed hydrophone can be obtained by calculating the time delay difference between the NLOS wave that passes through one reflection on the seabed and one reflection on the sea surface and the LOS wave that directly reaches the seabed hydrophone array, then combining the known horizontal distance between the support ship and the seabed hydrophone. Under shallow-sea conditions, the algorithm in this paper is far better than the traditional depth solving algorithm with known specific delay in the case of unknown specific propagation delay and only knowing the delay difference between LOS and NLOS waves, which verifies the advantage of the algorithm proposed in this paper.

4. Overview of the Correction Algorithm

Based on the introduction to the advantages and limitations of the existing PSO algorithm in hydrophone calibration provided in Section 2 and the depth calculation algorithm proposed in Section 3, this section presents the complete seabed hydrophone array calibration scheme proposed in this paper.
First, the fitness function is modified on the basis of [14,15]. In actual hydrophone calibration experiments, sufficient data volumes allow for screening of signals during the calibration process to remove signals with large errors caused by factors such as the Doppler effect and incorrect detection of cross-correlation peaks. The new fitness function is as follows:
L i s t x y p r o p = [ | c Δ t 1 i d i + d 1 | ] ( i = 2 , 3 , N )
F i t n e s s x y p r o p = ( mink ( L i s t x y p r o p   , N 1 N r e m o v e x y ) ) × ( 1 + k × N r e m o v e x y ) ;
where F i t n e s s x y p r o p is the fitness function proposed in this paper. By searching for the x, y, and h values of the hydrophone, the difference between the distance d i from the hydrophone to the i-th position of the support ship and distance d 1 from the hydrophone to the first position of the support ship is made close to c Δ t 1 i . Here, a smaller value of the fitness function indicates better fitness. It should be noted that the result obtained from the search for depth does not participate in the subsequent independent calculation of depth. In addition, mink ( L i s t x y p r o p , N 1 N removexy ) denotes finding the smallest N 1 N removexy values in the matrix L i s t x y p r o p , c is the speed of sound, Δ t 1 i ( i = 2 , 3 , , N ) represents the difference between the propagation delay from the i-th position of the support ship to the hydrophone and that from the first position to the hydrophone, d i is the distance from the hydrophone to the i-th position of the support ship, and d 1 is the distance from the hydrophone to the first position of the support ship, for which the calculation method refers to Equation (11). Finally, k is an adjustment value used to avoid discarding too many calibration signals, which would prevent normal time delays from participating in the hydrophone calibration calculation. By searching for x, y, h, and N removexy , the fitness function is minimized and the horizontal position information of the hydrophone is obtained.
It should be noted that during the process of the combined TDOA-PSO algorithm, combining the initial positions calculated by the TDOA algorithm means that the distances between the supporting ship at different positions and the initial position of the hydrophone must be calculated. We select the middle position of all distances as the first equation and take the difference from the other equations. This is related to the principle of the fitness function (12). The distance from the target is moderate, such that the angle formed between the target, the reference position, and the other positions is neither too small nor too large (avoiding excessive geometric dilution). In this way, the intersection angle of the corresponding hyperbola in the target area is good, and the solution of the entire system of equations is less sensitive to measurement errors. To avoid choosing a point with a large time delay error, the selection was not simply based on the time delay at the beginning.
Compared with Equation (12), this paper adds a new search value on the basis of reference [14], namely, N removexy , which is in addition to the position information of the seabed hydrophone array to be calculated. Here, N removexy is a positive integer; by adjusting the value of k, some incorrect time delays are removed and the hydrophone calibration accuracy is improved.
In terms of the depth h, if the traditional algorithm is directly combined with the PSO algorithm proposed in this paper, the fitness function is as follows:
L i s t h t r a d = [ | c 2 t i 2 l i 2 h | ] ( i = 1 , 2 , N )
F i t n e s s h t r a d = ( mink ( L i s t h t r a d , N 1 N r e m o v e h ) ) × ( 1 + k 1 × N r e m o v e h ) ;
where F i t n e s s h t r a d is the fitness function for the depth direction combining the PSO algorithm proposed in this paper with the traditional algorithm, with reference to Equation (29). By searching for the depth value of the hydrophone, L i s t h t r a d is made close to 0. A smaller value of the fitness function indicates better fitness. Here, mink ( L i s t h t r a d , N 1 N removeh ) denotes finding the smallest N 1 N removeh values in the matrix L i s t h t r a d , c is the speed of sound, t i ( i = 1 , 2 , , N ) represents the propagation delay of the LOS wave from the i-th position of the support ship to the hydrophone, and l i is the horizontal distance from the hydrophone to the i-th position of the support ship. The x and y positions of the hydrophone refer to the previous calculation results, and the horizontal distance can be obtained by combining the horizontal position of the hydrophone with the GPS information of the support ship, for which the calculation method refers to Equation (14). Finally, k 1 is an adjustment value used to avoid discarding too many calibration signals, which would prevent normal time delays from participating in the hydrophone calibration calculation.
Combined with the algorithm proposed in Section 3, the fitness function for depth calculation is as follows:
L i s t h p r o p = [ | c Δ t i 2 h 2 h 5 h 2 + l i 2 | ] ( i = 1 , 2 , N )
F i t n e s s h p r o p = ( mink ( L i s t h p r o p , N 1 N r e m o v e h 1 ) ) × ( 1 + k 2 × N r e m o v e h 1 ) ;
where F i t n e s s h p r o p is the fitness function for the depth direction proposed in this paper, with reference to Equation (23). By searching for the depth value of the hydrophone, L i s t h p r o p is made close to 0. A smaller value of the fitness function indicates better fitness. Here, mink ( L i s t h p r o p , N 1 N removeh 1 ) denotes finding the smallest N 1 N removeh 1 values in the matrix L i s t h p r o p , c is the speed of sound, Δ t i ( i = 1 , 2 , , N ) represents the propagation delay difference between the LOS wave and the NLOS wave from the i-th position of the support ship to the hydrophone, and l i is the horizontal distance from the hydrophone to the i-th position of the supporting ship. The x and y positions of the hydrophone refer to the previous calculation results, and the horizontal distance can be obtained by combining the horizontal position of the hydrophone with the GPS information of the support ship, for which the calculation method refers to Equation (14). Again, k 2 is an adjustment value to avoid discarding too many calibration signals, which would prevent normal time delays from participating in the hydrophone calibration calculation.
Therefore, on the basis of Table 1, the relevant parameters of the other PSO algorithms set in this paper are shown in Table 2. Among them, TDOA+PSO (in the proposed fitness function) and the PSO NLOS–LOS depth correction algorithm are the algorithms proposed in this paper, while TDOA+PSO is the previous fitness function and the PSO traditional depth correction algorithm is the comparison algorithm used in the subsequent simulation experiments of this paper.
Combining the algorithms proposed in Section 2 and Section 3, the complete seafloor hydrophone array correction localization scheme using the corrected hydrophone array proposed in this paper is is shown in Algorithm 1.
Algorithm 1 Seafloor hydrophone calibration and its localization algorithm.
1:
Based on the signal received by the hydrophone, the propagation delay difference Δ t 1 i ( i = 2 , 3 , N ) between the supporting ship arriving at the hydrophone at N different positions, and the propagation delay difference between the LOS and NLOS wave propagation at each position of the supporting ship, Δ t i ( i = 1 , 2 , 3 , N ), are calculated by pulse compression.
2:
Using the Δ t 1 i ( i = 1 , 2 , 3 , N ) and supporting ship GPS information, the TDOA algorithm is used for the first step of solution to obtain the preliminary solution information of x and y of the hydrophone. Sort the distances between the support boat and the initial solution position of the hydrophone, select the middle position among all the distances as the first position, subtract from the other positions, and combine the Equations (32) and (33). Combining TDOA+PSO in the proposed fitness function, solve the horizontal position information x and y of the hydrophone.
3:
The hydrophone depth information h is solved using Δ t i ( i = 1 , 2 , 3 , N ), the supporting ship GPS information, and the hydrophone horizontal position information x and y, combined with the PSO NLOS-LOS depth correction algorithm.
4:
Repeat steps 1–3 to solve the location information of all hydrophones in turn
5:
When the calibrated hydrophone array is used for positioning, the positioning correlation is added on the basis of the above algorithm, and the propagation delay difference obtained in step 1 is compensated according to the hydrophone x, y, h information and the GPS position of the supporting ship to obtain the propagation delay of the signal from the supporting ship to the hydrophone, and hydroacoustic positioning is carried out based on the signal propagation delay and the positional information of the seafloor hydrophone.
The algorithm is applicable to shallow-sea environments for the following reasons:
(1)
In shallow-sea environments, the ranging error caused by sound ray refraction due to the influence of the sound speed profile is relatively small. Compared with the complex deep-sea environment, the use of relatively simple ray acoustics is more suitable for both horizontal calibration and depth calibration calculations of hydrophones in shallow-sea environments.
(2)
Compared with deep-sea environments, the shallow-sea environment allows for an area where LOS and NLOS waves coexist under the condition of a relatively small horizontal distance. Moreover, due to the relatively small horizontal distance, the seabed terrain is relatively flat and the signal-to-noise ratio of the signals received by the hydrophone is higher, which makes it easier to implement calibration and calculation.

5. Simulation and Experimental Verification

5.1. Simulation Verification of the Proposed PSO Algorithm in the Horizontal Direction

First, the effect of the improved PSO algorithm proposed in this paper on the horizontal directions x and y is verified. In an environment with a water depth of 200 m, the support ship has a circling radius of 2000 m, the GPS error of the supporting ship is 2 m, and the propagation delay error of the LOS wave is 10 4 s. To more realistically simulate an actual sea trial situation, a rand function is used to set a 1 % probability that the LOS wave delay error is 10 2 s. The solution of the horizontal position of the seabed hydrophone is simulated in sequence under conditions where the radius of the seabed hydrophone array is 100 m, 300 m, 500 m, 700 m, 900 m, 1100 m, 1300 m, and 1500 m. There are 16 nodes evenly distributed under each radius, and position solution simulations are performed for these nodes. The simulation scenario is shown in Figure 11, and the simulation parameter settings are shown in Table 3.
The calibration errors obtained from the simulation are shown in Figure 12. It can be seen from Figure 12 that when the radius is small, the error of the TDOA algorithm is significantly larger. As the radius of the hydrophone array increases, the time delay difference of the TDOA algorithm increases and the calculation effect is significantly improved. Both the existing PSO algorithm and the algorithm proposed in this paper demonstrate the advantages of the PSO algorithm, reducing the average horizontal positioning error from 22.8825 m to within 1.7 m; however, the algorithm proposed in this paper has greater advantages in terms of the average calculation error and standard deviation, reducing the average calculation error from 1.6346 m to 0.8690 m and the calculation standard deviation from 1.2960 m to 0.5538 m.

5.2. Simulation Comparison Between Improved Depth Calculation Method and Traditional Method

To verify the advantages of the depth correction algorithm proposed in this paper, this section first simulates the impact of sound ray refraction on depth calculation without the correction of the PSO algorithm. Then, with the PSO algorithm added, 100 Monte Carlo experiments are conducted for each scenario to sequentially simulate the impacts of depth, horizontal distance, horizontal distance error, and time delay error on depth calculation. At the end of this subsection, based on the influence of reflection loss and other factors on NLOS waves, the impact of different failure rates of NLOS waves on depth estimation is simulated.
First, two different sound velocity profiles each with a depth of 200 m are used to simulate the transmission of signals from the water surface and reception at the seabed under these sound speed profiles. When the horizontal distance between the transmitter and receiver is 2000 m, the arrival time delays of the LOS wave and NLOS wave (which undergoes one reflection from the seabed and one from the sea surface) under the condition of sound ray refraction are obtained through simulation. The traditional method calculates the depth information based on the horizontal distance, average sound speed, and LOS wave time delay, while the algorithm proposed in this paper is based on the horizontal distance, average sound speed, and time delay difference between the LOS wave and NLOS wave.
Figure 13 and Figure 14 were obtained through simulation. From these figures, it can be observed that under the sound speed profile in Figure 13, the depth calculated by the NLOS–LOS depth correction algorithm proposed in this paper is 203.2706 m with an error of 3.2706 m, while the depth calculated by the traditional algorithm is 156.7746 m with an error of 43.2254 m. Under the sound speed profile in Figure 14, the depth calculated by the proposed NLOS–LOS depth correction algorithm is 202.4627 m with an error of 2.4627 m, while the depth calculated by the traditional algorithm is 177.0008 m with an error of 22.9992 m. In situations where the sound speed changes significantly and the sound ray refraction is large, the NLOS–LOS depth correction algorithm proposed in this paper provides a more stable depth calculation.
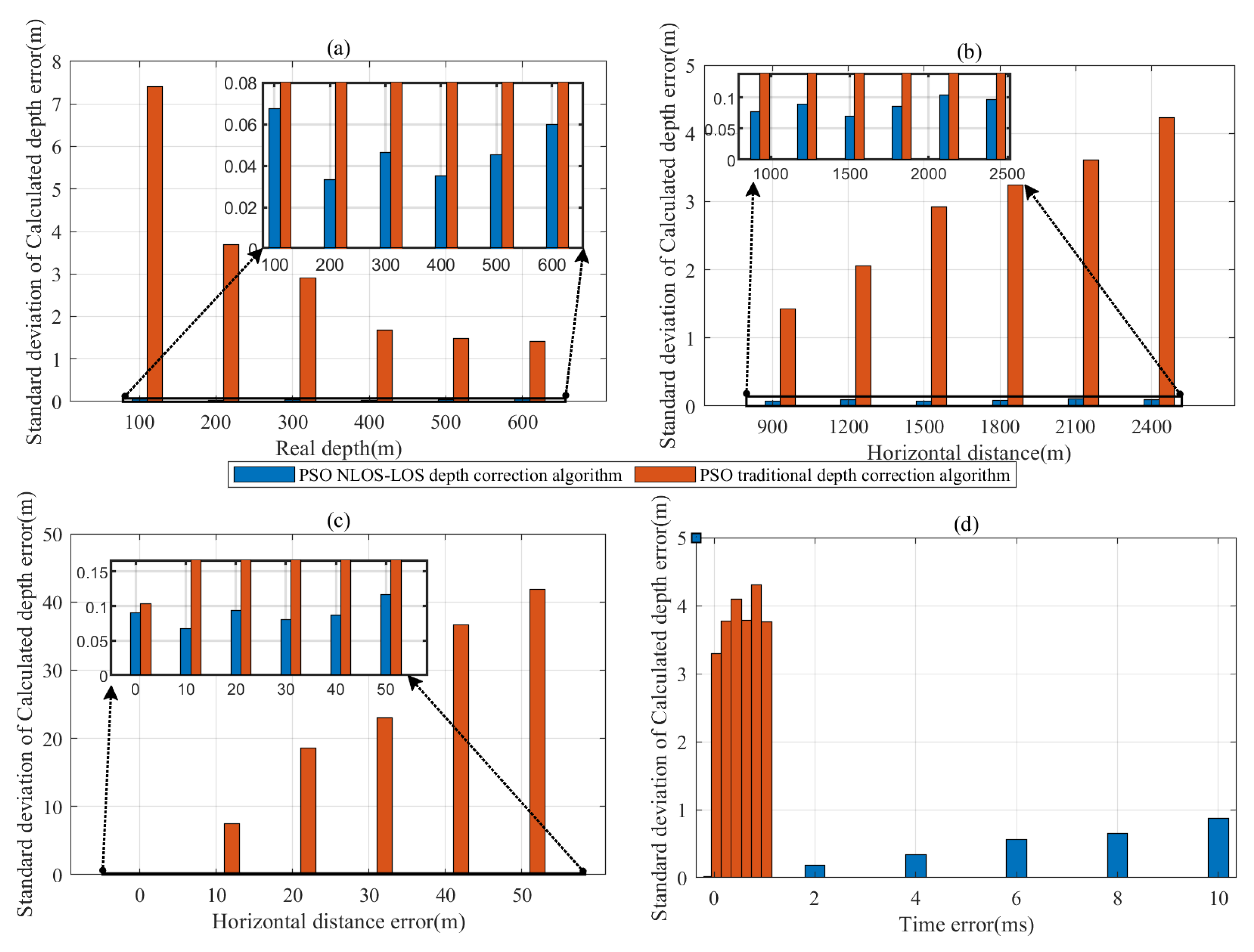
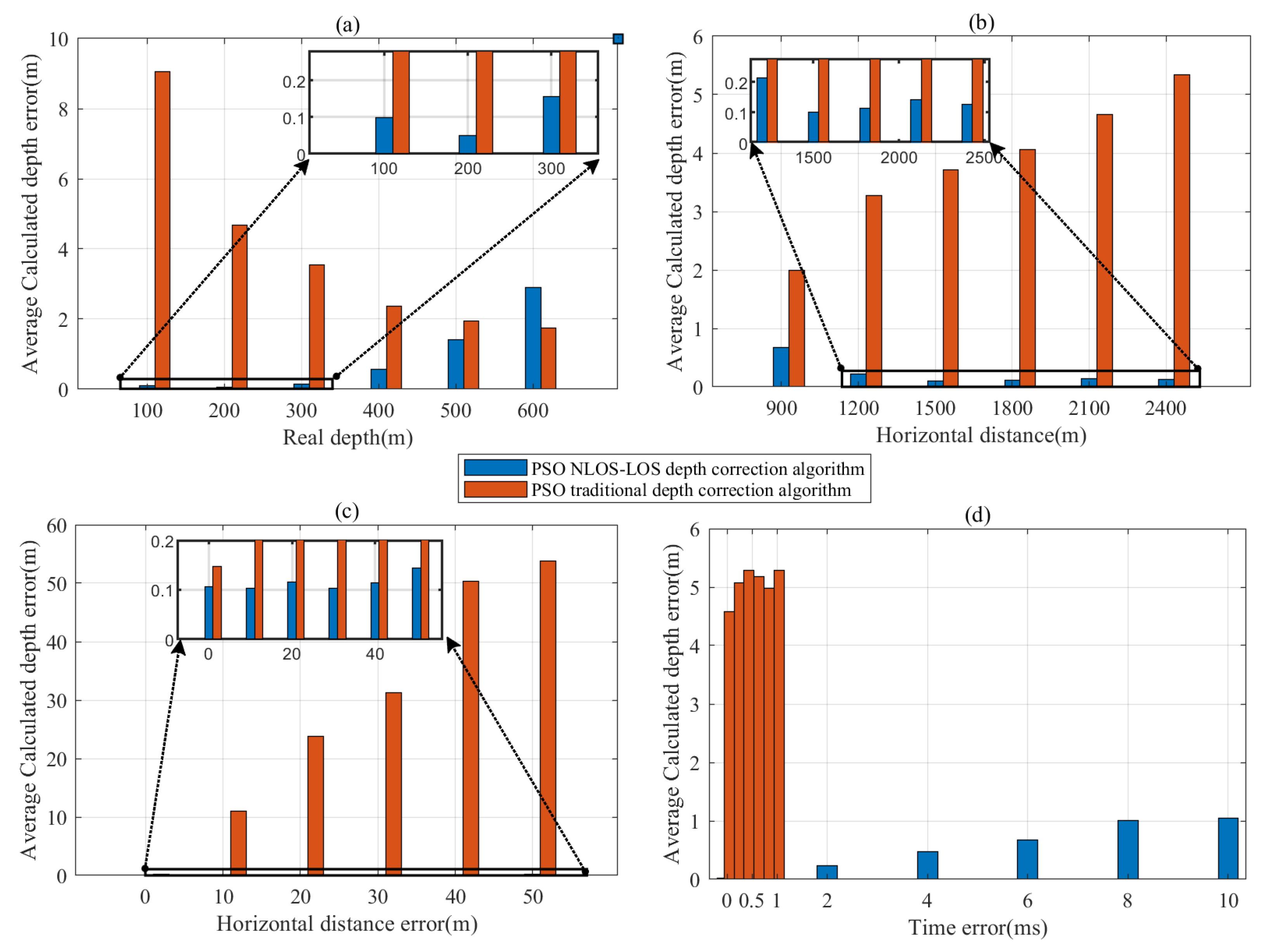
Subsequently, with the integration of the PSO algorithm, a comparison is made between the PSO NLOS–LOS depth correction algorithm and the traditional PSO depth correction algorithm. Simulations are conducted sequentially to examine the impacts of depth, horizontal distance, horizontal distance error, and time delay error on depth calculation. In each simulation scenario, 100 Monte Carlo experiments are performed; the average errors obtained are shown in Figure 15, while the error standard deviations are presented in Figure 16.
First, the impact of different actual depths on the calculation result is simulated. The time delay error of the PSO NLOS–LOS depth correction algorithm is set to 1 × 10 3 s. Because the PSO traditional depth correction algorithm only uses LOS waves, its time delay is more accurate, with a time delay error of 1 × 10 4 s. A random value function (rand) satisfying the 0–1 uniform distribution is used to simulate the occasional time delay measurement problems caused by sea conditions. Due to the higher probability of problems with NLOS waves, the settings are as follows: if rand > 0.9, then the error of NLOS waves is 5 × 10 2 s; if rand > 0.99, then the error of LOS waves is 1 × 10 2 s. The error of the horizontal distance is 5 m. In actual experiments, as the support ship sails around, the position of the hydrophone will deviate from the center of the support ship’s circular path, resulting in changes in the horizontal distance. Therefore, in the simulation, the horizontal distance was set to range from 1600 m to 2400 m and a total of 300 signals were used for calculating depth information, with the depths being 100 m, 200 m, …, 600 m, in sequence. The simulation results are shown in Figure 15a and Figure 16a. It can be seen that as the depth increases, the error of the proposed algorithm shows an increasing trend, while the error of the traditional algorithm shows a decreasing trend. This is because it gradually becomes difficult to satisfy the condition of parallel wave incidence as the depth increases. However, when the depth is less than 300 m, the proposed algorithm achieves higher accuracy, with an average error of less than 0.2 m. Overall, the PSO NLOS–LOS depth correction algorithm has stronger stability and a smaller standard deviation.
Second, the impact of different horizontal distances on the calculation results is simulated. The depth is set to 200 m. The time delay error of the PSO NLOS–LOS depth correction algorithm is 1 × 10 3 s. Because the PSO traditional depth correction algorithm only uses LOS waves, its time delay is more accurate, with a time delay error of 1 × 10 4 s. A random value function (rand) satisfying the 0–1 uniform distribution is used to simulate occasional problems in time delay measurement caused by sea conditions. Due to the higher probability of problems occurring in NLOS waves, the settings are as follows: if rand > 0.9, the error of NLOS waves is 5 × 10 2 s; if rand > 0.99, the error of LOS waves is 1 × 10 2 s. The error of the horizontal distance is 5 m. The central horizontal distances are 900 m, 1200 m, 1500 m, 1800 m, 2100 m, and 2400 m, in sequence. In the actual calculation, the horizontal distance varies within ±400 m of the central horizontal distance, and a total of 300 signals are used for calculating the depth information. The simulation results are shown in Figure 15b and Figure 16b. It can be seen from Figure 15b that the depth calculation accuracy of the proposed algorithm is superior to that of the traditional algorithm under different horizontal distances. However, the calculation error of the proposed algorithm shows a slightly increasing trend in the range of 1500 m to 2100 m. The reason for this is that the time delay difference between NLOS waves and LOS waves decreases as the horizontal distance increases, and the relative error caused by the error in the time delay difference increases. Combined with Figure 16a,b, it can be seen that the proposed algorithm maintains high stability as the ratio of depth to horizontal distance increases, even the error of the current calculation results is relatively large. In future work, corrections can be made by further exploring the relationship between NLOS and LOS waves.
Third, we simulate the impact of different horizontal distance errors on the calculation results. The depth is set to 200 m. The time delay error of the PSO NLOS–LOS depth correction algorithm is 1 × 10 3 s. Because the PSO traditional depth correction algorithm only uses LOS waves, its time delay is more accurate, with a time delay error of 1 × 10 4 s. A random value function (rand) satisfying the 0–1 uniform distribution is used to simulate occasional problems in time delay measurement caused by sea conditions. Due to the higher probability of problems occurring in NLOS waves, the settings are as follows: if rand > 0.9, the error of NLOS waves is 5 × 10 2 s; if rand > 0.99, the error of LOS waves is 1 × 10 2 s. The horizontal distance is set to range from 1600 m to 2400 m, and a total of 300 signals are used for calculating depth information. The errors of horizontal distance are 0 m, 10 m, 20 m, 30 m, 40 m, and 50 m, in sequence. The simulation results are shown in Figure 15c and Figure 16c. It can be seen from subfigure (c) that under different horizontal distance errors, the robustness of the PSO NLOS–LOS depth correction algorithm against horizontal distance errors is far superior to that of the traditional PSO depth correction algorithm.
Finally, we simulate the impact of different time delay errors on the calculation results. The depth is set to 200 m. The error of the horizontal distance is 5 m. The horizontal distance is set to range from 1600 m to 2400 m, and a total of 300 signals are used for calculating depth information. The time delay errors of the PSO NLOS–LOS depth correction algorithm are 0 s, 2 × 10 3 s, 4 × 10 3 s, 6 × 10 3 s, 8 × 10 3 s, and 1 × 10 2 s, in sequence. Because the PSO traditional depth correction algorithm only uses LOS waves, its time delay is more accurate; its time delay errors are set to 0 s, 2 × 10 4 s, 4 × 10 4 s, 6 × 10 4 s, 8 × 10 4 s, and 1 × 10 3 s, in sequence. A random value function (rand) satisfying the 0–1 uniform distribution is used to simulate occasional problems in time delay measurement caused by sea conditions. Due to the higher probability of problems occurring in NLOS waves, the settings are as follows: if rand > 0.9, the error of NLOS waves is 5 × 10 2 s; if rand > 0.99, the error of LOS waves is 1 × 10 2 s. The simulation results are shown in Figure 15d and Figure 16d. It can be seen from subfigure (d) that even when the time delay error of the proposed algorithm is larger than that of the traditional algorithm, the calculation accuracy and stability of the proposed algorithm are still guaranteed.
Through Figure 15 and Figure 16, it is proven from multiple perspectives that the algorithm proposed in this paper has advantages in depth calculation under shallow-sea conditions.
Finally, because the proposed algorithm employs NLOS waves, the failure rate is an indispensable factor in long-distance underwater acoustic propagation in shallow seas, especially for NLOS waves that have undergone two reflections. Therefore, it is necessary to simulate the influence of different failure rates of NLOS waves on depth estimation.
The simulation parameter settings are similar to the above simulation settings. The depth of the hydrophone is 200 m, with 200 correction signals. The horizontal distance is 1600–2400 m, the horizontal distance error is 5 m, and the delay error is 1 × 10 3 s. 100 Monte Carlo experiments are conducted, with the NLOS delay detection failure rate is set to 0– 90 % , in sequence. It should be noted that in this step of the simulation we modified the search upper limit of N r e m o v e h 1 . Combining 200 received signals, we set the search upper limit to 197, meaning that the final depth correction result should at least meet the NLOS–LOS delay difference required for three corrections. The NLOS–LOS delay difference varying with the horizontal distance in a certain Monte Carlo experiment corresponding to the failure rate is shown in Figure 17. The average error and standard deviation of error of depth correction under different failure rates are statistically shown in Figure 18.
As shown in Figure 18, the depth correction error shows an increasing trend with the increase of the failure rate; however, when the failure rate is 90%, the average depth correction error still remains within 0.45 m. This is partly attributable to the huge amount of data during the calibration process of underwater hydrophones. On the other hand, based on the principle analysis of the depth estimation of the NLOS–LOS delay difference in Section 3, addition of the PSO algorithm enhances the robustness of the depth correction algorithm. Based on Figure 18, we further simulated the depth estimation error when the failure rate was between 90–98%, obtaining Figure 19. As can be seen from Figure 19, when the failure rate is less than 93%, the average error of the depth calculation can be controlled within 5 m. As the failure rate increases to over 93%, the depth calculation error begins to grow rapidly.

5.3. Simulation Verification Before the Experiment

Next, building on Section 5.1 and Section 5.2, a simulation scenario is designed in conjunction with the actual sea trial arrangement in order to comprehensively verify the effectiveness of the algorithm proposed in this paper. The water environment has a depth of 200 m and the radius of the seabed circular hydrophone array is approximately 400 mm, with a total of 128 hydrophones; the support ship’s circling radius is 2000 m, the support ship’s GPS error is 2 m, the LOS wave propagation delay error is 10 4 s, and the error of the propagation delay difference between the NLOS wave and the LOS wave is 10 3 s. The simulation scenario is shown in Figure 20 and the simulation parameter settings are listed in Table 4.
Based on the LOS wave propagation time delay differences at different positions of the supporting ship combined with the algorithm proposed in this paper, the positions of the hydrophones are calculated one-by-one. Figure 21 shows the calculation results of the TDOA algorithm, the calculation results of the TDOA+PSO in the previous fitness function, and the calculation results of the TDOA+PSO in the proposed fitness function. The average error of the TDOA algorithm is 25.3512 m, with a standard deviation of 19.7983 m. The calculation error of the TDOA+PSO in the previous fitness function is 1.3807 m, with a standard deviation of 0.6691 m. The average error of the TDOA+PSO in the proposed fitness function is 0.9964 m, with a standard deviation of 0.2642 m. This simulation verifies that the advantages of the TDOA+PSO in the proposed fitness function in this paper also provide a certain improvement compared with the TDOA+PSO in the previous fitness function, which was used as the fitness function in [14,15]. This result is also consistent with the simulation results in Section 5.1.
Although the TDOA+PSO in the proposed fitness function presented in this paper has an improvement compared with the TDOA+PSO in the previous fitness function used in [14,15], both have high accuracy. In the simulation of depth calculation, only the horizontal position calculated by the traditional TDOA algorithm and the horizontal position calculated by the TDOA+PSO in the proposed fitness function presented in this paper are compared. By comparing the calculation results of the two algorithms, namely, the PSO NLOS–LOS depth correction algorithm and the PSO traditional depth correction algorithm proposed in this paper, Figure 22 is obtained.
When the PSO NLOS–LOS depth correction algorithm is combined with the horizontal position obtained by the TDOA+PSO in the proposed fitness function presented in this paper, the average error of depth calculation is 0.5814 m, with a standard deviation of 0.1121 m. When the PSO traditional depth correction algorithm is combined with the horizontal position obtained by the TDOA+PSO in the proposed fitness function presented in this paper, the average error of depth calculation is 0.8898 m, with a standard deviation of 0.5720 m. It can be seen that when the horizontal position is relatively accurate, both the method proposed in this paper and the traditional method have high depth calculation accuracy; however, the proposed method has advantages in both average error and standard deviation. If the horizontal position is inaccurate, when the PSO NLOS–LOS depth correction algorithm is combined with the horizontal position obtained by the TDOA algorithm, the average error of depth calculation is 0.7071 m, with a standard deviation of 0.1371 m. When the PSO traditional depth correction algorithm is combined with the horizontal position obtained by the TDOA algorithm, the average error of depth calculation is 5.4115 m, with a standard deviation of 5.4502 m. It can be seen that when the accuracy of the horizontal position is low and the conditions involve the actual propagation delay being unknown and only the propagation delay difference between NLOS waves and LOS waves being known, the stability of the algorithm proposed in this paper is significantly better than that of the traditional algorithm, which knows the precise propagation delay of only LOS waves.

5.4. Experimental Verification

To verify the effectiveness of the algorithm proposed in this paper, a sea trial experiment was conducted. The diagram of deploying the transmitting sound source equipment at the experiment site is shown in Figure 23, where Figure 23a is a diagram of the deployment process. The sound source was deployed via cable, finally obtaining Figure 23b. The sound source was rigidly connected to the support ship, and was equipped with an inertial navigation device used to calculate the relative position between the support ship’s GPS antenna and the sound source. Ultimately, the position of the sound source during the experiment was obtained through the inertial navigation and GPS positions, with the results shown in Figure 24. The sound source equipped on the support ship continuously transmitted upward frequency-modulated signals with a signal period of 10 s. The circling radius was approximately 2000 m. The overall experimental schematic diagram is shown in Figure 25.
The experimental data were divided into two parts by means of interval sampling; one part was used to calibrate the position of the seabed hydrophone array and the other was used to verify the calibration effect, that is, the array calibration effect was verified by comparing the GPS position of the supporting ship with the positioning result of the calibrated seabed hydrophone array. The experimental parameter settings are shown in Table 5.
The signals received by the seabed hydrophones were transmitted to a shore-based station. The received signals at a certain moment were filtered and normalized, then the normalized signals were added with element numbers for signal separation to obtain Figure 26. The different colors in the Figure are used to distinguish different hydrophones. It can be seen from the figure that the hydrophone array successfully received the signals. Cross-correlation between the received signal and the transmitted signal of a certain hydrophone at a certain moment was used to obtain Figure 27. Two obvious peaks can be seen from Figure 27.
Because the actual experiment was affected by environmental conditions, the seabed hydrophone directivity, and other factors, the statistics of the two peak time delay difference Δ t with the first peak propagation delay of the change in Figure 28. Because the seabed hydrophone array time is not the same as that of the shipborne acoustic source and GPS clock, the first peak propagation delay of x in Figure 28 is not accurate. The two rectangular boxes in the figure mark the situations of suspected outliers. By using two peaks, each respectively combined with the TDOA algorithm, the calibration results of the hydrophone obtained are fitted as shown in Figure 29. Figure 28 can be determined from the two peaks’ delay difference with the support ship and hydrophone distance changes. The use of two peaks combined with the TDOA algorithm hydrophone calibration results provide a basically good fit, allowing us to deduce that the two peaks are the LOS wave and the NLOS wave after a submarine reflection of a surface reflection. Because the time delay error of the NLOS wave is larger, the horizontal position information of the hydrophone obtained from the NLOS wave calibration is more diffuse.
The objective of the present sea trial has been broadly achieved. The collected data can be utilized to verify the position calibration of shallow-sea hydrophones in reverberant environments. This encompasses the horizontal position calibration using the TDOA+PSO algorithm and depth correction using NLOS–LOS.
The specific location of the seafloor hydrophone is difficult to confirm; therefore, the role of the algorithm proposed in this paper in the hydrophone array correction is determined by combining it with the discriminative method used in [15]. This method is used to discriminate the hydrophone correction accuracy by the magnitude of the hydrophone array positioning error. Considering the actual situation of the underwater hydrophone array needing to locate underwater targets in real time, in the correction verification, the simplest Time Difference of Arrival (TDOA) algorithm (without delay compensation when depth information is not used) and the TOA (Time of Arrival) algorithm (with delay compensation when depth information is used) are adopted for positioning solution. Consequently, in this paper, the corrected seafloor hydrophone array is employed to ascertain the position designated as the location where the verification signal is situated in the transmitting signal of the support ship in Figure 24. Based on the correction outcome and the received signal time delay difference, Figure 30 is obtained.
As demonstrated in Figure 30, the average error of the points successfully resolved by the four calibration methods is shown in Table 6.
The average positioning error following correction of the TDOA algorithm alone is within 228 m, the mean positioning error following the combination of the TDOA algorithm with the PSO algorithm under the previous fitness function is within 102 m, and the mean positioning error of the algorithm proposed in this paper is within 80 m. The mean positioning error following the combination of the TDOA algorithm with the NLOS–LOS depth correction algorithm proposed in this paper is within 16 m. The mean positioning error of the TDOA algorithm combined with the PSO algorithm under the previous fitness function is within 14 m. The mean positioning error of the TDOA algorithm combined with the NLOS–LOS depth correction algorithm proposed in this paper is within 12 m. It is evident from these findings that the proposed TDOA algorithm combined with the PSO algorithm and the NLOS–LOS depth correction algorithm can effectively enhance the correction accuracy. As demonstrated in Figure 30 and Table 6, the positioning accuracy of the hydrophone array, as corrected by the PSO algorithm with an enhanced fitness function in combination with the TDOA algorithm proposed in this paper, is notably superior to that of the TDOA algorithm and the previous PSO algorithm with a fitness function in conjunction with the TDOA algorithm. The positioning accuracy of the hydrophone array can be further enhanced by incorporating depth correction and compensating for propagation delay based on the three-dimensional positional information of the hydrophone array.

6. Discussion

This study proposed a full calibration scheme for seabed hydrophones in a shallow-water reverberation environment. Based on the traditional correction, the following work was carried out in this paper:
(1)
Based on the combination of the existing TDOA algorithm and PSO algorithm and in combination with the huge amount of data obtained in the hydrophone calibration process, we propose an algorithm incorporating an improved fitness function, which we call TDOA+PSO. The effectiveness of the proposed algorithm is proved through both simulation and experiments. As described in Section 5.1, Section 5.3, and Section 5.4, both the average error and the standard deviation of the error are significantly improved compared with the previous algorithm.
(2)
Aiming to address the difficulty of depth correction for seabed hydrophone arrays, this paper proposes using the multipath signal propagation mode in the shallow-sea environment to provide a depth correction formula based on the known time delay difference between the LOS wave and NLOS wave together the horizontal position of the hydrophone. By combining this formula with the PSO algorithm, the proposed PSO NLOS–LOS depth correction algorithm is obtained. The effectiveness of the proposed algorithm is verified through simulations and experiments. In Section 3, we demonstrate the advantages of the proposed algorithm under long-range shallow-water conditions through a theoretical analysis. In Section 5.2, simulations under various scenarios verify the algorithm’s robustness and practicality, particularly its tolerance to acoustic ray refraction, NLOS failure rates, and horizontal distance errors. In Section 5.3, full-process simulations further confirm the algorithm’s high tolerance to horizontal distance errors. In Section 5.4, we show that hydrophones with depth calibration can compensate for signal propagation delays, achieving significantly higher real-time positioning accuracy compared to using uncalibrated depth information.
(3)
This paper compensates for the specific time delay of the received signals by the seabed hydrophones based on the corrected three-dimensional position information of the seabed hydrophones and the GPS position information of the support ship, which allows the positioning accuracy of the seabed hydrophone array to be improved. As shown in Section 5.4, during the actual sea trial experiments, the TOA algorithm replaced the TDOA algorithm for the hydrophone positioning after propagation delay compensation, significantly improving the localization accuracy of the seabed hydrophone.
In the future, there is still considerable room for improvement in the algorithm proposed in this paper. On the one hand, the failure probability of NLOS detection is relatively high. In this paper, traditional cross-correlation between the transmitted signal and the received signal is used to obtain the propagation delay. Due to the effects of ocean noise, receiving directivity, etc., the failure probability of delay detection is relatively high, especially for NLOS waves. In the process of hydrophone calibration, due to the huge amount of data, this problem can be remedied; however, for the follow-up work of underwater acoustic location and navigation, there is still a large room for improvement in time delay detection. On the other hand, as mentioned in Section 4, the depth algorithm proposed in this paper is currently only applicable to shallow seas with flat terrain. This is due to the fact that in shallow-sea environments the refraction of sound lines is relatively small, the models of NLOS and LOS waves are simple, and the signal-to-noise ratio of NLOS waves is relatively large. In addition, some underwater hydrophones on the seabed have already been equipped with synchronization clocks. Under the condition of known specific propagation delays, improving the algorithm proposed in this paper for deep-sea conditions and complex seabed terrain is a future research direction.

7. Conclusions

Aiming at the problem of shallow-water hydrophone calibration in a reverberation environment, this paper has proposed a complete three-dimensional calibration scheme for seabed hydrophones. Specifically, the TDOA+PSO in the proposed fitness function algorithm and the PSO NLOS–LOS depth correction algorithm are put forward for the horizontal and depth directions, respectively. In the horizontal direction, in combination with the huge amount of data in typical seabed hydrophone correction experiments, this paper improves the existing PSO algorithm and proposes a new N r e m o v e variable. In the depth direction, this paper changes from the traditional idea of suppressing NLOS waves to utilizing NLOS waves. By taking advantage of the time delay difference between NLOS and LOS waves combined with the known GPS information and the horizontal position information of hydrophones, a PSO NLOS–LOS depth correction algorithm is proposed. Theoretical analysis shows that the algorithm proposed in this paper demonstrates a high tolerance rate for horizontal direction errors when compared with traditional methods. By incorporating the advantages of the PSO algorithm, the proposed algorithm also has strong robustness against the delay detection error and failure rate. Through principle analysis, simulations, and experiments, we have demonstrated that the proposed algorithms can effectively calibrate the position information of seabed hydrophones. Moreover, improved positioning accuracy of seabed hydrophone arrays can be achieved by combining the proposed algorithm with calibrated position information to compensate for the propagation delay.

Author Contributions

Conceptualization, C.X. and W.W.; methodology, C.X. and B.Y.; software, C.X. and D.Y.; validation, C.X. and Y.L.; formal analysis, C.X. and T.L.; investigation, C.X. and C.L.; resources, C.X.; data curation, C.X.; writing—original draft preparation, C.X., B.Y., and W.W.; writing—review and editing, T.L., D.Y. and C.L. All authors have read and agreed to the published version of the manuscript.

Funding

This research was funded by the National Key Research and Development Program of China (No. 2023YFC2808502), by the Key Research Program of Frontier Sciences under CAS (ZDBS-LY-7015), and by the Key Research Program of the Chinese Academy of Sciences under Grant No. E3221403.

Data Availability Statement

The data presented in this study are available only on request from the corresponding author due to the dataset analyzed in this study not being exclusive to this research unit.

Acknowledgments

The authors extend their sincere gratitude to the crew and technical staff for their indispensable support during the sea trials and to the editors and reviewers of JMSE for their invaluable time and constructive feedback, which significantly enhanced this manuscript.

Conflicts of Interest

The authors declare no conflicts of interest.

Abbreviations

The following abbreviations are used in this manuscript:
NLOSNon-Line-of-Sight
LOSLine-of-Sight
PSOParticle Swarm Optimization
TDOATime Difference of Arrival

References

  1. Ferguson, B.G.; Carevic, D. Optimal spatial filtering of real data from submarine sonar arrays. In Proceedings of the OCEANS’10 IEEE SYDNEY, Sydney, Australia, 24–27 May 2010; pp. 1–7. [Google Scholar]
  2. Li, X.; Wang, Y.; Qi, B.; Hao, Y. Long Baseline Acoustic Localization Based on Track-Before-Detect in Complex Underwater Environments. IEEE Trans. Geosci. Remote Sens. 2023, 61, 1–14. [Google Scholar] [CrossRef]
  3. Li, Z.; Dosso, S.E.; Sun, D. Motion-Compensated Acoustic Localization for Underwater Vehicles. IEEE J. Ocean. Eng. 2016, 41, 840–851. [Google Scholar] [CrossRef]
  4. Wetter, E.; Seto, M.L. Collaborative AUV Localization and Tracking of an Underway Ship with Adaptive Pinging and a Planner for Trilateration. In Proceedings of the 2022 IEEE Canadian Conference on Electrical and Computer Engineering (CCECE), Halifax, NS, Canada, 18–20 September 2022; pp. 294–299. [Google Scholar]
  5. Turetta, A.; Casalino, G.; Simetti, E.; Sperindè, A.; Torelli, S. Analysis of the accuracy of a LBL-based underwater localization procedure. In Proceedings of the 2014 Oceans—St. John’s, St. John’s, NL, USA, 14–19 September 2014; pp. 1–7. [Google Scholar]
  6. Lokhande, S.; Malarkodi, A.; Latha, G.; Srinivasan, S. Autonomous detection, localization and tracking of ships by underwater acoustic sensing using vector sensor array. Appl. Ocean Res. 2025, 154, 104389. [Google Scholar] [CrossRef]
  7. Yu, M.; Geng, H.; Liu, X. Underwater vehicle positioning method using sound speed error estimation in conjunction with a motion compensation model. Ocean Eng. 2025, 319, 120241. [Google Scholar] [CrossRef]
  8. Magalhães, R.; Fernandez-Ruiz, M.R.; Costa, L.; Martins, H.F.; Garcia-Ruiz, A.; Martin-Lopez, S.; Williams, E.; Zhan, Z.; Vantilho, R.; Gonzalez-Herraez, M. Underwater seismology using submarine dark fibres. In Proceedings of the 2020 22nd International Conference on Transparent Optical Networks (ICTON), Bari, Italy, 19–23 July 2020; pp. 1–4. [Google Scholar]
  9. Nagai, T.; Kado, H.; Nakayama, M.; Nakashima, H.; Inoue, M.; Simizu, Y.; Nakagawa, T. Development and field application of composite type submarine cables for coastal wave observation. In Proceedings of the 2003 International Conference Physics and Control. Proceedings (Cat. No.03EX708), Saint Petersburg, Russia, 25–27 June 2003; pp. 39–44. [Google Scholar]
  10. Kussat, N.; Chadwell, C.; Zimmerman, R. Absolute positioning of an autonomous underwater vehicle using GPS and acoustic measurements. IEEE J. Ocean. Eng. 2005, 30, 153–164. [Google Scholar] [CrossRef]
  11. Wang, Y.; Zou, N.; Liang, G.-L. A geometric calibration mehtod of hydrophone array with known sources in near field under strong multipath. Acta Phys. Sin. 2015, 64, 024304. [Google Scholar] [CrossRef]
  12. Li, J.; Li, L.; Yu, F.; Ju, Y.; Ren, J. Application of simulated annealing particle swarm optimization in underwater acoustic positioning optimization. In Proceedings of the OCEANS 2019—Marseille, Marseille, France, 17–20 June 2019; pp. 1–4. [Google Scholar]
  13. Zhou, Z.; Shi, Y.; Yang, L.; Zhang, R. A TDOA Method for Underwater Target Location Based on Particle Swarm Optimization with Experiment Verification. In Proceedings of the OCEANS 2024—Singapore, Singapore, 12–14 November 2024; pp. 1–5. [Google Scholar]
  14. Xiong, C.; Yang, B.; Wang, W.; Liu, Y.; Li, X.; Guo, W. A Position Calibration Method for Underwater Fiber Optic Hydrophone Array Based on TDOA and PSO Algorithms. In Proceedings of the 2023 IEEE International Conference on Signal Processing, Communications and Computing (ICSPCC), Zhengzhou, China, 14–17 November 2023; pp. 1–4. [Google Scholar]
  15. Zhang, G.; Yi, G.; Wei, Z.; Xie, Y.; Qi, Z. A Novel Positional Calibration Method for an Underwater Acoustic Beacon Array Based on the Equivalent Virtual Long Baseline Positioning Model. J. Mar. Sci. Eng. 2024, 12, 825. [Google Scholar] [CrossRef]
  16. He, Z.; Lei, B.; Yang, Y. Optimization method of operating depth for transmitted acoustic detection of underwater targets. Appl. Acoust. 2025, 237, 110770. [Google Scholar] [CrossRef]
  17. Ma, T.; Ding, S.; Li, Y.; Fan, J. A review of terrain aided navigation for underwater vehicles. Ocean Eng. 2023, 281, 114779. [Google Scholar] [CrossRef]
  18. Zhai, D.; Zhang, B.; Li, F.; Zhang, Y.; Yang, X. Passive source depth estimation in shallow water using two horizontally separated hydrophones. Appl. Acoust. 2022, 192, 108723. [Google Scholar] [CrossRef]
  19. Zhao, C.; Liang, G.; Wang, J.; Qiu, L.; Liu, G.; Dong, W. Single-hydrophone-based passive localization for vertically moving targets in shallow water. Ocean Eng. 2024, 306, 118062. [Google Scholar] [CrossRef]
  20. Pei, X.; Ma, X.; Li, X.; Fu, Y. Underwater reverberation suppression method by the symmetry of signal and centrosymmetric arrays. Appl. Acoust. 2024, 221, 109986. [Google Scholar] [CrossRef]
  21. Wang, S.; Ahmad, N.S. Improved UWB-based indoor positioning system via NLOS classification and error mitigation. Eng. Sci. Technol. Int. J. 2025, 63, 101979. [Google Scholar] [CrossRef]
  22. Zhang, L.; Wang, H.; He, W.; Wang, X. Acoustic Indoor Localization Based on Range and Relative Velocity in Non-Line-of-Sight Environment. IEEE Sens. J. 2024, 24, 19466–19481. [Google Scholar] [CrossRef]
  23. Emokpae, L.E.; DiBenedetto, S.; Potteiger, B.; Younis, M. UREAL: Underwater Reflection-Enabled Acoustic-Based Localization. IEEE Sens. J. 2014, 14, 3915–3925. [Google Scholar] [CrossRef]
  24. Wang, Y.; Zhang, X.; Sun, S.; Wang, J. Underwater navigation using a single beacon based on the time delays of the direct signals and the surface-reflected signals. Appl. Acoust. 2022, 187, 108503. [Google Scholar] [CrossRef]
  25. Zhang, Y.; Gulliver, T.A.; Wu, H.; Li, J.; Mei, X.; Xian, J.; Li, K.-C. 3-D RSSD Localization Under Mixed Gaussian Noise and NLOS Environments in UWSNs. IEEE Internet Things J. 2025, 12, 28731–28742. [Google Scholar] [CrossRef]
  26. Cheng, S.; Lu, H.; Lei, X.; Shi, Y. A quarter century of particle swarm optimization. Complex Intell. Syst. 2018, 4, 227–239. [Google Scholar] [CrossRef]
  27. Sedighizadeh, D.; Masehian, E. Particle Swarm Optimization Methods, Taxonomy and Applications. Int. J. Comput. Theory Eng. 2009, 1, 486–502. [Google Scholar] [CrossRef]
  28. Garcia-Gonzalo, E.; Fernandez-Martinez, J.L. A Brief Historical Review of Particle Swarm Optimization (PSO). J. Bioinform. Intell. Control 2012, 1, 3–16. [Google Scholar] [CrossRef]
  29. Li, J.; Tong, F.; Zhou, Y.; Yang, Y.; Hu, Z. Small Size Array Underwater Acoustic DOA Estimation Based on Direction-Dependent Transmission Response. IEEE Trans. Veh. Technol. 2022, 71, 12916–12927. [Google Scholar] [CrossRef]
  30. Tao, J.; Chang, W.; Cui, W. Vector Field Smoothing for DOA Estimation of Coherent Underwater Acoustic Signals in Presence of a Reflecting Boundary. IEEE Sens. J. 2007, 7, 1152–1158. [Google Scholar] [CrossRef]
  31. Ning, G.; Xie, L.; Li, X.; Zhang, J. 1D Acoustic Velocity-Independent DOA Estimation Method with Arbitrary Arrays. J. Commun. Inf. Netw. 2020, 5, 121–129. [Google Scholar] [CrossRef]
  32. Wang, J.; Quan, T.; Jiao, L.; Zhang, W.; Gullive, T.A.; Yang, X. DOA Estimation of Underwater Acoustic Array Signal Based on Wavelet Transform with Double Branch Convolutional Neural Network. IEEE Trans. Veh. Technol. 2023, 72, 5962–5972. [Google Scholar] [CrossRef]
Figure 1. Schematic diagram of underwater hydrophone calibration experiment.
Figure 1. Schematic diagram of underwater hydrophone calibration experiment.
Jmse 13 01922 g001
Figure 2. The general technical roadmap of the algorithm proposed in this paper.
Figure 2. The general technical roadmap of the algorithm proposed in this paper.
Jmse 13 01922 g002
Figure 3. Flow chart of the PSO algorithm.
Figure 3. Flow chart of the PSO algorithm.
Jmse 13 01922 g003
Figure 4. Traditional DOA algorithm block diagram.
Figure 4. Traditional DOA algorithm block diagram.
Jmse 13 01922 g004
Figure 5. Diagram of traditional depth estimation methods.
Figure 5. Diagram of traditional depth estimation methods.
Jmse 13 01922 g005
Figure 6. Diagram of our improved depth estimation method.
Figure 6. Diagram of our improved depth estimation method.
Jmse 13 01922 g006
Figure 7. Diagram showing the angle variation with horizontal distance.
Figure 7. Diagram showing the angle variation with horizontal distance.
Jmse 13 01922 g007
Figure 8. Diagram showing the variation of depth solution results with horizontal distance.
Figure 8. Diagram showing the variation of depth solution results with horizontal distance.
Jmse 13 01922 g008
Figure 9. Diagram showing the variation of the depth solution error with horizontal distance.
Figure 9. Diagram showing the variation of the depth solution error with horizontal distance.
Jmse 13 01922 g009
Figure 10. Diagram showing the variation of the depth solution error with depth.
Figure 10. Diagram showing the variation of the depth solution error with depth.
Jmse 13 01922 g010
Figure 11. Simulation scene diagram.
Figure 11. Simulation scene diagram.
Jmse 13 01922 g011
Figure 12. Schematic diagram of the horizontal correction error.
Figure 12. Schematic diagram of the horizontal correction error.
Jmse 13 01922 g012
Figure 13. Sound velocity profile 1 and corresponding propagation delay situation.
Figure 13. Sound velocity profile 1 and corresponding propagation delay situation.
Jmse 13 01922 g013
Figure 14. Sound velocity profile 2 and corresponding propagation delay situation.
Figure 14. Sound velocity profile 2 and corresponding propagation delay situation.
Jmse 13 01922 g014
Figure 15. Comparison of average errors between the two algorithms in different scenarios. (a) Depth errors at Different Depths. (b) Depth errors at Different Horizontal Distances. (c) Depth errors under Horizontal Distance Errors. (d) Depth errors under Time Delay Detection Errors.
Figure 15. Comparison of average errors between the two algorithms in different scenarios. (a) Depth errors at Different Depths. (b) Depth errors at Different Horizontal Distances. (c) Depth errors under Horizontal Distance Errors. (d) Depth errors under Time Delay Detection Errors.
Jmse 13 01922 g015
Figure 16. Comparison of error standard deviations between the two algorithms in different scenarios. (a) Depth error standard deviations at Different Depths. (b) Depth error standard deviations at Different Horizontal Distances. (c) Depth error standard deviations under Horizontal Distance Errors. (d) Depth error standard deviations under Time Delay Detection Errors.
Figure 16. Comparison of error standard deviations between the two algorithms in different scenarios. (a) Depth error standard deviations at Different Depths. (b) Depth error standard deviations at Different Horizontal Distances. (c) Depth error standard deviations under Horizontal Distance Errors. (d) Depth error standard deviations under Time Delay Detection Errors.
Jmse 13 01922 g016
Figure 17. Schematic diagram of the NLOS–LOS delay difference varying with the horizontal distance in different failure rates.
Figure 17. Schematic diagram of the NLOS–LOS delay difference varying with the horizontal distance in different failure rates.
Jmse 13 01922 g017
Figure 18. Schematic diagram of the variation of depth correction error in different failure rates (0–90%).
Figure 18. Schematic diagram of the variation of depth correction error in different failure rates (0–90%).
Jmse 13 01922 g018
Figure 19. Schematic diagram of the variation of depth correction error in different failure rates (90–98%).
Figure 19. Schematic diagram of the variation of depth correction error in different failure rates (90–98%).
Jmse 13 01922 g019
Figure 20. Simulation scenario diagram.
Figure 20. Simulation scenario diagram.
Jmse 13 01922 g020
Figure 21. Schematic diagram of the horizontal simulation error.
Figure 21. Schematic diagram of the horizontal simulation error.
Jmse 13 01922 g021
Figure 22. Schematic diagram of the simulation error in the depth direction.
Figure 22. Schematic diagram of the simulation error in the depth direction.
Jmse 13 01922 g022
Figure 23. Diagram of sound source deployment at the sea trial site. (a) Deployment Process of the Sound Source in Sea Trial. (b) Final Installation of the Sound Source in Sea Trial.
Figure 23. Diagram of sound source deployment at the sea trial site. (a) Deployment Process of the Sound Source in Sea Trial. (b) Final Installation of the Sound Source in Sea Trial.
Jmse 13 01922 g023
Figure 24. Experimental scene diagram.
Figure 24. Experimental scene diagram.
Jmse 13 01922 g024
Figure 25. Experimental scene schematic.
Figure 25. Experimental scene schematic.
Jmse 13 01922 g025
Figure 26. Hydrophone receiving signal diagram.
Figure 26. Hydrophone receiving signal diagram.
Jmse 13 01922 g026
Figure 27. Hydrophone received signal cross-correlation results diagram.
Figure 27. Hydrophone received signal cross-correlation results diagram.
Jmse 13 01922 g027
Figure 28. Diagram of the change in the peak delay difference Δ t with the first peak propagation delay.
Figure 28. Diagram of the change in the peak delay difference Δ t with the first peak propagation delay.
Jmse 13 01922 g028
Figure 29. Hydrophone horizontal position solution diagram.
Figure 29. Hydrophone horizontal position solution diagram.
Jmse 13 01922 g029
Figure 30. Comparison diagram between the corrected hydrophone positioning results and the GPS results.
Figure 30. Comparison diagram between the corrected hydrophone positioning results and the GPS results.
Jmse 13 01922 g030
Table 1. PSO Algorithm Parameters.
Table 1. PSO Algorithm Parameters.
ParametersValueNote
Inertia Weight ω 0.8
Cognitive (Personal) Acceleration Coefficient c 1 0.5 c 1 = c 2 , the algorithm is more balanced and can find the global optimal solution at a faster speed
Social (Global) Acceleration Coefficient c 2 0.5
Velocity update equation p o p v i ( t + 1 ) = ω × p o p v i ( t ) + c 1 × r 1 × ( p i p o p x i ( t ) ) + c 2 × r 2 × ( g p o p x i ( t ) ) p o p x i ( t ) represents the current position;
p i represents the historical optimal position of the particle;
g represents the historically optimal position in this particle swarm
Maximum Velocity ( x limit _ max x limit _ min ) × 0.1
Particle position update equation p o p x i ( t + 1 ) = p o p x i ( t ) + p o p v i ( t + 1 )
The number of particles500These parameters are set through simulation.
Termination conditionNumber of iterations > 50
Table 2. Supplementary version of parameters related to the PSO algorithm.
Table 2. Supplementary version of parameters related to the PSO algorithm.
Types of PSOParametersSettingsNote
TDOA+PSO in the
previous fitness
function
Equation used for particle movementEquations (11) and (12)[14]
Maximum Position Bounds { x , y , h } [ 2000 , 2000 , 1000 ]
Minimum Position Bounds { x , y , h } [ 2000 , 2000 , 0 ]
TDOA+PSO in the
proposed fitness
function
Equation used for particle movementEquations (32) and (33)k = 0.2
The algorithm
proposed in
this paper
Maximum Position Bounds { x , y , h , N r e m o v e x y } [ 2000 , 2000 , 1000 , ( N 1 ) × 0.5 ]
Minimum Position Bounds { x , y , h , N r e m o v e x y } [ 2000 , 2000 , 0 , 0 ]
PSO traditional
depth correction
algorithm
Equation used for particle movementEquations (34) and (35) k 1 = 0.2
Traditional depth
solution methods
such as USBL
and LBL
Maximum Position Bounds { h , N r e m o v e h } [ 1000 , N × 0.5 ]
Minimum Position Bounds { h , N r e m o v e h } [ 0 , 0 ]
PSO NLOS–LOS
depth correction
algorithm
Equation used for particle movementEquations (36) and (37) k 2 = 0.2
The algorithm
proposed in
this paper
Maximum Position Bounds { h , N r e m o v e h 1 } [ 1000 , N × 0.5 ]
Minimum Position Bounds { h , N r e m o v e h 1 } [ 0 , 0 ]
Table 3. Simulation parameter configuration table in the horizontal direction.
Table 3. Simulation parameter configuration table in the horizontal direction.
CategoryParametersValue
Condition of support shipNavigation trajectory of the supporting shipCircular trajectory with a radius of 2000 m
GPS accuracy of the support ship2 m
Number of signals emitted by the sound source during the voyage300
Propagation delay errorLOS waves 10 4 s level
LOS in special casesThere is a 1 % probability that the error is 1 × 10 2 s.
Situation of seabed hydrophone arrayFormationCircle
Array radius100 m, 300 m…1500 m
Number of hydrophonesSixteen hydrophones for each radius, totaling 128 hydrophones
Seabed depthAround 200 m
Table 4. Simulation parameter configuration table.
Table 4. Simulation parameter configuration table.
CategoryParametersValue
Condition of supporting shipNavigation trajectory of the support shipCircular trajectory with a radius of 2000 m
GPS accuracy of the supporting ship2 m
Number of signals emitted by the sound source during the voyage300
Propagation delay errorLOS waves 10 4 s level
LOS in special casesThere is a 1 % probability that the error is 1 × 10 2 s.
NLOS waves 10 3 s level
NLOS in special casesThere is a 10 % probability that the error is 5 × 10 2 s.
Situation of seabed hydrophone arrayFormationCircle
Array radius400 m
Number of hydrophones128 hydrophones
Seabed depthAround 200 m
Table 5. Experimental parameter configuration table.
Table 5. Experimental parameter configuration table.
CategoryParametersValue
Sea state and condition of support shipSea stateLevel 1–2
Navigation trajectory of the support shipCircular trajectory with a radius of 2000 m
GPS accuracy of the support ship2 m
Calibration signal parametersSignal formLinear frequency modulation signal
Pulse width0.1 s
Bandwidth2 kHz
Initial frequency2.2 kHz
Signal transmission period10 s
Situation of seabed hydrophone arrayFormationCircle with a radius of around 400 m
Number of hydrophones124
Sampling frequency10 kHz
Seabed depthAround 200 m
Table 6. Positioning error of the corrected hydrophone array.
Table 6. Positioning error of the corrected hydrophone array.
CategoryMethodError
Positioning error of the hydrophone array calibrated only in the horizontal directionTDOA+Depth correction≤228 m
TDOA+PSO in the previous fitness function [14,15]≤102 m
TDOA+PSO in the proposed fitness function≤80 m
Positioning error of the hydrophone array after horizontal direction and depth calibrationTDOA+Depth correction≤16 m
TDOA+PSO in the previous fitness function+Depth correction≤14 m
TDOA+PSO in the proposed fitness function+Depth correction≤12 m
Disclaimer/Publisher’s Note: The statements, opinions and data contained in all publications are solely those of the individual author(s) and contributor(s) and not of MDPI and/or the editor(s). MDPI and/or the editor(s) disclaim responsibility for any injury to people or property resulting from any ideas, methods, instructions or products referred to in the content.

Share and Cite

MDPI and ACS Style

Xiong, C.; Yang, B.; Wang, W.; Liu, Y.; Liu, T.; Yu, D.; Li, C. Position Calibration of Shallow-Sea Hydrophone Arrays in Reverberant Environments. J. Mar. Sci. Eng. 2025, 13, 1922. https://doi.org/10.3390/jmse13101922

AMA Style

Xiong C, Yang B, Wang W, Liu Y, Liu T, Yu D, Li C. Position Calibration of Shallow-Sea Hydrophone Arrays in Reverberant Environments. Journal of Marine Science and Engineering. 2025; 13(10):1922. https://doi.org/10.3390/jmse13101922

Chicago/Turabian Style

Xiong, Changjing, Bo Yang, Wei Wang, Yeyao Liu, Tianli Liu, Dahai Yu, and Chuanhe Li. 2025. "Position Calibration of Shallow-Sea Hydrophone Arrays in Reverberant Environments" Journal of Marine Science and Engineering 13, no. 10: 1922. https://doi.org/10.3390/jmse13101922

APA Style

Xiong, C., Yang, B., Wang, W., Liu, Y., Liu, T., Yu, D., & Li, C. (2025). Position Calibration of Shallow-Sea Hydrophone Arrays in Reverberant Environments. Journal of Marine Science and Engineering, 13(10), 1922. https://doi.org/10.3390/jmse13101922

Note that from the first issue of 2016, this journal uses article numbers instead of page numbers. See further details here.

Article Metrics

Back to TopTop