Hydrodynamics and Sediment Transport Under Solitary Waves in the Swash Zone
Abstract
1. Introduction
2. Numerical Method and Validation
2.1. Governing Equations and Closures
2.2. SPH Discretization
2.3. Model Validation
3. Hydrodynamics and Sediment Transport under Two-Successive Solitary Waves
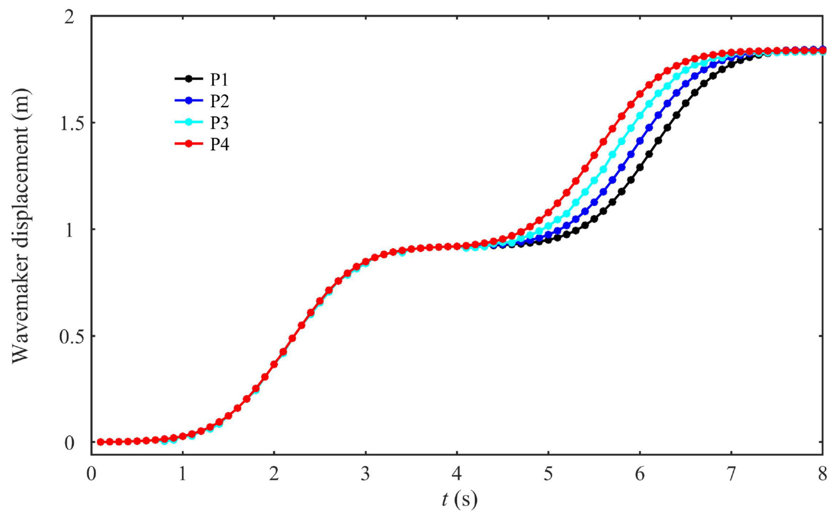
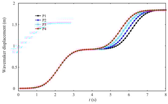
3.1. Setup of Numerical Experiments
3.2. Swash–Swash Interaction and Sediment Suspension
3.2.1. Breaking of the Preceding Wave
3.2.2. Breaking of the Second Wave
3.2.3. Generation of Sediment Plumes
- First sediment plume: It is carried by the vortex that is generated due to the collision between the onshore-moving current under the second wave and the backwash flow of the first swash as well as the backward jet from the impact of the second wave plunge on the flow. On the onshore side of the plume, there is significant bed erosion in the region between and as shown in Figure 10b. The lower backwash flow carries the sediment downslope and moves upwards when encountering the onshore flow under the second wave.
- Second sediment plume: This plume follows the vortex generated by the splashing jet and the lower backwash current. The splashing jet from the impact of the second-wave breaking plunge on the backwash current rushes upwards and onshore and then jumps down back to the backwash current. The lower backwash takes sediment downslopes and turns upwards when colliding with the upward-onshore splashing jet, also leading to bed erosion before the plume, as observed in the region of in Figure 10b.
- Third sediment plume: The splashing jet jumps down and encounters the backwash current, leading to the formation of the third vortex in Figure 11b. Similarly, the onshore splashing jet impedes the downslope motion of the backwash current as well as the carried sediment and pushes it up.
- It is noted that all the plumes are on the offshore side of the vortices, and there is notable bed erosion on the onshore side of the plumes.
3.2.4. Rolling Bores at the Swash Front
3.2.5. Run-Up and Settling of Sediment Plumes
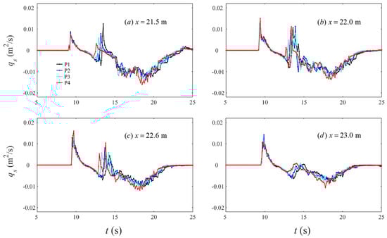
3.3. Sediment Flux and Beach Profile Change
4. Discussion
4.1. Dynamics in the Effects of the Time Interval between Two Successive Waves
4.2. Differences in Sediment Transport under Single and Two Solitary Waves
5. Conclusions
Author Contributions
Funding
Institutional Review Board Statement
Informed Consent Statement
Data Availability Statement
Conflicts of Interest
References
- Butt, T.; Russell, P. Hydrodynamics and cross-shore sediment transport in the swash-zone of natural beaches: A review. J. Coast. Res. 2000, 16, 255–268. [Google Scholar]
- Elfrink, B.; Baldock, T. Hydrodynamics and sediment transport in the swash zone: A review and perspectives. Coast. Eng. 2002, 45, 149–167. [Google Scholar] [CrossRef]
- Masselink, G.; Puleo, J.A. Swash-zone morphodynamics. Cont. Shelf Res. 2006, 26, 661–680. [Google Scholar] [CrossRef]
- Brocchini, M.; Baldock, T.E. Recent advances in modeling swash zone dynamics: Influence of surf-swash interaction on nearshore hydrodynamics and morphodynamics. Rev. Geophys. 2008, 46, 1–23. [Google Scholar] [CrossRef]
- Hanson, H.; Larson, M.; Kraus, N.C. Calculation of beach change under interacting cross-shore and longshore processes. Coast. Eng. 2010, 57, 610–619. [Google Scholar] [CrossRef]
- Andualem, T.G.; Hewa, G.A.; Myers, B.R.; Peters, S.; Boland, J. Erosion and sediment transport modeling: A systematic review. Land 2023, 12, 1396. [Google Scholar] [CrossRef]
- Wu, Y.T.; Higuera, P.; Liu, P.L.F. On the evolution and runup of a train of solitary waves on a uniform beach. Coast. Eng. 2021, 170, 104015. [Google Scholar] [CrossRef]
- Jung, J.; Hwang, J.H. Hybrid finite volume WENO and lattice Boltzmann method for shallow flows over erodible bed. Ocean Eng. 2022, 265, 112588. [Google Scholar] [CrossRef]
- Sou, I.M.; Cowen, E.A.; Liu, P.L.F. Evolution of the turbulence structure in the surf and swash zones. J. Fluid Mech. 2010, 644, 193–216. [Google Scholar] [CrossRef]
- Deng, B.; Zhang, W.; Yao, Y.; Jiang, C. A laboratory study of the effect of varying beach slopes on bore-driven swash hydrodynamics. Front. Mar. Sci. 2022, 9, 956379. [Google Scholar] [CrossRef]
- Baldock, T.E.; Hughes, M.G. Field observations of instantaneous water slopes and horizontal pressure gradients in the swash-zone. Cont. Shelf Res. 2006, 26, 574–588. [Google Scholar] [CrossRef]
- Lee, C.H.; Cheng, H.Y. Multi-phase simulation for understanding morphodynamics of gravel beaches. Coast. Eng. 2024, 187, 104422. [Google Scholar] [CrossRef]
- O’Donoghue, T.; Kikkert, G.A.; Pokrajac, D.; Dodd, N.; Briganti, R. Intra-swash hydrodynamics and sediment flux for dambreak swash on coarse-grained beaches. Coast. Eng. 2016, 112, 113–130. [Google Scholar] [CrossRef]
- Pintado-Patiño, J.C.; Puleo, J.A.; Krafft, D.; Torres-Freyermuth, A. Hydrodynamics and sediment transport under a dam-break-driven swash: An experimental study. Coast. Eng. 2021, 170, 103986. [Google Scholar] [CrossRef]
- Barranco, I.; Liu, P.L.F. Run-up and inundation generated by non-decaying dam-break bores on a planar beach. J. Fluid Mech. 2021, 915, A81. [Google Scholar] [CrossRef]
- Kobayashi, N.; Lawrence, A.R. Cross-shore sediment transport under breaking solitary waves. J. Geophys. Res. Oceans 2004, 109, C03047. [Google Scholar] [CrossRef]
- Alsina, J.M.; Falchetti, S.; Baldock, T.E. Measurements and modelling of the advection of suspended sediment in the swash zone by solitary waves. Coast. Eng. 2009, 56, 621–631. [Google Scholar] [CrossRef]
- Young, Y.L.; Xiao, H.; Maddux, T. Hydro-and morpho-dynamic modeling of breaking solitary waves over a fine sand beach. Part I: Experimental study. Mar. Geol. 2010, 269, 107–118. [Google Scholar] [CrossRef]
- Wang, Y.; Liu, P.L.F. Laminar boundary layers and damping of finite amplitude solitary wave in a wave flume. Phys. Fluids 2023, 35, 083109. [Google Scholar] [CrossRef]
- Cáceres, I.; Alsina, J.M. A detailed, event-by-event analysis of suspended sediment concentration in the swash zone. Cont. Shelf Res. 2012, 41, 61–76. [Google Scholar] [CrossRef]
- Cáceres, I.; Alsina, J.M. Suspended sediment transport and beach dynamics induced by monochromatic conditions, long waves and wave groups. Coast. Eng. 2016, 108, 36–55. [Google Scholar] [CrossRef]
- Pujara, N.; Liu, P.L.F.; Yeh, H.H. An experimental study of the interaction of two successive solitary waves in the swash: A strongly interacting case and a weakly interacting case. Coast. Eng. 2015, 105, 66–74. [Google Scholar] [CrossRef]
- Alsina, J.M.; van der Zanden, J.; Caceres, I.; Ribberink, J.S. The influence of wave groups and wave-swash interactions on sediment transport and bed evolution in the swash zone. Coast. Eng. 2018, 140, 23–42. [Google Scholar] [CrossRef]
- Alsina, J.M.; Cáceres, I. Sediment suspension events in the inner surf and swash zone. Measurements in large-scale and high-energy wave conditions. Coast. Eng. 2011, 58, 657–670. [Google Scholar] [CrossRef]
- Aagaard, T.; Hughes, M.G. Sediment suspension and turbulence in the swash zone of dissipative beaches. Mar. Geol. 2006, 228, 117–135. [Google Scholar] [CrossRef]
- Ribberink, J.S.; van der Werf, J.J.; O’Donoghue, T.; Hassan, W.N.M. Sand motion induced by oscillatory flows: Sheet flow and vortex ripples. J. Turbul. 2008, 9, N20. [Google Scholar] [CrossRef]
- Puleo, J.A.; Lanckriet, T.; Conley, D.; Foster, D. Sediment transport partitioning in the swash zone of a large-scale laboratory beach. Coast. Eng. 2016, 113, 73–87. [Google Scholar] [CrossRef]
- van der Zanden, J.; Alsina, J.M.; Cáceres, I.; Buijsrogge, R.H.; Ribberink, J.S. Bed level motions and sheet flow processes in the swash zone: Observations with a new conductivity-based concentration measuring technique (CCM+). Coast. Eng. 2015, 105, 47–65. [Google Scholar] [CrossRef]
- Alsina, J.M.; Cáceres, I.; Brocchini, M.; Baldock, T.E. An experimental study on sediment transport and bed evolution under different swash zone morphological conditions. Coast. Eng. 2012, 68, 31–43. [Google Scholar] [CrossRef]
- van Rijn, L.C. Unified view of sediment transport by currents and waves. I: Initiation of motion, bed roughness, and bed-load transport. J. Hydraul. Eng. 2007, 133, 649–667. [Google Scholar] [CrossRef]
- van Rijn, L.C. Unified view of sediment transport by currents and waves. II: Suspended transport. J. Hydraul. Eng. 2007, 133, 668–689. [Google Scholar] [CrossRef]
- Kuang, C.; Han, X.; Zhang, J.; Zou, Q.; Dong, B. Morphodynamic evolution of a nourished beach with artificial sandbars: Field observations and numerical modeling. J. Mar. Sci. Eng. 2021, 9, 245. [Google Scholar] [CrossRef]
- Samaras, A.G.; Karambas, T.V. Simulating Erosive and Accretive Conditions in the Swash: Applications of a Nonlinear Wave and Morphology Evolution Model. J. Mar. Sci. Eng. 2024, 12, 140. [Google Scholar] [CrossRef]
- Zhao, S.; Qi, H.; Cai, F.; Zhu, J.; Zhou, X.; Lei, G. Morphological and sedimentary features of sandy-muddy transitional beaches in estuaries and bays along mesotidal to macrotidal coasts. Earth Surf. Proc. Land. 2020, 45, 1660–1676. [Google Scholar] [CrossRef]
- Do, K.; Yoo, J. Morphological response to storms in an embayed beach having limited sediment thickness. Estuar. Coast. Shelf Sci. 2020, 234, 106636. [Google Scholar] [CrossRef]
- Ton, A.M.; Vuik, V.; Aarninkhof, S.G. Sandy beaches in low-energy, non-tidal environments: Linking morphological development to hydrodynamic forcing. Geomorphology 2021, 374, 107522. [Google Scholar] [CrossRef]
- Moulton, M.A.; Hesp, P.A.; da Silva, G.M.; Keane, R.; Fernandez, G.B. Surfzone-beach-dune interactions along a variable low wave energy dissipative beach. Mar. Geol. 2021, 435, 106438. [Google Scholar] [CrossRef]
- Cho, Y.J. Development of the physics–based morphology model as the platform for the optimal design of beach nourishment project: A numerical study. J. Mar. Sci. Eng. 2020, 8, 828. [Google Scholar] [CrossRef]
- Ribas, F.; Falques, A.; De Swart, H.E.; Dodd, N.; Garnier, R.; Calvete, D. Understanding coastal morphodynamic patterns from depth-averaged sediment concentration. Rev. Geophys. 2015, 53, 362–410. [Google Scholar] [CrossRef]
- El, G.A.; Grimshaw, R.H.; Tiong, W.K. Transformation of a shoaling undular bore. J. Fluid Mech. 2012, 709, 371–395. [Google Scholar] [CrossRef]
- Bakhtyar, R.; Razmi, A.M.; Barry, D.A.; Kees, C.E.; Yeganeh-Bakhtiary, A.; Miller, C.T. Two-phase flow modeling of the influence of wave shapes and bed slope on nearshore hydrodynamics. J. Coast. Res. 2013, 65, 159–164. [Google Scholar] [CrossRef]
- García-Maribona, J.; Lara, J.L.; Maza, M.; Losada, I.J. An efficient RANS numerical model for cross-shore beach processes under erosive conditions. Coast. Eng. 2021, 170, 103975. [Google Scholar] [CrossRef]
- Kranenborg, J.W.; Campmans, G.H.; Jacobsen, N.G.; van der Werf, J.J.; Reniers, A.J.; Hulscher, S.J. Depth-resolved modelling of intra-swash morphodynamics induced by solitary waves. J. Mar. Sci. Eng. 2022, 10, 1175. [Google Scholar] [CrossRef]
- Labarthe, C.; Castelle, B.; Marieu, V.; Garlan, T.; Bujan, S. Observation and Modeling of the Equilibrium Slope Response of a High-Energy Meso-Macrotidal Sandy Beach. J. Mar. Sci. Eng. 2023, 11, 584. [Google Scholar] [CrossRef]
- Calantoni, J.; Puleo, J.A.; Holland, K.T. Simulation of sediment motions using a discrete particle model in the inner surf and swash-zones. Cont. Shelf Res. 2006, 26, 610–621. [Google Scholar] [CrossRef]
- Bouchut, F.; Fernández-Nieto, E.D.; Mangeney, A.; Narbona-Reina, G. A two-phase two-layer model for fluidized granular flows with dilatancy effects. J. Fluid Mech. 2016, 801, 166–221. [Google Scholar] [CrossRef]
- Yavari-Ramshe, S.; Ataie-Ashtiani, B. Numerical modeling of subaerial and submarine landslide-generated tsunami waves—Recent advances and future challenges. Landslides 2016, 13, 1325–1368. [Google Scholar] [CrossRef]
- He, K.; Shi, H.; Yu, X. Effects of interstitial water on collapses of partially immersed granular columns. Phys. Fluids 2022, 34, 023306. [Google Scholar] [CrossRef]
- Shi, H.; Si, P.; Dong, P.; Yu, X. A two-phase SPH model for massive sediment motion in free surface flows. Adv. Water Resour. 2019, 129, 80–98. [Google Scholar] [CrossRef]
- Lee, C.H.; Lo, P.H.Y.; Shi, H.; Huang, Z. Numerical modelling of generation of landslide tsunamis: A review. J. Earthq. Tsunami 2022, 16, 2241001. [Google Scholar] [CrossRef]
- Shi, H.; Dong, P.; Yu, X.; Zhou, Y. A theoretical formulation of dilatation/contraction for continuum modelling of granular flows. J. Fluid Mech. 2021, 916, A56. [Google Scholar] [CrossRef]
- Guan, X.; Shi, H. Translational momentum of deformable submarine landslides off a slope. J. Fluid Mech. 2023, 960, A23. [Google Scholar] [CrossRef]
- Zhao, Z.; Fernando, H.J.S. Numerical simulation of scour around pipelines using an Euler–Euler coupled two-phase model. Environ. Fluid Mech. 2007, 7, 121–142. [Google Scholar] [CrossRef]
- Yeganeh-Bakhtiary, A.; Kazeminezhad, M.H.; Etemad-Shahidi, A.; Baas, J.H.; Cheng, L. Euler-Euler two-phase flow simulation of tunnel erosion beneath marine pipelines. Appl. Ocean Res. 2011, 33, 137–146. [Google Scholar] [CrossRef]
- Lee, C.H.; Low, Y.M.; Chiew, Y.M. Multi-dimensional rheology-based two-phase model for sediment transport and applications to sheet flow and pipeline scour. Phys. Fluids 2016, 28, 053305. [Google Scholar] [CrossRef]
- Ouda, M.; Toorman, E.A. Development of a new multiphase sediment transport model for free surface flows. Int. J. Multiphas. Flow 2019, 117, 81–102. [Google Scholar] [CrossRef]
- Tofany, N.; Low, Y.M.; Lee, C.H.; Chiew, Y.M. Two-phase flow simulation of scour beneath a vibrating pipeline during the tunnel erosion stage. Phys. Fluids 2019, 31, 113302. [Google Scholar] [CrossRef]
- Nagel, T.; Chauchat, J.; Bonamy, C.; Liu, X.; Cheng, Z.; Hsu, T.J. Three-dimensional scour simulations with a two-phase flow model. Adv. Water Resour. 2020, 138, 103544. [Google Scholar] [CrossRef]
- Hsu, T.J.; Jenkins, J.T.; Liu, P.L.F. On two-phase sediment transport: Sheet flow of massive particles. Proc. R. Soc. Lond. A 2004, 460, 2223–2250. [Google Scholar] [CrossRef]
- Amoudry, L.; Hsu, T.J.; Liu, P.L.F. Two-phase model for sand transport in sheet flow regime. J. Geophys. Res. Oceans 2008, 113, C03011. [Google Scholar] [CrossRef]
- Chen, X.; Li, Y.; Niu, X.; Chen, D.; Yu, X. A two-phase approach to wave-induced sediment transport under sheet flow conditions. Coast. Eng. 2011, 58, 1072–1088. [Google Scholar] [CrossRef]
- Kim, Y.; Cheng, Z.; Hsu, T.J.; Chauchat, J. A numerical study of sheet flow under monochromatic nonbreaking waves using a free surface resolving Eulerian two-phase flow model. J. Geophys. Res. Oceans 2018, 123, 4693–4719. [Google Scholar] [CrossRef]
- Chauchat, J. A comprehensive two-phase flow model for unidirectional sheet-flows. J. Hydraul. Res. 2018, 56, 15–28. [Google Scholar] [CrossRef]
- Bakhtyar, R.; Barry, D.A.; Yeganeh-Bakhtiary, A.; Li, L.; Parlange, J.Y.; Sander, G.C. Numerical simulation of two-phase flow for sediment transport in the inner-surf and swash zones. Adv. Water Resour. 2010, 33, 277–290. [Google Scholar] [CrossRef]
- Tofany, N.; Lee, C.H. Multi-phase modelling of surf-zone sediment transport and bed evolution under plunging breakers. Eur. J. Mech. B-Fluid. 2021, 89, 367–379. [Google Scholar] [CrossRef]
- Luo, M.; Khayyer, A.; Lin, P. Particle methods in ocean and coastal engineering. Appl. Ocean Res. 2021, 114, 102734. [Google Scholar] [CrossRef]
- Altomare, C.; Scandura, P.; Cáceres, I.; Viccione, G. Large-scale wave breaking over a barred beach: SPH numerical simulation and comparison with experiments. Coast. Eng. 2023, 185, 104362. [Google Scholar] [CrossRef]
- Gidaspow, D. Multiphase Flow and Fluidization: Continuum and Kinetic Theory Descriptions; Academic Press: San Diego, CA, USA, 1994. [Google Scholar]
- Shi, H.; Yu, X.; Dalrymple, R.A. Development of a two-phase SPH model for sediment laden flows. Comput. Phys. Commun. 2017, 221, 259–272. [Google Scholar] [CrossRef]
- Monaghan, J.J. On the problem of penetration in particle methods. J. Comput. Phys. 1989, 82, 1–15. [Google Scholar] [CrossRef]
- Goring, D.G. Tsunamis—The Propagation of Long Waves onto a Shelf. Ph.D. Thesis, W.M. Keck Lab., California Institute of Technology, Pasadena, CA, USA, 1978. [Google Scholar]




















| 0.2 | 0.2 | 0.62 | 0.52 | 0.61 | 109 Pa | 0.9 | 1.0 | 0.1 | 5.0 | 0.1 |
Disclaimer/Publisher’s Note: The statements, opinions and data contained in all publications are solely those of the individual author(s) and contributor(s) and not of MDPI and/or the editor(s). MDPI and/or the editor(s) disclaim responsibility for any injury to people or property resulting from any ideas, methods, instructions or products referred to in the content. |
© 2024 by the authors. Licensee MDPI, Basel, Switzerland. This article is an open access article distributed under the terms and conditions of the Creative Commons Attribution (CC BY) license (https://creativecommons.org/licenses/by/4.0/).
Share and Cite
Li, S.; Li, W.; Shi, H.; Guan, X. Hydrodynamics and Sediment Transport Under Solitary Waves in the Swash Zone. J. Mar. Sci. Eng. 2024, 12, 1686. https://doi.org/10.3390/jmse12091686
Li S, Li W, Shi H, Guan X. Hydrodynamics and Sediment Transport Under Solitary Waves in the Swash Zone. Journal of Marine Science and Engineering. 2024; 12(9):1686. https://doi.org/10.3390/jmse12091686
Chicago/Turabian StyleLi, Shuo, Wenxin Li, Huabin Shi, and Xiafei Guan. 2024. "Hydrodynamics and Sediment Transport Under Solitary Waves in the Swash Zone" Journal of Marine Science and Engineering 12, no. 9: 1686. https://doi.org/10.3390/jmse12091686
APA StyleLi, S., Li, W., Shi, H., & Guan, X. (2024). Hydrodynamics and Sediment Transport Under Solitary Waves in the Swash Zone. Journal of Marine Science and Engineering, 12(9), 1686. https://doi.org/10.3390/jmse12091686

