Next Article in Journal
I-VoxICP: A Fast Point Cloud Registration Method for Unmanned Surface Vessels
Next Article in Special Issue
Research on High-Precision Long-Range Positioning Technology in the Deep Sea
Previous Article in Journal
Survey on Multi-Source Data Based Application and Exploitation Toward Smart Ship Navigation
Previous Article in Special Issue
An Underwater Localization Algorithm Based on the Internet of Vessels
 
 
Font Type:
Arial Georgia Verdana
Font Size:
Aa Aa Aa
Line Spacing:
Column Width:
Background:
Article

Low-Phase-Error Underwater Acoustic Spiral Wavefront Array and Phase Error Compensation

by
Rongzhen Guo
1,2,3,
Wei Lu
1,2,3,* and
Yu Lan
1,2,3
1
National Key Laboratory of Underwater Acoustic Technology, Harbin Engineering University, Harbin 150001, China
2
Key Laboratory of Marine Information Acquisition and Security (Harbin Engineering University), Ministry of Industry and Information Technology, Harbin 150001, China
3
College of Underwater Acoustic Engineering, Harbin Engineering University, Harbin 150001, China
*
Author to whom correspondence should be addressed.
J. Mar. Sci. Eng. 2025, 13(10), 1853; https://doi.org/10.3390/jmse13101853
Submission received: 24 August 2025 / Revised: 19 September 2025 / Accepted: 23 September 2025 / Published: 24 September 2025
(This article belongs to the Special Issue Advances in Underwater Positioning and Navigation Technology)

Abstract

Acoustic spiral wavefronts demonstrate linear phase directionality, facilitating precise azimuth estimation in underwater navigation through phase comparison with reference wavefronts characterized by constant phase directionality. The reliability of azimuth estimation depends on the phase directionality accuracy of both the spiral and reference wavefront sources. This study introduces a seven-element transmitting array, constructed using bender disk transducers, which is capable of generating both spiral and reference acoustic wavefronts with minimal phase directionality error. The array design was developed and evaluated using a point source array model and numerical simulations, followed by physical fabrication. To address the sensitivity of the phase–azimuth linearity to manufacturing imperfections in sound sources, a phase error compensation technique was implemented by adjusting the input signal parameters to the acoustic emitters. Experimental validation was conducted in an anechoic water tank, where both spiral and reference wavefronts were transmitted across multiple frequencies. The results reveal that the array prototype achieved sub-degree-level compensated phase directionality accuracy for both wavefront types at all the tested frequencies. Notably, at the resonance frequency of 7.3 kHz, the root-mean-square phase directionality error of the spiral wavefront was reduced to as low as 0.19°.

1. Introduction

Spiral wavefront beacons are an emerging underwater acoustic navigation technique [1]. This method uses acoustic spiral wavefronts (ASWFs) to establish the relationship between the acoustic phase and the azimuth to the beacon. Specifically, the beacon emits two acoustic signals in a fixed sequence, with their wavefronts forming a linear spiral and a concentric circle in the x-y plane. Under these conditions, the phase difference between the two acoustic signals is linearly related to the azimuth of the receiver and is easily determined via a single hydrophone [2,3]. Due to the simple equipment requirements of the receivers, it is promising for small underwater platforms such as unmanned underwater vehicles (UUVs).
An ASWF can be characterized by a topological charge, which is the phase increment divided by 2π after completing a full circle around the sound source and returning to the starting position. The topological charges in the wavefronts utilized in spiral navigation are 0 for the reference wavefront and 1 for the spiral wavefront.
Various experiments have been performed to examine the method of spiral wavefront navigation. In [2], several outgoing signal forms and processing techniques were compared. The root-mean-square (RMS) error was found to range from 7.2° to 12.8°. Two deterministic errors were discussed; namely, the phase error of the beacon and the radial velocity of the receiver. In [3], underwater navigation experiments were carried out using a single spiral wavefront beacon with different ranges and beacon depths. The stochastic error was estimated to vary from 2.7° to 7.3° over the experiments.
With the development of the ASWF navigation technique, different types of ASWF sources have also been developed. Building on the basic model of physical-spiral and phased-spiral sources [1], spiral wavefront transducers have been realized with 1–3 piezocomposite materials [4], piezoceramic hollow cylinders [5,6], and cylinder shell with inner spring–mass structures [7]. Among the ASWF sources, the working frequency range extends to 1–100 kHz.
As the aspect for ASWF navigation transfer from the phase data, high precision navigation always requires accurate phase transmission and reception. However, the phase error of the ASWF sources, particularly the insufficient linearity of the phase-azimuth relationship, appears to be ubiquitous [2,3,4,5,6,7,8]. On the one hand, the systematic phase error of the source can be calibrated in advance and corrected within the receiver’s data processing procedure [6]. On the other hand, the designs of low-phase-error ASWF sources can be further investigated [7], and calibration methods that adjust the input signals have shown effectiveness [8]. The issue of how to further minimize the phase errors of the ASWF sources remains a matter of significant concern.
This study proposes an underwater circular array that employs monopole-behaved transducers; specifically, the bender disk transducer, which emits low-phase-error spiral wavefronts and circular reference wavefronts for ASWF navigation. The array was parametrically designed and analyzed using the point source array model, considering both the amplitude and phase error responses. Subsequently, a prototype of the array was then fabricated and tested. Given that the phase directionality error of the array is crucial for navigation applications and is highly susceptible to manufacturing errors, a phase error compensation method based on the linear system assumption was examined through experiments with the prototype. The experimental results are presented and discussed.

2. Materials and Methods

2.1. Design of the Transmitting Array Structure

2.1.1. Structure and Drive Method

The transmitting array comprises N transducer elements uniformly distributed along a circle configuration in the x-y plane, as illustrated in Figure 1. The array is designed to emit both acoustic spiral wavefronts and reference wavefronts using a single structure, aiming to minimize the phase error while maintaining high transmitting efficiency. Bender disk transducer was selected as the array element due to its compact size and favorable low-frequency characteristics, which offer design flexibility in terms of array scaling. By adjusting the driving phase bias, the array can sequentially generate both wavefront types, ensuring perfect concentricity and eliminating the need for additional correction in out-of-plane applications. The phase error-defined as the deviation between the actual phase-azimuth character profile and the ideal linear or constant behavior-represents a critical performance metric of the array, as it directly affects the accuracy of the azimuth estimation. This aspect is examined in detail in the subsequent sections of this article.
The transmitting array is actuated by an N -channel characterized by uniform frequency and amplitude across all channels, and a driving phase modulus m . The phase bias between adjacent channels—specifically, from channel i to channel i + 1 —is defined by the expression 2 m π / N , where m corresponds to the topological charge of the desired ASWF. When m = 0 , the array emits reference wavefronts with constant phase directionality; when m = 1 , it generates spiral wavefronts exhibiting a linear phase variation with azimuth at a 1:1 ratio. An example of the driving signal configuration is illustrated in Figure 2.

2.1.2. Modeling Method Based on Point Source Approximation

As bender disk transducer is a small-sized low-frequency transducer and shows a monopole directivity both for the amplitude and phase, as shown in Figure 3; hence, it can be regarded as a point sound source in the preliminary analysis. Thus, based on point sound source approximation, the transmitting array was modeled using a simple circular array (SCA) model, which was established in our previous work [7] and as shown in Figure 4.
The SCA model describes a circular array with uniform spacing of both the geometry and initial phase. The model neglects the scattering effect and assumes that the array elements are omnidirectional with the same source strength. The SCA model facilitates an easy analysis of the amplitude response and phase error performance of the array.

2.1.3. Method of Analyzing the Effects of the Structure Parameters on the Performance

Using superposition theory, the far-field acoustic pressure of the emitted wave can be described in the form of an ASFW decomposition:
p r , φ , t / A r e j ω t k r = i = 1 N   e j k a cos 2 i π N φ + 2 m i π N = μ = + B μ k a e j μ φ ,
B μ k a = N · J μ k a · j μ ,   μ = m + z · N   z Z 0 , e l s e ,
where A is related to the source strength of the array elements, k is the wave number, μ is the topological charge, Z is the set of integers, and J ν x is a Bessel function of the first kind.
Thus, the amplitude response of the array, B μ k a , is revealed directly by the Bessel function, and phase error can be further analyzed based on the idea of the signal-to-interference ratio (SIR).
The phase error, characterized by its root-mean-square (RMS) value of the phase error according to the azimuth, is a result of non-desired ASWFs interference with topological charges of μ m against the desired ASWF with μ = m . Assuming S I R 0 , the phase error can be defined by the SIR in a simple formation while neglecting the small amplitude deviation caused by the interference. The RMS phase directionality error, R M S E P . D . , is calculated in the form of Equation (2) [7].
R M S E P . D . 10 32 S I R 20
S I R = 10 log 10 B m 2 μ m B μ 2 .
While the variable of Bessel functions is smaller than the minimum of the first stationary point according to the orders ν , the value of the function with smaller absolute order ν is always larger. So, the phase error is mainly determined using several B μ terms with the smallest absolute orders and is calculated using nonzero terms with the first five smallest absolute orders in the design and analysis step.
The two main structure parameters of the transmitting array can now be summarized. One is the product of the wave number and array radius, k a ; the other is the number of array elements, N .

2.1.4. Design Indicators and Optimization

We considered two principal design indicators to guide the optimization of the transmitting array. The first is the root-mean-square (RMS) value of the phase directionality error, which plays a crucial role in determining the precision of azimuth estimation for navigation applications. Lower phase error values generally correspond to higher azimuth estimation accuracy. The second indicator is the amplitude response of both wavefront types, which reflects the effective range of navigation service provided by the array. Maintaining sufficiently high amplitude levels for both spiral and reference wavefronts is essential to ensure reliable performance over extended distances. These indicators were deliberately selected based on the operational objectives of the transmitting array and the stringent requirements of high-accuracy azimuth estimation tasks.
The optimization process was designed to balance the selected performance indicators while accounting for practical constraints such as manufacturing feasibility and cost-effectiveness. Notably, although the number of the array elements N exerts a proportional influence on the amplitude levels of both wavefronts, it has a significantly larger impact on the phase error. Therefore N was excluded from the amplitude response design phase. Instead, the product of the wave number and array radius, k a , was optimized to ensure both wavefronts exhibit equal and sufficiently high amplitude levels. Subsequently, the value of N was selected to achieve a sub-degree-level phase directionality error, thereby satisfying the accuracy requirements defined by the design indicator.
Figure 5 shows the amplitude responses of the spiral ( m = 1 ) and reference ( m = 0 ) wavefronts according to Equation (1), which suggests the best solution for k a around 1.43 rad. If the amplitudes of both wavefronts are required to be no less than −6 dB of their overall maximum values, k a ranges from 1.21 to 1.52 rad. If the amplitude requirement is relaxed to no less than −10 dB, the range of k a extends to 0.67–1.84 rad.
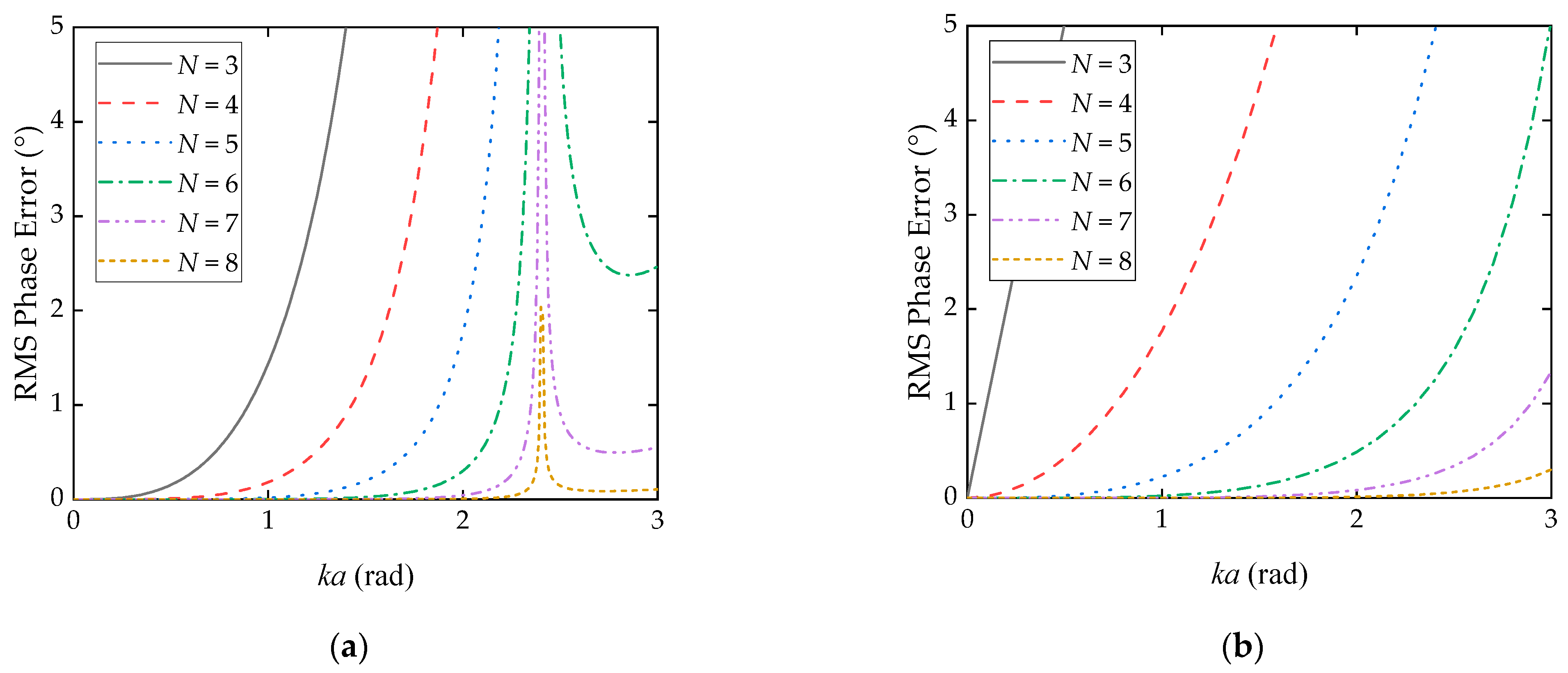
Figure 6 shows that the RMS value of the phase directionality errors, R M S E P . D . , of the two wavefronts varies with k a and N , according to Equation (2) and the truncation method in 2.1.3. Hence, the larger the value of N , the smaller the phase error of the array. According to the curves, if the RMS value of phase error remains below 1° at k a = 0.67–1.84 rad, at least six elements should be employed in the array.

2.2. Phase Error Compensation Method

ASWF sources experience a significant degradation in phase accuracy between the designed and manufactured devices [2,3,4,5,6,7,8], generally attributed to the susceptibility of phase-based performance to manufacturing errors in the sources, which can be mitigated by higher standards but cannot be fully eradicated. Therefore, a compensation method can enhance the performance.
The phase error compensation method is based on a liner input–output model of the transmitting array system, which begins at the electrical voltages input to the array elements and ends at the generated acoustic field, as shown in Figure 7.
Although the actual system involves numerous phenomena and theories (e.g., piezoelectric effect, elastic vibration, acoustic radiation, and acoustic scattering), it is reasonable to assume that the model of the array is linear under small-signal conditions.
If the signal in the system is time-harmonic, the input to the array can be described using the voltage vector V = V ~ 1 ,   V ~ 2 , , V ~ N T , where V ~ i =   V ~ i arg V ~ i is the complex voltage applied to the array element with index i , which contains the amplitude and phase. The output acoustic field is described as the acoustic pressure vector P = p ~ 1 ,   p ~ 2 , , p ~ M T , where p ~ i is the complex acoustic pressure at the sampled point with index i and M > N . Therefore, the fabricated array system can be described as Equation (3a) using a system matrix S N × M , which can be easily obtained via measurements in working condition with Equation (3b), by taking N different voltage vectors to form a full-rank test voltage matrix V N × N = [ V 1 , V 2 , , V N ] .
P M × 1 = S M × N V N × 1
S M × N = P M × N V N × N 1
Finally, the compensated voltage vector, V c ,   can be calculated using Equation (4) with the Moore–Penrose generalized inverse, S N × M + , where P t is the target acoustic pressure vector sampled from an ideal acoustic field model.
V c = P t S +
The compensated voltage vector is the least-squares solution that minimizes P t V N × 1 S N × M when applied to the fabricated transmitting array.
In summary, the compensation process includes three steps:
  • Measurements of the matrix, S M × N .
  • Calculation of complex voltage vector, V c .
  • Application of the calculated amplitudes and phases to the array.
As the weights of the sampled acoustic pressure are equal in the compensation process, a uniform space sampling should be applied to the acoustic field.

2.3. Prototype Fabrication

To validate the design of the transmitting array and the proposed error compensation method, a prototype was fabricated. The transmitting array prototype was designed to have seven bender disk elements arranged as radial spokes around a hollow array support in the center, as shown in Figure 8. A gap was maintained between the elements and the array support. To allow for potential performance degradation due to factors neglected in the SCA model, the number of the elements was increased by one based on the above design. The bender disk element has a diameter of 50 mm, and the distance between the center of each element and the center of the array is also 50 mm, to make the k a of the array aproximates the best solution, 1.43 rad. The minimum distance between the elements and array support is 5 mm.
The materials selected for the prototype included piezoelectric ceramics PZT-5 for the transducer elements and a lightweight metal alloy Aluminium-6061 for the elements and array support structure. Polyurethane was selected as the potting material due to its acoustic impedance being close to that of water.
The fabrication process began with the fabrication of the bender disk elements; the piezoelectric materials and metal disks were bonded using epoxy resin. Then, the electrodes of the transducer elements were soldered to a watertight cable, and the cable was routed through the hollow array support to avoid asymmetric scattering. The elements share the negative electrode but have individual positive electrodes. Finally, the array was potted into a whole piece by two steps of half potting using a customized mold.

2.4. Validation Experiment Setup

The Uniformity Assessment of the fabricated prototype elements was performed after the whole fabrication process via admittance curve measurement in air, using a HIOKI IM3570 impedance analyzer (HIOKI E.E. Corporation, Ueda, Nagano, Japan).
The acoustic tests and experiments of the fabricated transmitting array prototype were conducted in a 25 m × 15 m × 10 m anechoic water tank. The system consisted of a Sound Blaster X3 DAC (Creative Technology Ltd., Singapore, Singapore) to generate an eight-channel phased signal, a custom-built seven-channel TDA7293 amplifier (STMicroelectronics, Geneva, Switzerland), a B&K 8104 hydrophone (Brüel & Kjær, Naerum, Denmark), and a B&K 3053 data acquisition device (Brüel & Kjær, Naerum, Denmark). The distance between the hydrophone and the transmitting array was 1.8 m, with a depth of 5 m. The hydrophone sensitivity was calibrated at −208.0 dB (re 1 V/μPa). The background noise level was below 93 dB/√Hz from 5 to 10 kHz. Firstly, the transmitting voltage response (TVR) curve was tested, and the resonance frequency and k a value were obtained. Then, phase and amplitude directionality test were conducted with three frequencies, i.e., the resonance frequency, one above, and one below. The rotator was set to have a 5° step for all the directionality tests. The signals were continuous wave (CW) pulses with a 2 ms pulse width. The phase and amplitude data were converted using a fast Fourier transform (FFT). Finally, a phase error compensation experiment was subsequently condected with a test voltage matrix,
V 7 × 7 = 1 0 0 1 .

3. Results

3.1. Array Element Uniformity Assessment via Admittance

Figure 9 shows the admittance curves of the seven elements of the fabricated array prototype tested in air. The results exhibited good uniformity. There was very little deviation in the admittance curves, which showed a range of 9.52–9.54 kHz for the resonance frequency.

3.2. Transmitting Voltage Response

Figure 10 shows the transmitting voltage response from 5 to 10 kHz for the spiral and reference wavefronts. The maximum TVR values were 144.1 dB and 139.5 dB, respectively, and the frequencies were both very close to 7.3 kHz. The results were highly consistent with the simulation results. The product of the wave number and array radius, k a , was calculated as 1.52 rad.

3.3. Phase Error: With and Without Compensation

The frequencies selected were 5.5, 7.3 and 9.0 kHz, and the k a value were 1.15, 1.52, 1.88 rad, respectively. As the compensation method affects both the amplitude and phase, and the amplitude directivity test result is an accessory of the phase directionality test, both results are shown in Figure 11. The compensated amplitude directivity range reduced from 1.8 dB (maximum) to below 0.3 dB for all the tested frequencies and topological charges. Meanwhile, the maximum RMS phase error reduced from 1.92° to 0.51°, and the minimum dropped to 0.09°. Detailed comparisons are provided in Figure 12. The most significant improvement occurred at 5.5 kHz, where the RMS value of the phase error decreased from 1.15°, 1.54°, and 1.13° to as low as 0.12°, 0.26°, and 0.09°, for the topological charge −1, 0, and 1.
The compensated driving signal parameters in the above experiments are shown in Table 1. Different frequencies and different topological charges have different coefficients, and the corrections were not large compared to the theoretical ones. The maximum amplitude correction was 13%, and the maximum phase correction was 19.4°.

4. Discussion

4.1. Rationality of the Array Structure Design

Figure 13 illustrates the relationship between RMS phase error and frequency for both spiral and reference wavefronts. Among the evaluated methods, the simple circular array (SCA) model yielded the lowest estimated phase error. However, this result stems from the model’s omission of several critical factors, including the directivity variation of transducer elements relative to the point source approximation, the scattering effect, mutual radiation interactions, and the influence of the supporting structure. Furthermore, the calculation of the product k a (wave number multiplied by array radius) based solely on the distance between the centers of the transducer and the array is inadequate. The presence of liquid between structural components may induce liquid column resonance, significantly altering the radiation characteristics [9]. In contrast, the finite element method (FEM) provides a more realistic representation of the array’s performance, albeit with a higher phase error than the SCA model. While the SCA model lacks the precision required for high-fidelity estimation, it serves as a useful initial reference for determining appropriate values of k a and N in the design of dual wavefront sources.
As shown in the comparison in Figure 13, the spiral wavefronts exhibited a test performance more closely aligned with the simulation results, as compared to the reference wavefronts. This discrepancy warrants further investigations in future studies to better understand the underlying causes and improve the modeling accuracy.

4.2. Advantages and Limitations of Transducer Driving Method

The proposed compensation method was demonstrated to be effective in reducing the phase error of the acoustic source through a three-step procedure. However, it does not fully eliminate all the inherent defects within the source. These limitations arise from two primary factors. First, structural imperfections may impose a performance ceiling significantly below the theoretical optimum. Second, system-wide noise interferes with the accurate measurement of the system matrix S N × M , resulting in deviations between the calculated voltage parameters and their optimal values. Consequently, the compensation process yields improvements but cannot fully restore the ideal source behavior.
In addition, the validation was only conducted at three frequencies; hence there was a high signal-to-noise ratio (SNR) because the energy focused on a single frequency point in one pulse. However, in terms of the long-term applicability across a wider bandwidth, the compensated performance might deteriorate.

5. Conclusions

To address the challenges associated with low-phase-error emission in both spiral and reference wavefronts, this study introduced a novel transmitting array alongside a tailored compensation method. The primary contributions are as follows: (1) the design of a transmitting array optimized for a minimal phase error in dual wavefront generation; and (2) the development of a modified compensation technique grounded in a linear electroacoustic model of transmitting arrays.
Experimental validation was conducted in a water tank experiment using an array prototype comprising seven bender disk transducers. The prototype, with dimensions of Φ156 mm × 56 mm at the outer edge of the transducers, was driven by a seven-channel signal. The test results confirmed the array’s capability to effectively emit both spiral and reference wavefronts in an underwater environment. At the resonance frequency of 7.3 kHz, the array achieved peak transmitting voltage response (TVR) values of 144.1 dB for spiral wavefronts and 139.5 dB for reference wavefronts. The compensation method demonstrated significant improvements in both amplitude uniformity and phase directionality accuracy across all the tested frequencies. Specifically, the compensated amplitude directivity variation remained below 0.3 dB, while the RMS phase error was reduced to a range of 0.09–0.51°.

Author Contributions

R.G.: Conceptualization, Methodology, Formal analysis, Investigation, Data curation, Writing—original draft preparation, Visualization; W.L.: Validation, Project administration, Funding acquisition; Y.L.: Conceptualization, Resources, Validation, Writing—review and editing. All authors have read and agreed to the published version of the manuscript.

Funding

This research was funded by the National Nature Science Foundation of China (Grants Nos. 12074090).

Data Availability Statement

The raw data supporting the conclusions of this article will be made available by the corresponding author on request.

Conflicts of Interest

The authors declare no conflicts of interest.

Abbreviations

The following abbreviations are used in this manuscript:
ASWFAcoustic Spiral Wavefront
UUVUnmanned Underwater Vehicle
SCASimple Circular Array
RMSRoot Mean Square
SIRSignal to Interference Ratio
TVRTransmitting Voltage Response

References

  1. Hefner, B.T.; Dzikowicz, B.R. A spiral wave front beacon for underwater navigation: Basic concept and modeling. J. Acoust. Soc. Am. 2011, 129, 3630. [Google Scholar] [CrossRef] [PubMed]
  2. Dzikowicz, B.R.; Hefner, B.T.; Leasko, R.A. Underwater acoustic navigation using a beacon with a spiral wave front. IEEE J. Ocean. Eng. 2015, 40, 177–186. [Google Scholar] [CrossRef]
  3. Dzikowicz, B.R.; Yoritomo, J.Y.; Heddings, J.T.; Hefner, B.T.; Brown, D.A.; Bachand, C.L. Demonstration of spiral wavefront navigation on an unmanned underwater vehicle. IEEE J. Ocean. Eng. 2023, 48, 297. [Google Scholar] [CrossRef]
  4. Dzikowicz, B.R.; Hefner, B.T. A spiral wave front beacon for underwater navigation: Transducer prototypes and testing. J. Acoust. Soc. Am. 2012, 131, 3748. [Google Scholar] [CrossRef] [PubMed]
  5. Brown, D.A.; Aronov, B.; Bachand, C. Cylindrical transducer for producing an acoustic spiral wave for underwater navigation. J. Acoust. Soc. Am. 2012, 132, 3611. [Google Scholar] [CrossRef] [PubMed]
  6. Viegas, R.; Zabel, F.; Silva, A. In-lab demonstration of an underwater acoustic spiral source. Sensors 2023, 23, 4931. [Google Scholar] [CrossRef] [PubMed]
  7. Guo, R.; Lu, W.; Lan, Y. Underwater acoustic spiral wavefront transducer with low phase directionality error. J. Acoust. Soc. Am. 2024, 256, 3459. [Google Scholar] [CrossRef] [PubMed]
  8. Viegas, R.; Zabel, F.; Silva, A. Underwater acoustic spiral source: Pool tests and calibration. In Proceedings of the OCEANS 2023-Limerick, Limerick, Ireland, 5–8 June 2023. [Google Scholar]
  9. Li, S.; Lan, Y.; Hong, L. A method to analyze the radiation characteristics of a liquid column resonance transducer based on fluid motion. J. Acoust. Soc. Am. 2024, 155, 252. [Google Scholar] [CrossRef] [PubMed]
Figure 1. Schematic diagram of the transmitting array.
Figure 1. Schematic diagram of the transmitting array.
Jmse 13 01853 g001
Figure 2. Driving signals with m = 0,1 .
Figure 2. Driving signals with m = 0,1 .
Jmse 13 01853 g002
Figure 3. The amplitude and phase directivity of a bender disk transducer at its resonance frequency.
Figure 3. The amplitude and phase directivity of a bender disk transducer at its resonance frequency.
Jmse 13 01853 g003
Figure 4. Simple circular array in the x-y plane and its initial phases.
Figure 4. Simple circular array in the x-y plane and its initial phases.
Jmse 13 01853 g004
Figure 5. Relative amplitude of the reference wavefront (black line) and spiral wavefront (red line) vs. k a .
Figure 5. Relative amplitude of the reference wavefront (black line) and spiral wavefront (red line) vs. k a .
Jmse 13 01853 g005
Figure 6. The phase error of (a) the reference wavefront, and (b) the spiral wavefront varies with k a and N .
Figure 6. The phase error of (a) the reference wavefront, and (b) the spiral wavefront varies with k a and N .
Jmse 13 01853 g006
Figure 7. Electro-acoustic input–output model of the transmitting array.
Figure 7. Electro-acoustic input–output model of the transmitting array.
Jmse 13 01853 g007
Figure 8. Fabricated transmitting array prototype: (a) after first half potting and (b) after second half potting and with extension flange pipe.
Figure 8. Fabricated transmitting array prototype: (a) after first half potting and (b) after second half potting and with extension flange pipe.
Jmse 13 01853 g008
Figure 9. Admittance curves of the seven elements of the fabricated array prototype tested in air.
Figure 9. Admittance curves of the seven elements of the fabricated array prototype tested in air.
Jmse 13 01853 g009
Figure 10. TVR of the array prototype tested in a water tank for the spiral and reference wavefront.
Figure 10. TVR of the array prototype tested in a water tank for the spiral and reference wavefront.
Jmse 13 01853 g010
Figure 11. Test results of the array prototype, with and without compensation: (a) amplitude directivity, (b) figure legends, (c) phase directionality, and (d) phase error. The frequency and topological charge are marked on the right side of the curve sequentially, with black lines for the results with compensation and red lines for those without compensation.
Figure 11. Test results of the array prototype, with and without compensation: (a) amplitude directivity, (b) figure legends, (c) phase directionality, and (d) phase error. The frequency and topological charge are marked on the right side of the curve sequentially, with black lines for the results with compensation and red lines for those without compensation.
Jmse 13 01853 g011
Figure 12. Comparisons of the tested RMS phase error of the array prototype, with and without compensation.
Figure 12. Comparisons of the tested RMS phase error of the array prototype, with and without compensation.
Jmse 13 01853 g012
Figure 13. RMS phase error comparison: (a) spiral wavefront, and (b) reference wavefront. Compensated test result (dots), analytic result using the simple circular array model (solid line), and FEM simulation (dashed line).
Figure 13. RMS phase error comparison: (a) spiral wavefront, and (b) reference wavefront. Compensated test result (dots), analytic result using the simple circular array model (solid line), and FEM simulation (dashed line).
Jmse 13 01853 g013
Table 1. The compensated driving signal parameters. ‘TC’ denotes topological charge. The phase adjustment is relative to the uniform phase bias that was calculated based on the driving phase modulus, m . All values are adjusted to positive for ease of interpretation.
Table 1. The compensated driving signal parameters. ‘TC’ denotes topological charge. The phase adjustment is relative to the uniform phase bias that was calculated based on the driving phase modulus, m . All values are adjusted to positive for ease of interpretation.
FrequencyTCNormalized Amplitude (1)Phase Adjustment (°)
CH1CH2CH3CH4CH5CH6CH7CH1CH2CH3CH4CH6CH6CH7
5.5 kHz−11.000.980.930.920.940.960.963.750.863.984.451.881.370.00
01.000.890.890.870.890.940.873.1013.112.47.4619.40.0015.3
11.000.950.940.890.910.970.941.050.000.990.810.803.301.80
7.3 kHz−10.981.000.980.950.940.940.940.880.863.174.504.712.510.00
00.961.000.960.980.980.970.970.001.666.590.129.490.065.39
11.000.960.970.950.980.980.980.441.612.062.962.252.640.00
9.0 kHz−11.001.000.990.970.960.940.960.001.041.653.113.271.680.67
00.981.000.970.960.960.920.960.840.002.272.262.136.144.15
11.000.970.970.971.001.000.990.110.001.772.581.720.920.21
Disclaimer/Publisher’s Note: The statements, opinions and data contained in all publications are solely those of the individual author(s) and contributor(s) and not of MDPI and/or the editor(s). MDPI and/or the editor(s) disclaim responsibility for any injury to people or property resulting from any ideas, methods, instructions or products referred to in the content.

Share and Cite

MDPI and ACS Style

Guo, R.; Lu, W.; Lan, Y. Low-Phase-Error Underwater Acoustic Spiral Wavefront Array and Phase Error Compensation. J. Mar. Sci. Eng. 2025, 13, 1853. https://doi.org/10.3390/jmse13101853

AMA Style

Guo R, Lu W, Lan Y. Low-Phase-Error Underwater Acoustic Spiral Wavefront Array and Phase Error Compensation. Journal of Marine Science and Engineering. 2025; 13(10):1853. https://doi.org/10.3390/jmse13101853

Chicago/Turabian Style

Guo, Rongzhen, Wei Lu, and Yu Lan. 2025. "Low-Phase-Error Underwater Acoustic Spiral Wavefront Array and Phase Error Compensation" Journal of Marine Science and Engineering 13, no. 10: 1853. https://doi.org/10.3390/jmse13101853

APA Style

Guo, R., Lu, W., & Lan, Y. (2025). Low-Phase-Error Underwater Acoustic Spiral Wavefront Array and Phase Error Compensation. Journal of Marine Science and Engineering, 13(10), 1853. https://doi.org/10.3390/jmse13101853

Note that from the first issue of 2016, this journal uses article numbers instead of page numbers. See further details here.

Article Metrics

Back to TopTop