Next Article in Journal
A Study on the Limitations of Green Alternative Fuels in Global Shipping in the Foreseeable Future
Previous Article in Journal
On the Static Stability and Seakeeping Performance of a Submerged Floating Tunnel Module in Wet Tow
 
 
Font Type:
Arial Georgia Verdana
Font Size:
Aa Aa Aa
Line Spacing:
Column Width:
Background:
Article

Research on the Overall Design and Water Entry Simulation of Cross-Media Unmanned Underwater Vehicles

1
Makarov College of Marine Engineering, Jiangsu Ocean University, Lianyungang 222005, China
2
Sunshine Water Surface Photovoltaic Technology Co., Ltd., Hefei 230088, China
3
College of Ocean Engineering, Jiangsu Ocean University, Lianyungang 222005, China
*
Author to whom correspondence should be addressed.
J. Mar. Sci. Eng. 2025, 13(1), 78; https://doi.org/10.3390/jmse13010078
Submission received: 14 November 2024 / Revised: 17 December 2024 / Accepted: 24 December 2024 / Published: 4 January 2025
(This article belongs to the Section Ocean Engineering)

Abstract

Novel cross-media vehicles can operate efficiently in different media where water entry is a critical process. In this paper, a water–air cross-media unmanned vehicle is designed and its hydrodynamic characteristics during water entry are studied. With the use of STARCCM, the movement of the vehicle during water entry was simulated with the adoption of a VOF multiphase flow model and a Schnerr–Sauer cavitation model and its accuracy was tested. The flow field characteristics of the vehicle under common operating conditions, as well as the influence of the initial water entry speed and angle on the motion state and the force endured by the vehicle under different operating conditions, were simulated. The results show that the overall operating attitude of the vehicle is stable, and the influence of the water entry speed is more significant than that of the water entry angle. The research results provide a theoretical basis and technical support for the design and application of cross-media vehicles, helping to promote cross-media navigation technology.

1. Introduction

In recent years, cross-media vehicles have received much attention owing to their ability to travel across different media. Multi-medium crossing is a key step in the navigation of a cross-media vehicle because the instantaneous impact of water entry can cause much damage to the structures and its interior. Furthermore, attitudes toward water entry and the initial environmental parameters also have a great impact on water entry, which has also been a focus in the research on the multi-medium crossing of vehicles.
In recent years, although thorough research has been conducted on the design of cross-media vehicles, very few vehicles can actually navigate across multiple media. The concept of cross-media vehicles was proposed by the Soviet Union as early as the 1930s, and the most common cross-media vehicle remains the “Eagle Ray” fixed-wing cross-media vehicle jointly developed by North Carolina State University and Teledyne DALSA. This vehicle has been tested many times and is currently one of the few prototypes that have completed various navigation tests among submersible air cross-media vehicles [1]. In China, the most common cross-media vehicle is the new conceptual amphibious unmanned aerial vehicle “Nezha” developed by Shanghai Jiao Tong University in 2019. For the first time, the technical team organically combined the design concept of an underwater glider with that of a drone. The vehicle has fixed wings and rotors. The mechanical self-locking device allows for the folding of wings after water entry and their unfolding before exiting the water. The “Longbow 2” vehicle developed by Harbin Engineering University in 2022 can directly navigate across the water and air, allowing for performance in both water and air. On the basis of CFD technology, the team evaluated the motion performance of the vehicle during air flight, underwater navigation, water–air crossing, etc., which verified the feasibility of the two prototype schemes.
A lot of numerical simulations of cross-media vehicles’ water entry process have been conducted in China and abroad. Liu Xiang et al. used AUTODYN to establish a water entry model of a “water drift” cross-media vehicle at different angles and speeds of water entry and found that the angle and speed of water entry influence the water exit angle, motion speed, and trajectory [2]. Adopting numerical simulations and an SST k - ω turbulence model, Ma et al. studied the water entry of a vehicle at speeds of 50 m/s, 100 m/s, and 150 m/s and angles of attack of 10°, 20°, and 30° using overall dynamic grid technology in combination with the N-S equation and the six-degrees-of-freedom (6DOF) algorithm and explored the characteristics of the vehicle’s near-water skipping [3]. Wang Jiawen et al. constructed a three-degree-of-freedom motion model of the vehicle according to the theory of rigid body dynamics. By establishing an unsteady constant-value simulation model and solving the flow field and the motion of the vehicle with dynamic grid technology, she simulated the vertical large-depth navigation of a super cavitating vehicle in the longitudinal plane [4].
In this study, by drawing on the rich Chinese and foreign experience in cross-media vehicles, a water–air amphibious unmanned vehicle was designed. Using STARCCM+2310 software, numerical methods such as a VOF multiphase flow model, a realizable turbulence model, a Schnerr–Sauer cavitation model, and other numerical methods were used to simulate the water entry process of the vehicle; analyze the flow field change in the model during the water entry process; and study the influence of the initial water entry velocity, the water entry angle, and other initial parameters on the water entry process of the vehicle. These research results provide a theoretical basis and technical support for the design and practical application of the cross-media vehicle.

2. The Overall Design of Cross-Media Vehicles

At present, the types of cross-media unmanned vehicles can mainly be divided into rotorcraft, fixed-wing aircraft, and flapping-wing aircraft. In this paper, the overall layout of cross-media vehicles is mainly determined by referencing that of fixed-wing aircrafts. The specific parameters are shown in Table 1 below.

2.1. Fuselage

Currently, the three most common fuselages of unmanned underwater vehicles are the elliptical fuselage, the linear fuselage with elliptical ends, and the Myring linear fuselage. When the model size and speed are certain, the resistance of the elliptical fuselage is the smallest, while the displacement of the linear fuselage with elliptical ends and the Myring linear fuselage is greater than that of elliptical fuselage. This suggests that elliptical fuselage is suitable for fast small- and medium-sized vehicles. Furthermore, elliptical fuselage is not favorable for equipment installation due to its small cabin, let alone the high level of difficulty in the processing of the curve shape [5]. Therefore, the Myring linear fuselage with a greater displacement was selected. What is more, its curved tail is also conducive to the design of the propeller [5]. In the preliminary design of the fuselage, the length was 1.5 m, and the middle diameter was 0.2 m. With the apex of the nose of the vehicle as the origin and the length direction of the fuselage as the X-axis, the curve equation of the front of the fuselage [6] is as follows:
r ( x ) = 1 2 d [ 1 ( x a a ) 2 ] 1 n
The curve equation of the rear of the fuselage is as follows:
r ( x ) = 1 2 d ( 3 d 2 c 2 tan θ c ) ( x a b ) 2 + ( d c 3 tan θ c 2 ) ( x a b ) 3
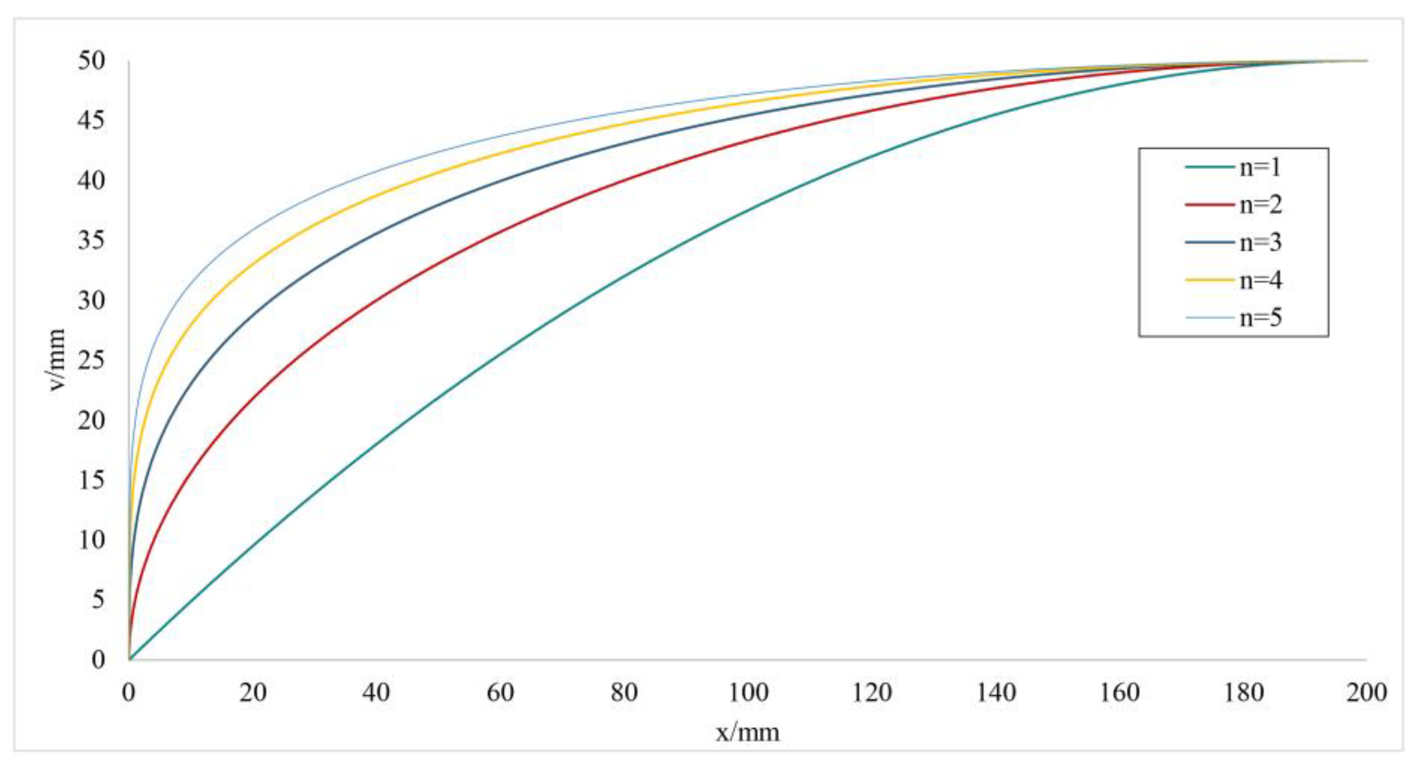
where a is the x-axial length of the front of the fuselage; n is the sharpness factor of the front of the fuselage; d is the diameter of the cylindrical fuselage; c is the x-axial length of the rear of the fuselage; and θ is the departure angle of the rear of the fuselage. In the preliminary design, the length a of the front of the fuselage was 300 mm, and the diameter d at the middle of the fuselage was 200 mm. The curve equation of the front of the fuselage was imported into matlab to draw the curves, and, by observing the influence of different sharpness factors n, the front curves were determined, as shown in Figure 1.
When n = 1, the curve of the front is parabolic, and when n = 2, the curve of the front is elliptical. Where the displacement is the same, the resistance coefficient of the elliptical fuselage is small, and the hydrodynamic performance is better. When n < 1 or n > 4, there is a turning point in the curve, which is not conducive to the assembly and processing of the vehicle, and results in more complex hydrodynamic performance. Therefore, n was initially set to 2.
With adoption of above method, the length of the rear of the fuselage was initially set to 300 mm. The curve equation of the rear of the fuselage was imported into matlab to draw the curves. By observing the influence of different departure angles, the rear curves were determined, as shown in Figure 2.
When θ < 15°, there is a turning point in the curve, which is not conducive to the assembly and processing of the vehicle and results in more complex hydrodynamic performance; when θ < 45°, the curve is initially convex and then becomes concave, and the part close to the fuselage is larger than the radius of the cylindrical fuselage, which fails to meet streamlined curve design requirements. Therefore, θ was set to 25° within the range of 15° < θ < 45°. Given the design indicators of the vehicle, the length of the central cylindrical fuselage was set to 1200 mm, and the overall fuselage curve of the cross-media vehicle can be obtained, as shown in Figure 3.

2.2. Wings

Common vehicle wings include rectangular wings, trapezoidal wings, swept wings, triangular wings, and S-shaped leading-edge wings. The swept wings, triangular wings, and S-shaped leading-edge wings are commonly used in large high-altitude, high-speed, and long-range unmanned underwater vehicles. Since the small unmanned underwater vehicle to be designed is for medium- and low-altitude flight without stealth, the common flat trapezoidal wings with leading-edge sweep in low-speed vehicles were used after the analysis of speed, altitude, and usage in the design requirements.
The drag of trapezoidal wings is not reduced by backward sweep. For a low-speed vehicle, the backward sweep angle is mainly for lateral stability. Therefore, the backward sweep angle of the wings’ leading edge is smaller, and was set to 12°. In nature, it is more like a flat wing with the same wingspan, but its lift is better. In the preliminary design, to obtain a higher lift–drag ratio and lighter weight, the aspect ratio was set to 8, which was not too large or too small [7]. According to the initial setting and the previous analysis, the wingspan was calculated to be 1.6 m, and the aspect ratio formula is as follows:
λ = b c
where b is the wingspan and c is the aerodynamic chord length. The average aerodynamic chord length of the wing was 0.2 m.
As wing tip ratio affects the lift distribution in the spreading direction, an appropriate wing tip ratio can achieve optimization. The wing tip ratio of most low-speed wings is between 0.4 and 0.6. To lower processing and manufacturing difficulties, the wing tip ratio was set to 0.6. After comparative analysis, the NACA4415 airfoil with a higher maximum lift coefficient and a lower drag coefficient was selected. The maximum thickness of the NACA4415 airfoil was 15% and the maximum camber angle was 4%. At an angle of attack of 17°, the lift coefficient was maximum, and at an angle of attack of 8°, the lift-to-drag ratio was maximum. The cross-sectional view of the NACA4415 wing airfoil is shown in Figure 4.

2.3. Tail Wings

Tail wings are an important part that influences the stability of a vehicle. In the conventional layout, a horizontal tail wing and a vertical tail wing are set. However, a V-shaped tail wing simplifies the traditional two flat and vertical tails into two inclined tail wings, which not only provides sufficient stability and operability while ensuring the lightest weight but also effectively reduces the soaking area. Therefore, V-shaped tail wings were selected for the cross-media vehicle. For vehicles with V-shaped wings, the horizontal projection area and the vertical projection area correspond to the calculated area of the horizontal and vertical tails in the conventional layout, respectively. According to the relevant information, the calculation formula [8,9] for the flat tail area is obtained:
C H T = L H T S H T C W S W
The calculation formula of the vertical tail area is as follows:
C V T = L V T S V T b W S W
where C H T is the tail capacity coefficient; S W is the wing area; C W is the average aerodynamic chord length of the wings; L H T is the flat tail lever arm; S H T is the flat tail area; C V T is the vertical tail capacity coefficient; b W is the wingspan of the wings; L V T is the vertical tail lever arm; and S W is the vertical tail area.
According to relevant information and the literature [8,9], the capacity coefficient of the flat tail was set to 0.4, and the lever arm of the flat tail was 45% of the length of the fuselage, namely, 0.81 m. The capacity coefficient of the vertical tail was set to 0.05, and the vertical tail arm was estimated to be 0.7 m, as per the design’s demand. Finally, the theoretical value of the flat tail area was calculated to be 0.0316 m2, and that of the vertical tail area was 0.0366 m2. The upper contra-angle of the V-tail should be adjusted to the arctangent of the square root of the ratio of the required vertical tail area to the flat tail area. The calculated angle between the V-tail and the horizontal plane was 47°. By referring the tail wing design of most drones, the trapezoidal tail wings were selected. Since the drag of trapezoidal wings is not reduced by backward sweep angle, the backward sweep angle of the wings’ leading edge can be smaller, which makes them more like flat wings under the same wingspan in nature, and the lift is better. The backward sweep angle was set to 15°; the chord length was set to 200 mm; the wingtip chord length was set to 152 mm; and the half-wingspan was set to 246 mm.

2.4. Cross-Media Vehicle Parameter Estimation

In the early stage of the overall design of trans-medium vehicles, weight, wing area, and propeller power are the three parameters that have the greatest influence. However, these three parameters are interrelated with each other. When any one of the parameters changes, the external design of the vehicle needs to be adjusted accordingly. By referring to the design of general unmanned aerial vehicles, these three parameters are integrated to obtain two new parameters, namely, wing loading and thrust-to-weight ratio. The following are the calculation steps for wing loading and thrust-to-weight ratio:
When a trans-medium vehicle is flying horizontally at a constant speed in the air, the gravitational force is balanced with the lift force, and the thrust of the propeller is equal to the resistance of the trans-medium vehicle:
W g = 1 2 ρ v 2 S C l
W S = 1 2 g ρ v min 2 C l max
T = 1 2 ρ v 2 S ( C D O + C L 2 π λ )
where W is the weight of the cross-media vehicle; ρ is the air density of the cruising altitude of the trans-media vehicle; S is the wing area of the cross-media vehicle; C l is the lift coefficient of the wing of the trans-media vehicle; T is the thrust of the cross-media vehicle; is the zero-rise drag coefficient of the trans-media vehicle; and is the aspect ratio of the wing of the trans-media vehicle.
Wing loading is the ratio of the weight of the vehicle to the wing area. This parameter intuitively reflects the weight borne by a unit wing area. Wing loading will affect the lift-to-drag ratio of the aircraft. Generally speaking, within a certain range, a lower wing loading can make it easier for the aircraft to maintain a good lift-to-drag ratio during flight. After referring to relevant materials [8,9], a wing loading of 26.67 was selected considering all factors.
Substituting Equation (7) into Equation (8) gives the following formula:
T W = 1 2 ρ ν 2 [ C D O + ( 2 W / S ρ ν 2 ) 2 / π λ ]
Through the above formula, the minimum flight speed required for the vehicle to fly in the air can be calculated, that is, the speed when the vehicle is flying at the angle of attack with the maximum lift coefficient, and it is also the minimum speed required for the vehicle to enter stable flight after emerging from the water. Through the parameter estimations of the taper ratio, sweep angle, and aspect ratio of the trapezoidal wing, a reference wing area of 0.32 m2 can be obtained. Substituting it into the formula, it can be concluded that the empty weight in the air is approximately 8 kg, and, through the underwater displacement volume of the vehicle, it can be derived that the total full load weight of the underwater ballast tank is approximately 25 kg.

2.5. Folding Variant Mechanism

To achieve various navigational states in the air and water, the vehicle was designed with a folding mechanism. When it is in the air, the wings unfold to provide lift to the vehicle. When it is in the water, part of the wings can be folded inside the fuselage, which effectively reduces the wet surface area of the vehicle. At the same time, the wings outside the fuselage can act as fins in the water, which increases the stability of the vehicle and reduces the resistance during navigation. The composition of the wing folding machine is shown in Figure 5.
When the wings are folded, the first motor of the vehicle’s water entry control system is running in reverse, driving the threaded rod to rotate forward and thereby pushing the movable block and the tooth plate forward. The tooth plate drives rotation of the two gear discs connected to the wings, so that the wings retract in the fuselage, and the mechanism of unfolding is similar. In addition, a limiting device was set up above and below the threaded rod. When the wings are folded or unfolded to a specified position, the movable block can be limited to realize such processes.
The final vehicle model is shown in Figure 6. Table 2 shows the specific parameters of the vehicle.

3. Numerical Model of Cross-Media Motion

3.1. VOF Multiphase Flow Model

The water entry of an aircraft involves unsteady multiphase flow. STAR-CCM+(Version2310) provides a variety of methods for multiphase flow calculations, namely, the Euler multiphase (EMP) flow model, mixed multiphase (MMP) flow model, and volume of fluid (VOF) model. The VOF model achieves high calculation accuracy for the capture of the free surface. Since only changes in the free surface during the water exit of the vehicle are studied herein, the VOF model [10] was finally selected. In this model, the field of phase volume fraction is used to describe the phase distribution and position of the interface, and the overall integral number of all phases is required to be 1 in each control body.

3.1.1. Fraction Transmission Equation

t V α i d V + A α i V da = V ( S α i α i ρ i D ρ i D t ) d V V 1 ρ i ( α i ρ i V d , i ) d V
where V is the mixing (average mass) velocity; V d , i is the diffusion velocity; S α i is the user-defined source term of phase i; and D ρ i D t is the Lagrangian derivative of the material with phase density ρ i .

3.1.2. The Continuity Equation of the Mixed Medium

ρ m t + x i ( ρ m μ i ) = 0

3.1.3. Momentum Equation

t ( V ρ vdV ) + A ρ v v da = A p I da + A T da + V ρ gd V + V f b d V i A α i ρ i v d , i v d , i da
where p is the pressure; I is the unit tensor; T is the stress tensor; and f b is the volumetric force vector.

3.2. Realizable k - ε Turbulence Model

In order to accurately simulate the distribution of flow parameters and hydrodynamic characteristics during water entry, turbulence needs to be modeled and solved. The main available turbulence models in STAR-CCM+(Version2310) are Reynolds-averaged Navier–Stokes equations (RANS) and the resolving of large-scale turbulence. The Reynolds-averaged Navier includes the Realizable- ε model, Standard k- ε model, SST k- ε model, and RNG k- ε , etc. The solving of large-scale turbulence includes large eddy simulation (LES) and detached eddy simulation (DES). Compared with other turbulent flow models, the Realizable k- ε model exhibits high accuracy and satisfactory stability, which can solve unsteady problems well and simulate multiphase coupled flow fields. Given the research content, the calculation efficiency and accuracy were both considered, and the Realizable k- ε model was selected for simulation.
The transport equation in the Realizable k - ε model is as follows:
t ( ρ k ) + ( ρ kv ) = [ ( μ + μ t σ k ) k ] + G k + G b ρ ε Y M
t ( ρ ε ) + ( ρ ε v ) = [ ( μ + μ t σ k ) ε ] + ρ C 1 S ε ρ C 2 ε 2 k + ν ε + C 1 ε ε k C 3 ε G b
where μ t = C μ ρ k 2 ε (turbulent viscosity coefficient); C 1 = max ( 0.43 , η η + 5 ) ; η = k ε S ¯ ; S = 2 S ij ¯ S ji ¯ ; and the model constants are C 2 = 1.9 , C 1 ε = 1.44 , σ k = 1 .

3.3. Schnerr–Sauer Cavitation Model

During water entry, cavitation will occur due to cavitation and ventilation. In this process, the local pressure in the liquid decreases, and vapor or gas holes are formed inside the liquid or on the liquid–solid interface. Ventilation will also significantly affect the morphology of the cavitation. When ventilated in small amounts, vacuoles may appear as small scattered bubbles, which gradually coalesce as the ventilation volume increases. Cavitations containing incoming gases are more stable in liquids than cavitations created by cavitation alone. Therefore, in order to accurately observe the cavitation phenomenon during the vehicle entering the water, and make the results of the numerical simulation closer to the actual situation, a cavitation model is set up in the simulation process. Cavitation has a negligible impact on the load of the object during water entry. Therefore, in order to achieve a numerical simulation result closer to the actual situation, a cavitation model is set during the simulation. In the cavitation model provided by STAR-CCM+, the Schnerr–Sauer cavitation model is of a simple form with high computational efficiency and strong numerical stability. Therefore, the Schnerr–Sauer cavitation model was used to simulate the cavitation during water entry.
The conservation equation of the Schnerr–Sauer cavitation model was established based on the water vapor phase, and the mass transport equation of the water vapor phase is as follows:
α ν t + x i ( α ν μ i ) = F vap 2 α nuc ( 1 α ν ) ρ ν R B 2 ( p ν p ) 3 ρ l F cond 3 α ν ρ ν R B 2 ( p p ν ) 3 ρ l
The control equation of the cavitation model is as follows:
t ( ρ ν α ν ) + ( ρ ν α ν μ ν ) = R e R c
R e = ρ ν ρ l ρ α ( 1 α ) 3 R B 2 ( p ν p ) 3 ρ l ,   p p ν
R e = ρ ν ρ l ρ α ( 1 α ) 3 R B 2 ( p p ν ) 3 ρ l , p > p ν
where R B is the radius of the gas nucleus and set to 1 × 10 6   m ; α nuc is the volume fraction of the non-condensing gas and set to 5 × 10 4 ; F vap and F cond are the empirical constants and set to 50 and 0.001, respectively; p ν is the saturated vapor pressure of water; ρ ν is the water vapor density; and ρ l is the density of water.

3.4. Overview of Overlapping Meshes

The water entry of a cross-media vehicle is an unsteady process involving the two-phase flow of air and water, and the overlapping grid method is required for numerical simulation of the water entry process.
Overlapping grids work by coupling regions by exchanging data between a recipient grid cell in one region and a donor grid cell in another. In the overlapping and background areas, there are multiple layers of overlapping mesh elements that participate in the data exchange process. Currently, overlapping meshes in STAR-CCM+ can use multiple types of mesh elements, such as tetrahedral meshes, polyhedral meshes, etc. Tetrahedral meshes perform well in the adaptability of complex geometries, while polyhedral meshes have a good balance between computational efficiency and accuracy. Methods such as distance weighting or linear interpolation are often used to transfer data between different grids. Moreover, the grids are implicitly coupled through the linear equation system matrix, which does not require explicit interpolation of the solution, and all the grids are calculated at the same time to ensure the accuracy and efficiency of the calculation.
Overlapping meshes are particularly suitable for simulating the flow field around objects with complex motion, such as the six-degree-of-freedom motion of a ship, the maneuvering flight of an airplane, the launch of a missile, etc., and can accurately capture the interaction with the surrounding fluid during the movement of the object. In addition, the overlapping mesh can decompose the complex geometric model into multiple simple parts, which are divided into structured meshes separately and then combined together through the overlapping mesh technology, which not only gives full play to the advantages of the structured mesh, but also can deal with complex geometry and motion problems. Compared with the overall use of fine mesh to discretize the entire computing domain, the overlapping grid only uses fine mesh in the required local area, which greatly reduces the number of meshes and the amount of computation, improves the computational efficiency, and ensures the computational accuracy of key areas.

4. Grid Division and Independence Verification

4.1. Boundary Conditions and Meshing

The numerical simulation of vehicles’ water entry was carried out with Star-CCM+(Version2310). A computing domain was established, as shown in the figure, where the length, width, and height of the background computational domain were 18 m × 16 m × 16 m. In the computational domain, the right side is the pressure outlet; the front and rear sides are symmetrical planes; and the remaining boundaries are velocity inlets. The free surface divides the entire computational domain into the upper air domain and the lower water domain. The overlapping zones were set as the boundary of the overlapping grid, and the surface of the vehicle was set as the wall surface [11]. A schematic diagram of the boundary conditions is shown in Figure 7.
Cut-Cell Mesh generator was used for the meshing. At the same time, the meshing was further improved through surface reconstruction. The overall mesh was roughly divided into computational domain grids and the overlapping nested grids. The computational domain grids also included refined grids of free surface and motion path, and the overlapping nested grids included refined grids of the vehicle and its density box. The refined grids of the density box have the same size as the refined grids of the motion path. In addition, to ensure the calculation accuracy, a multi-layer transition was set up for the overlapping grids to ensure the grid quality of the vehicle surface. A schematic diagram of the grid section is shown in Figure 8.
To improve the calculation efficiency, the calculation domain was cut on the xoy plane, and half of the calculation domain was used for calculation for the vehicle’s water entry. At the same time, the plane was set as a symmetrical surface. In the calculation, the weight of the vehicle was set to 8 kg; the centroid was at the origin of the coordinate system; and the initial velocity in the direction of the fuselage was given and would vary with the working conditions. During meshing, the overlapping mesh regions were kept parallel to the horizontal plane, and then rotated to the specified initial angle after the meshing. During the meshing under different working conditions, the positional parameters of the body frame coordinate system were changed, so that the vehicle rotates and shifts accordingly to reach the preset height and angle of attack of water entry.

4.2. Independent Verification

4.2.1. Independent Verification of Grids

In numerical simulation, the quality and density of grids significantly influence the calculation accuracy and the consumption of computing resources. If the grids are too sparse, the calculation results may be inaccurate; if the grids are too dense, it will result in increased calculation cost and lower the calculation efficiency. Therefore, the number of grids in the meshing should be reduced as much as possible as long as the calculation accuracy is ensured, which will save computing resources. To this end, grid-independent verification is required.
At working conditions of a speed of 80 m/s and an inclination angle of 45°, calculation was performed for the water entry of the vehicle to study the influence of different grid sizes on the instant resultant force. At a refinement ratio of 2 , three sets of grids were obtained: 4,846,047 (sparse), 6,852,311 (medium), and 9,689,168 (refined). The above calculation results were adopted as the exact number of refined grids, and compared with those of the sparse grids and the medium grids. The calculation results of grids with different densities are shown in Table 3.
The comparison of the instant resultant force of the vehicle shows that the calculation results varied to certain extent among the three sets of grids. Compared with the large error with 4,846,047 (sparse) grids, the overall error with 6,852,311 (medium) grids was smaller. Considering the computing resources, although the calculation efficiency with 4,846,047 (sparse) grids was higher, the simulation accuracy was affected; however, it was time consuming with 9,689,168 (refined) grids. Hence, the 6,852,311 (medium) grids were adopted to ensure the calculation accuracy while saving computing resources as much as possible.

4.2.2. Independent Verification of Time Step

The water entry of vehicles is a transient turbulent model with a short duration. The follow-up research needs to give an analysis of the typical moment in this process. Therefore, the selection of time steps is very important. Too small a time step will affect the calculation speed, while too large a time step will affect the calculation accuracy. Therefore, it is necessary to perform an independence verification of the time step [12]. In this paper, three different time steps of 1 × 10−5 s, 1 × 10−7 s, and 5 × 10−8 s were selected to calculate the change of the resultant total force of the vehicle over time at a water entry angle of 30° and a speed of 40 m/s with medium grids (6,852,311). The independent verification result of the time step is shown in Figure 9.
As shown in the figure, at different time steps, the resultant total force endured by the vehicle during the water entry showed the same trend over time; when the vehicle was crossing the water–air interface, the resultant total force first rose sharply and then dropped, with small fluctuations. There were only slight differences in the peak of the force among the three time steps. It can be concluded that the choice of different time steps has little effect on the accuracy of numerical simulation, except for the measurement error only. Therefore, considering the computing resources and error, a time step of 1 × 10−7 s was selected.

5. Establishment of Coordinate System of Water Entry

The water entry of a cross-media vehicle cannot be analyzed merely with the reference coordinate system. Instead, different coordinate systems should be established to specify the position, direction, and initial values for accurate description. In this paper, two sets of coordinate systems are established: one is the reference coordinate system and the other is the local body frame coordinate system. All other local coordinate systems can be defined using the reference coordinate system. The reference coordinate system is represented by a node which contains the child nodes of local coordinate systems (and their derived coordinate systems). Schematic diagrams of different coordinate systems are shown in Figure 10.
In the reference coordinate system, ox is the positive horizontal direction; oy is the positive vertical direction; oz is the normal direction of the xoy plane; and the origin is fixed at one point. In the body frame coordinate system, ox is the direction from the centroid to the head of the vehicle; the initial navigation angle is parallel to the ox axis of the body frame coordinate system; the oy axis is perpendicular to the direction where ox is located; oz is the normal direction of the xoy plane; and its origin is fixed at the centroid of the vehicle.

6. Flow Field Analysis of the Water Entry of the Vehicle

In this section, the water entry of the vehicle at an inclination angle of 45° and a speed of 80 m/s was simulated. The centroid was 1 m from the free surface, and set at a distance of 0.65 L from the head of the vehicle. The entire calculation covered the navigation from the centroid 1 m above the free surface to 2 m below the free surface with a duration of 0.12 s. Figure 11 and Figure 12 show the cloud diagram of the changes in the liquid phase volume fraction and the cloud diagram of the changes in the wet area of the vehicle at a typical moment.
In the cloud diagram of the liquid phase volume fraction at a typical moment, red represents the aqueous phase and blue represents the gas phase. It can be seen that the head of the vehicle was close to the free surface at 0.005 s and completely entered the water at 0.03 s. When the head of the vehicle hit the water, the liquid and gas phases were strongly disturbed, which caused obvious splashes at the free surface. This is due to the huge impact of the fast-moving vehicle. This impact quickly squeezed and pushed the surrounding water, making it fail to spread evenly around. As a result, the water bulged and broke in the local area, and splashed out in all directions. After the water entry of the vehicle, more obvious cavitation was formed.
The wet area reflects more intuitively the difference in the water phase attached to each part of the vehicle at the same moment. During the water entry, the front part of the vehicle first entered the water from the air. At 0.02 s, the front part was basically wet except for the head, where there was cavitation. This is because water flow is easily separated to form local unstable flow due to the smooth curve of the head, which increases the possibility of pressure fluctuations and local low pressure and intensifies the cavitation. As the vehicle continues to move, the wet area on the column section, tail rudder, and airfoil was increased. However, there was a significant difference in the wet areas on the upper and lower parts of the vehicle. The wet area on the front stream side was greater than that on the back stream side. At this time, the wetted surface area was 0.16 m2, accounting for 9% of the surface area of the vehicle. At 0.03 s, the amount of water attached to the upper and lower parts changed significantly. Due to the different wet area, the deflection torque was generated, which affected the pitch attitude of the vehicle during the water entry. At this time, the wetted surface area was 0.92 m2, accounting for 52% of the surface area of the vehicle. At 0.08 s, except for the rear column section, the rear wings, and a small part of the tail wings, which were not wet, the parts of the vehicle were almost completely wet. At this time, the wetted surface area was 1.57 m2, accounting for 89% of the surface area of the vehicle. The wet area did not change much at 0.1 s, because stable cavitation was formed after water entry due to the high speed of the vehicle. After complete entry into the water, the total wet area of the vehicle became smaller, and the vehicle was more stable in the water.
Figure 13 shows the cavitation of the vehicle at typical moments during the water entry. The evolution of the cavitation is clear. At 0.01 s, the vehicle hit the water, causing separation of free surface flow, and the water was discharged to give way to air. The head of the vehicle first entered the water from the air, but there was no obvious cavitation due to low initial speed. At 0.02 s, the wings entered the water from the air, and significant cavitation was observed. This is because the entry of the wings accelerated the flow of water. In the acceleration area, according to Bernoulli’s principle, the pressure decreases with the increased speed of water flow. When the local pressure dropped below the pressure of saturated water vapor, cavitation was formed. During the period from 0.01 s to 0.03 s after water entry, as the depth of the vehicle increased, the water was impacted and gained the speed to move around, which resulted in the expansion of cavitation. Furthermore, due to the shape of the wings and the increased part of the vehicle in the water, the vehicle received a certain buoyancy force. Therefore, the pitch of the vehicle gradually decreased, as can be seen from the diagram of the changes in the liquid phase volume fraction. At 0.04 s, the tail of the vehicle entered the water. Since the tail wings also provided a certain lift during the crossing, the pitch angle of the vehicle was further reduced. Meanwhile, cavitation was formed at both the front part and the root of the tail wing. At this time, more air entered the water, and the length of cavitation gradually increased. Nonetheless, there was no obvious cavitation on the head of the vehicle throughout the water entry [13]. After 0.08 s, the left side of the fuselage was basically wet, which increased the force of the fluid and the upward torque. Therefore, the attitude of the vehicle changed significantly counterclockwise throughout the water entry. In addition, due to the shape of wings, the pressure distribution around it was uneven. In parts such as the leading edge and upper surface of wings, a low-pressure area is usually formed, while, in parts such as the trailing edge and lower surface of the wings, the pressure is relatively high. This pressure difference easily causes cavitation of water flow in the low-pressure area. What is more, as the cavitation is small, the ultimate cavitation can only wrap the right side of the encapsulated warhead, and the overall cavitation is on the upper right, which also corresponds to the changes of the wet area.

7. The Influence of Different Initial Parameters on the Water Entry of the Vehicle

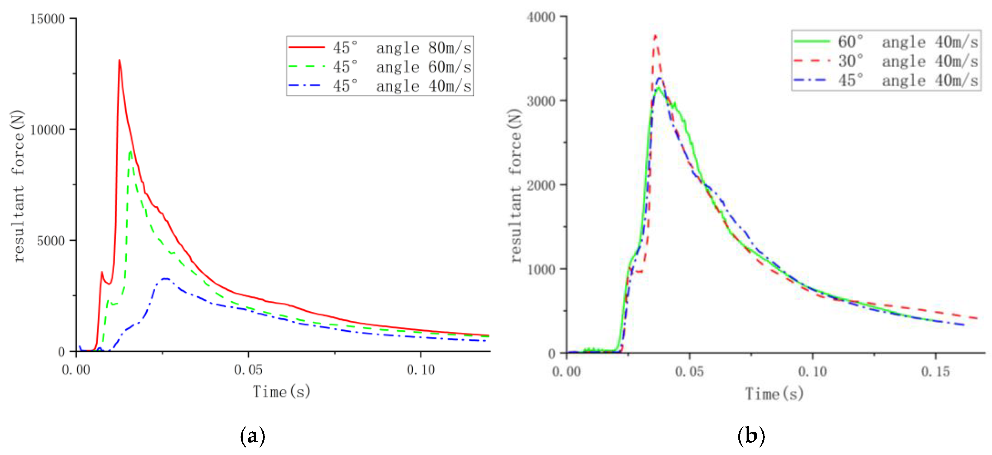
Multi-medium crossing is a key step for cross-media vehicles. The impact load generated at the moment of water entry causes huge damage to the structures and its interior, which has been a focus in the research. To study the influence of different initial parameters on the process of water entry, the initial navigation angle, initial navigation speed, initial navigation altitude, centroid, and other factors should be unified. At the same time, in order to avoid reducing the influence of air on the water entry process, the water entry height was set to 0.1 m. In this section, different speeds and angles of water entry were set for the same height of water entry and the same centroid, so as to observe the influence of speed and angle on the mechanical properties of the cross-media vehicle during water entry. The navigation was 45° from the horizontal direction; and the centroid was 1 m away from the free surface and at a distance of 0.65 L from the head of the vehicle. The specific working conditions are shown in Table 4 and Table 5. The curve of the resultant total force of the vehicle over time under different initial parameters is shown in Figure 14.
Where the angle and height of water entry are the same, the time travel curves of the resultant total force endured by the unmanned vehicle under different water entry speeds are as shown in Figure 14. The resultant total force endured by the vehicle under different entry speeds showed the same trend; it was only affected by air resistance before the contact with water, and the resultant total force was small with tiny fluctuations. At the moment of crossing the water–air interface, the vehicle hit the water, and the resultant total force increased sharply, reaching the maximum value instantly before separation from the liquid surface. With the increase in the water entry speed, the duration of complete water entry was shortened. Since the impact was an instantaneous local load, the resultant force dropped rapidly afterward. After complete entry into the water, the resultant total force slowly decreased. The peak force gradually increased with the increase in speed, and the duration before reaching the extreme resultant total force was also shortened. At all times, the resultant force increased with the increase in the initial speed. The greater the water entry speed, the greater the resultant total force endured by the vehicle.
Where the initial speed and height of water entry are the same, the time travel curves of the resultant total force endured by the unmanned vehicle at different water entry angles are as shown in Figure 14. The influence of the water entry angle on the mechanical properties during water entry was less significant than that of the water entry speed, with only a slight difference in the peak total force. The peak total force was 3772.15 N at the water entry angle of 30°, 3263.98 N at 45°, and 3155.21 N at 60°. It can be concluded that, with the increase in the water entry angle, the peak total force endured by the vehicle decreased slightly. This is because, when the vehicle entered the water at a smaller angle, the projection area of the impacted vehicle was larger, and, as the front stream area increased, the water resistance to the vehicle also increased significantly. In addition, when the water entry angle was small, the separation of water flow on the surface of the vehicle was more intense, and a turbulent area was formed to increase the resistance. The total force of turbulence on the vehicle is more complex and usually increases the drag component. Overall, the influence of different water entry angles on the peak resultant total force endured by the vehicle and the occurrence time is insignificant compared to the water entry speed [14].
It can be concluded that high water entry speed causes a huge impact, and that, as the speed increases, the impact increases significantly, which may exceed the bearing capacity of the vehicle and result in structural deformation, rupture, and even disassembly. Especially at the moment of contact with the water, huge pressure may damage key parts of the vehicle. Moreover, high water entry speed easily causes intense cavitation, which will result in erosion and damage to the surface of vehicle and reduce its structural integrity and service life. Therefore, in practical applications, excessive water entry speed should be avoided to prevent damage to the structures and its interior. During water entry, although the influence of the initial angle is not as great as that of the speed, an appropriate water entry angle is still needed to reduce the impact to the structures while satisfying the load need. A small water entry angle may cause excessive local force to the vehicle and affect the structural stability. Uneven force can further lead to changes in the attitude of the vehicle and increase the difficulty of manipulation. At the same time, the buoyancy will also obstruct the sinking of the vehicle, affecting its predetermined underwater operation.
Figure 15 shows the speed of the vehicle over time under different initial parameters. It can be observed that, under different initial parameters, the speed of the vehicle showed an obvious turning point at the moment of impact against the water. This is because the entry caused a strong impact on the water. At the same time, the water also produced a reaction force on the vehicle, which caused the sharp increase in the reverse acceleration of the vehicle.
Judging from the change curve under different initial water entry speeds, the trend of speed attenuation was generally from fast to gentle. In the water entry stage, the speed of the vehicle decreased significantly. Judging from the cavitation in the preceding paragraphs, the vehicle entered the water from the air before 0.04 s. In this process, the cavitation was lengthened as the depth of the vehicle in the water increased, and a large area of the wall of the vehicle continued to come into contact with cavitation, which resulted in a serious loss of kinetic energy. Furthermore, the faster the initial water entry speed, the greater the speed attenuation. According to the formula of the total drag to the projectile in underwater movement,
R t = 0 . 5 C t ρ ν 2 S
where C t is the total drag coefficient.
The greater the initial speed, the greater the drag endured by the vehicle and the greater its own acceleration. Accordingly, speed attenuation is faster. After 0.04 s, the vehicle completely entered the water. As the depth of the vehicle in the water increased, the cavitation was becoming saturated. At this time, the drag endured by the vehicle was greatly reduced, and speed attenuation tended to be flat.
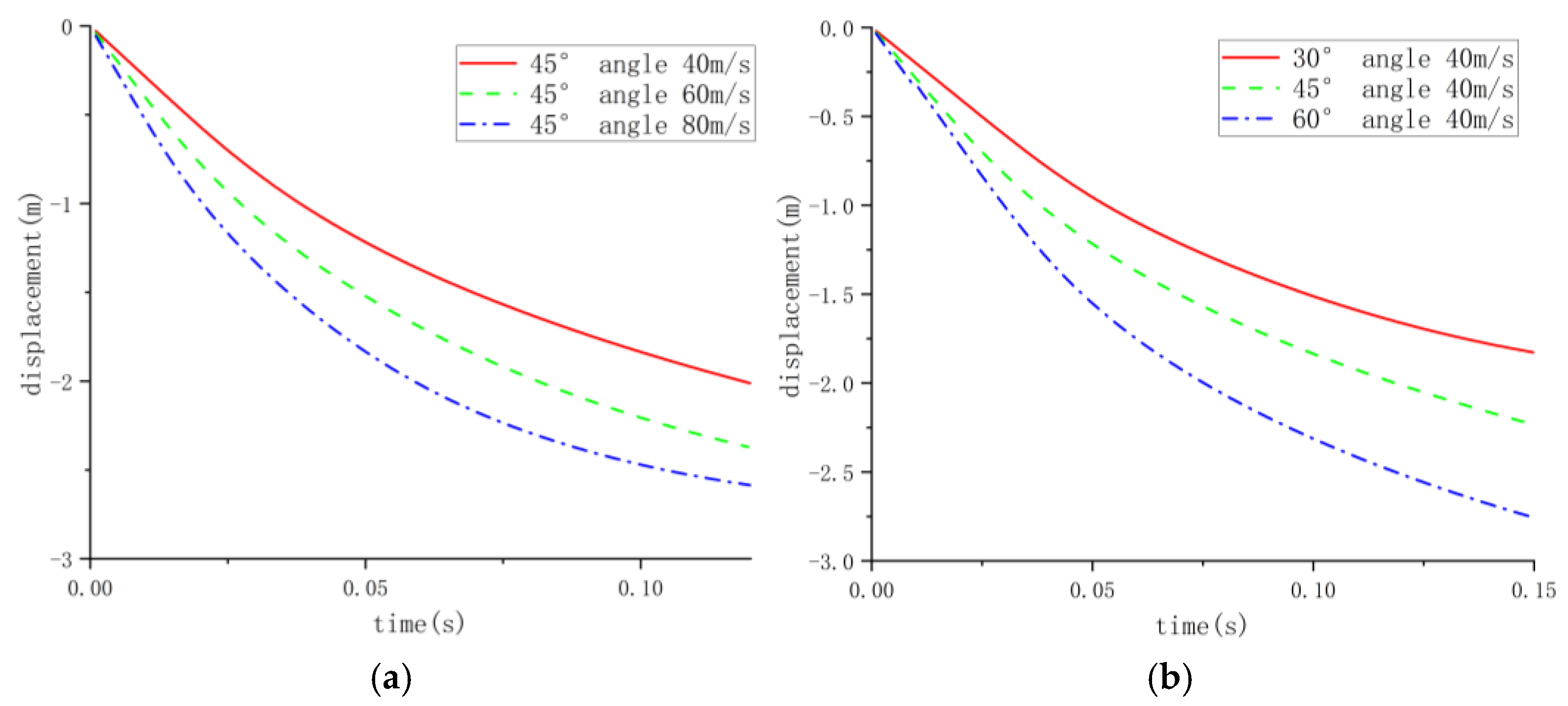
At a speed of 40 m/s, a comparison was made of the change curve of the vehicle’s water entry speed under different entry angles with time, as shown in Figure 15b. It can be seen that the water entry angle has little effect on the speed of vehicle, and the difference in speed attenuation was basically the same at all moments. This is because the drag of the vehicle is the main influencing factor of speed attenuation. The resultant force generated at different water entry angles was the same, and the drag also remained the same at different water entry angles. After complete entry into the water, the speed attenuation at 30° was slightly greater than that at 60° and 45°. The curve of the displacement of the vehicle over time under different initial parameters is shown in Figure 16.
As shown in the figure, the displacement of the wedge-shaped body under different water entry speeds basically showed the same trend. As the depth of entry increased, the change rate of displacement decreased, and the displacement curve gradually flattened. Under different water entry speeds and within the same time, as the water entry speed increased, the displacement of the vehicle in the entry direction increased. The farther the distance traveled by the vehicle, the lower the water entry speed and the higher the lowest point of the trajectory [15]. Under all different speeds, the vehicle completely entered the water into the leveling section.
The influence of different water entry angles on displacement is similar to that of different water entry speeds. The greater the water entry angle, the greater the displacement of the vehicle in the entry direction. The farther the distance traveled by the vehicle, the lower the water entry angle and the higher the lowest point of the trajectory. Reduction in the water entry angle will reduce the vertical velocity of the vehicle during the entry, resulting in a decrease in entry depth. At the same time, the change of the depth of the vehicle in the water corresponds to that of speed. The change rate was high at the time of entry, but lowered after complete entry into the water, with a gradually reduced overall increase.
The acceleration of the vehicle was positively correlated with the resultant force endured by the vehicle. A line chart of the changes of peak acceleration with the initial speed and angle was drawn, as shown in Figure 17. The results show that, with the increase in the initial speed, the peak acceleration gradually increased. At the initial water entry speeds of 40 m/s, 60 m/s, and 80 m/s, the peak acceleration was 651.89 m/s2, 1834.20 m/s2, and 2618.91 m/s2, respectively. With the increase in the water entry speed, peak acceleration increased approximately linearly. The comparison of the speed curves suggests that the influence of the water entry speed on the peak acceleration of vehicle was very obvious. The greater the water entry speed, the greater the peak acceleration and the faster the speed attenuation. This is because the increased speed of the vehicle increased the kinetic energy and inertial potential energy, as well as the instant force endured during the water entry, which resulted in greater acceleration and speed attenuation of the vehicle.
As can be seen from Figure 17b, the acceleration of the vehicle decreased slightly as the entry speed increased. When the vehicle entered the water at initial angles of 30°, 45°, and 60°, the peak acceleration was 747.93 m/s2, 651.88 m/s2, and 622.31 m/s2, respectively. Therefore, a vehicle with a large water entry angle slows down more slowly during water entry. The faster it moves inward and downwards within the same period of time, the greater the displacement in the entry direction. This is because the larger the water entry angle, the smaller the force projection area of the vehicle and the smaller the impact endured at the moment of entry, which is consistent with the previous conclusions on resultant force, speed, and displacement.

8. Conclusions

In this paper, a water–air cross-media vehicle was designed where the drag during its navigation is reduced by the folding of its wings. The water entry was simulated and analyzed to study the influence of the water entry attitude of the vehicle, cavitation, and different initial speeds and angles on the water entry. The main conclusions are as follows:
(1)
The overall shape and structure of the cross-media vehicle were designed as per the performance indexes with comprehensive consideration of aerodynamics and fluid mechanics. The Myring linear fuselage was adopted to reduce the drag, accompanied by a pneumatic layout and variable swept-back wings. Given the linear shape and fuselage size, the front sharpness factor n was set between 1 and 4, and the rear departure angle θ was 15° < θ < 45°, which achieved a better streamline.
(2)
Obvious cavitation was observed during the vehicle’s multi-medium crossing, and its shape was closely related to the attitude and environmental parameters of the vehicle during the water entry. Due to the low initial speed, no obvious cavitation was observed when the head entered the water. However, the cavitation on the wings was obvious, as its length increased as the depth of the vehicle in the water increased.
(3)
Regarding the influence of the initial speed on the vehicle’s water entry, as the water entry speed increased, the resultant force first increased sharply and then decreased before the stabilization finally. What is more, the greater the water entry speed, the greater the resultant force endured by the unmanned vehicle. The speed attenuation speed and displacement generally showed a trend from fast to gentle. Therefore, in practical applications, excessively high speed of the vehicle should be avoided to prevent excessive impact.
(4)
Compared with the water entry speed, the influence of the water entry angle on the mechanical properties was insignificant during water entry. At the same speed, the impact force endured by the vehicle was greater when the water entry speed was small. In terms of speed, the water entry angle has less impact on the speed of the vehicle, and the difference in speed attenuation at each moment was basically the same; in terms of displacement, the greater the angle of entry, the greater the displacement of the vehicle in the vertical direction, and vice versa. Therefore, as long as the load requirements are met, an appropriate entry angle should be chosen to reduce the impact on the structure.
This study provides a new idea for designing the power system of the water–air cross-media vehicle, and provides a theoretical basis for setting the water entry parameters of the cross-media vehicle. The next step will be to combine the parameters to make the actual vehicle, and focus on the stability of the vehicle after entering the water, the process of leaving the water, and other aspects, to carry out research.

Author Contributions

Conceptualization, Q.M. and W.W.; methodology, Q.M. and W.L.; software, W.L. and J.W.; validation, W.L. and W.W.; data curation, W.L.; writing—original draft preparation, W.L.; writing—review and editing, Q.M. and W.W.; supervision, Q.M.; funding acquisition, Q.M. All authors have read and agreed to the published version of the manuscript.

Funding

Graduate Research and Practice Innovation Program of Jiangsu Ocean University (KYCX2023-64).

Institutional Review Board Statement

Not applicable.

Informed Consent Statement

Not applicable.

Data Availability Statement

The data presented in this study are available on request from the corresponding author.

Conflicts of Interest

Author Wuwei Wu was employed by the company Sunshine Water Surface Photovoltaic Technology Co., Ltd. The remaining authors declare that the research was conducted in the absence of any commercial or financial relationships that could be construed as potential conflicts of interest.

References

  1. Stewart, W.; Weisler, W.; MacLeod, M.; Powers, T.; Defreitas, A.; Gritter, R.; Anderson, M.; Peters, K.; Gopalarathnam, A.; Bryant, M. Design and demonstration of a seabird-inspired fixed-wing hybrid UAV-UUV system. Bioinspir. Biomim. 2018, 13, 056013. [Google Scholar] [CrossRef] [PubMed]
  2. Liu, X.; Li, T.; Li, L.; Sun, Y. Analysis of Influence of Water Entry Parameters on Cross-Medium Movement of “Water Drift” Aerial-Aquatic Vehicle. Astronaut. Syst. Eng. Technol. 2020, 4, 62–70. [Google Scholar]
  3. Ma, W.; Zhang, H.; Hu, Z.; Sa, H.; Zhang, W. Numerical Simulation on Near-water-surface Skipping Motion of Trans-media Vehicle. J. Phys. Conf. Ser. 2023, 2599, 012004. [Google Scholar] [CrossRef]
  4. Wang, J.; Qi, X.; Wang, R.; Yuan, X. Numerical simulation on cross medium water-entry trajectory characteristics of large-scale vehicle. Tactical Missile Technol. 2023, 3, 164–172. [Google Scholar] [CrossRef]
  5. Shen, H. Structure Design and Hydrodynamic Analysis of Hybrid AUV. Master’s Thesis, China Jiliang University, Hangzhou, China, 2022. [Google Scholar]
  6. Myring, D.F. A Theoretical Study of Body Drag in Subcritical Axisymmetric Flow. Aeronaut. Q. 1976, 27, 186–194. [Google Scholar] [CrossRef]
  7. Bao, Y.C. Combinatorial Biomimetic Design of Fluid Dynamic Shape and Analysis of Aerodynamic Characteristics for Cross-Media UAV. Master’s Thesis, Jilin University, Changchun, China, 2019. [Google Scholar]
  8. Zhu, B. Unmanned Aircraft Aerodynamics; Aviation Industry Press: Wilmington, DE, USA, 2006. [Google Scholar]
  9. Fang, Z. Aerodynamics of Aircraft; Beihang University Press: Beijing, China, 2005. [Google Scholar]
  10. Yang, K.; Luo, K.; Huang, C.; Li, D. Study on high-speed water entry process of non-rotating vehicles. J. Northwest. Polytech. Univ. 2023, 41, 635–643. [Google Scholar] [CrossRef]
  11. Shi, C. Study on the Multiphase Fluid Hydrodynamics Characteristics of Water Entry and Water Exit for Trans-Medium Structures. Master’s Thesis, Dalian University of Technology, Dalian, China, 2021. [Google Scholar] [CrossRef]
  12. Wu, X. Research on the Stability of UAV Across Water and Air. Master’s Thesis, Harbin Institute of Technology, Harbin, China, 2022. [Google Scholar]
  13. Hou, Y. Investigations on the Hydrodynamic Characteristics of the Low-Speed Water-Entry Process of Hollow Projectiles. Master’s Thesis, Nanjing University of Science & Technology, Nanjing, China, 2021. [Google Scholar] [CrossRef]
  14. Stenius, I.; Rosén, A.; Kuttenkeuler, J. Hydroelastic interaction in panel-water impacts of high-speed craft. Ocean. Eng. 2011, 38, 371–381. [Google Scholar] [CrossRef]
  15. Nguyen, V.T.; Phan, T.H.; Park, W.G. Modeling and numerical simulation of ricochet and penetration of water entry bodies using an efficient free surface model. Int. J. Mech. Sci. 2020, 182, 105726. [Google Scholar] [CrossRef]
Figure 1. Front curves under different n values.
Figure 1. Front curves under different n values.
Jmse 13 00078 g001
Figure 2. Rear curves under different θ values.
Figure 2. Rear curves under different θ values.
Jmse 13 00078 g002
Figure 3. Fuselage curve of the cross-media vehicle.
Figure 3. Fuselage curve of the cross-media vehicle.
Jmse 13 00078 g003
Figure 4. Diagram of NACA4415 airfoil.
Figure 4. Diagram of NACA4415 airfoil.
Jmse 13 00078 g004
Figure 5. Diagram of the folding mechanism of the cross-media vehicle. (a) Folded wings. (b) Unfolded wings.
Figure 5. Diagram of the folding mechanism of the cross-media vehicle. (a) Folded wings. (b) Unfolded wings.
Jmse 13 00078 g005
Figure 6. Basic structure of water–air amphibious cross-media vehicle. (a) State in the air. (b) State in the water.
Figure 6. Basic structure of water–air amphibious cross-media vehicle. (a) State in the air. (b) State in the water.
Jmse 13 00078 g006
Figure 7. Schematic diagram of the setting of the computational domain.
Figure 7. Schematic diagram of the setting of the computational domain.
Jmse 13 00078 g007
Figure 8. Schematic diagram of grid profile.
Figure 8. Schematic diagram of grid profile.
Jmse 13 00078 g008aJmse 13 00078 g008b
Figure 9. Independent verification results of time steps.
Figure 9. Independent verification results of time steps.
Jmse 13 00078 g009
Figure 10. Schematic diagrams of different coordinate systems. (a) Reference coordinate system. (b) Body frame coordinate system.
Figure 10. Schematic diagrams of different coordinate systems. (a) Reference coordinate system. (b) Body frame coordinate system.
Jmse 13 00078 g010
Figure 11. Diagram of the changes in the volume fraction of the liquid phase at an initial entry angle of 45° and a speed of 80 m/s.
Figure 11. Diagram of the changes in the volume fraction of the liquid phase at an initial entry angle of 45° and a speed of 80 m/s.
Jmse 13 00078 g011
Figure 12. Cloud diagrams of changes in the wet area of the aircraft at typical times. (a) t1 = 0.02 s. (b) t2 = 0.03 s. (c) t3 = 0.08 s. (d) t4 = 0.12 s.
Figure 12. Cloud diagrams of changes in the wet area of the aircraft at typical times. (a) t1 = 0.02 s. (b) t2 = 0.03 s. (c) t3 = 0.08 s. (d) t4 = 0.12 s.
Jmse 13 00078 g012
Figure 13. The cavitation of the vehicle at a typical time. (a) t1 = 0.01 s. (b) t2 = 0.02 s. (c) t3 = 0.03 s. (d) t4 = 0.04 s. (e) t5 = 0.06 s. (f) t6 = 0.08 s.
Figure 13. The cavitation of the vehicle at a typical time. (a) t1 = 0.01 s. (b) t2 = 0.02 s. (c) t3 = 0.03 s. (d) t4 = 0.04 s. (e) t5 = 0.06 s. (f) t6 = 0.08 s.
Jmse 13 00078 g013aJmse 13 00078 g013b
Figure 14. The curve of the resultant total force of the vehicle over time under different initial parameters. (a) Different initial speeds under the same angle. (b) Different initial angles under the same speed.
Figure 14. The curve of the resultant total force of the vehicle over time under different initial parameters. (a) Different initial speeds under the same angle. (b) Different initial angles under the same speed.
Jmse 13 00078 g014
Figure 15. The curve of the speed of the vehicle over time under different initial parameters. (a) Different initial speeds under the same angle. (b) Different initial angles under the same speed.
Figure 15. The curve of the speed of the vehicle over time under different initial parameters. (a) Different initial speeds under the same angle. (b) Different initial angles under the same speed.
Jmse 13 00078 g015
Figure 16. The curve of the displacement of the vehicle over time under different initial parameters. (a) Different initial speeds under the same angle. (b) Different initial angles under the same speed.
Figure 16. The curve of the displacement of the vehicle over time under different initial parameters. (a) Different initial speeds under the same angle. (b) Different initial angles under the same speed.
Jmse 13 00078 g016
Figure 17. The curve of the acceleration of the vehicle over time under different initial parameters. (a) Different initial speeds under the same angle. (b) Different initial angles under the same speed.
Figure 17. The curve of the acceleration of the vehicle over time under different initial parameters. (a) Different initial speeds under the same angle. (b) Different initial angles under the same speed.
Jmse 13 00078 g017
Table 1. Design parameters of the cross-media unmanned vehicle.
Table 1. Design parameters of the cross-media unmanned vehicle.
Empty WeightUnderwater Full-Load WeightWingspanFuselage LengthAspect RatioBackward Sweep AngleTaper Ratio
8 kg25 kg1.6 m1.5 m812°0.6
Table 2. Cross-media vehicle model parameters.
Table 2. Cross-media vehicle model parameters.
Model ParametersNumeric ValueUnit
Fuselage length1.5m
Wingspan1.6m
Wing projection area0.32m2
Aspect ratio8/
Width of the fuselage after folding0.45m
Diameter of the main fuselage0.2m
Table 3. Comparison of calculation results of grids with different densities.
Table 3. Comparison of calculation results of grids with different densities.
Density of GridsNumber of GridsResultant Total Force (N)Relative Error
Refined9,689,16813,378.390
Medium6,852,31113,299.370.59%
Sparse4,846,04713,132.061.27%
Table 4. Settings of working conditions of the vehicle at different initial speeds.
Table 4. Settings of working conditions of the vehicle at different initial speeds.
S.N. of Working ConditionHeight of Water Entry (m)Position of the Center of GravityAngle of Water Entry (°)Speed of Water Entry (m/s)
#10.10.65L4540
#260
#380
Table 5. Settings of working conditions of the vehicle at different initial angles.
Table 5. Settings of working conditions of the vehicle at different initial angles.
S.N. of Working ConditionHeight of Water Entry (m)Position of the Center of GravitySpeed of Water Entry (m/s)Angle of Water Entry (°)
#10.10.65L4030
#245
#360
Disclaimer/Publisher’s Note: The statements, opinions and data contained in all publications are solely those of the individual author(s) and contributor(s) and not of MDPI and/or the editor(s). MDPI and/or the editor(s) disclaim responsibility for any injury to people or property resulting from any ideas, methods, instructions or products referred to in the content.

Share and Cite

MDPI and ACS Style

Li, W.; Wu, W.; Miao, Q.; Wu, J. Research on the Overall Design and Water Entry Simulation of Cross-Media Unmanned Underwater Vehicles. J. Mar. Sci. Eng. 2025, 13, 78. https://doi.org/10.3390/jmse13010078

AMA Style

Li W, Wu W, Miao Q, Wu J. Research on the Overall Design and Water Entry Simulation of Cross-Media Unmanned Underwater Vehicles. Journal of Marine Science and Engineering. 2025; 13(1):78. https://doi.org/10.3390/jmse13010078

Chicago/Turabian Style

Li, Wenye, Wuwei Wu, Quanming Miao, and Jiahu Wu. 2025. "Research on the Overall Design and Water Entry Simulation of Cross-Media Unmanned Underwater Vehicles" Journal of Marine Science and Engineering 13, no. 1: 78. https://doi.org/10.3390/jmse13010078

APA Style

Li, W., Wu, W., Miao, Q., & Wu, J. (2025). Research on the Overall Design and Water Entry Simulation of Cross-Media Unmanned Underwater Vehicles. Journal of Marine Science and Engineering, 13(1), 78. https://doi.org/10.3390/jmse13010078

Note that from the first issue of 2016, this journal uses article numbers instead of page numbers. See further details here.

Article Metrics

Back to TopTop