Next Article in Journal
A Study on the Impact of Vertical Grid Parameter Perturbations in the Regional Ocean Modeling System
Previous Article in Journal
Research on Model Reduction of AUV Underwater Support Platform Based on Digital Twin
 
 
Font Type:
Arial Georgia Verdana
Font Size:
Aa Aa Aa
Line Spacing:
Column Width:
Background:
Article

Extreme Wave-Induced Pressure Distribution and Wave Forces on Tandem Pile Groups: An Experimental Study

School of Highway, Chang’an University, Xi’an 710064, China
*
Author to whom correspondence should be addressed.
J. Mar. Sci. Eng. 2024, 12(9), 1674; https://doi.org/10.3390/jmse12091674
Submission received: 1 August 2024 / Revised: 15 August 2024 / Accepted: 14 September 2024 / Published: 19 September 2024
(This article belongs to the Section Coastal Engineering)

Abstract

As the foundation of marine infrastructure, pile groups are subjected to extreme wave loads. Existing research primarily focuses on regular waves and wave forces. There is limited research on the pressure distribution of pile bodies under extreme waves. This paper describes a wave flume experiment where waves of a self-proposed extreme wave type were generated. The experiment considers three water depths (25/35/45 cm), three wave-pushing velocities (20/30/40 cm/s), and two clear distances (D, 2D). A total of 216 measuring points equipped with digital pressure sensors captured the vertical and circumferential pressure distribution and wave positive force. The results show that (1) the vertical and circumferential pressure distribution patterns of each component pile and the single pile are similar in various loading scenarios and clear distances. (2) The measuring point pressure, pressure after circumferential integration, and wave positive force are positively correlated with wave-pushing velocity. (3) The wave pressure is positively correlated with the water depth, while the pressure after circumferential integration is negatively correlated with the water depth. (4) When the clear distance is D, the wave positive force coefficient of each component pile is less than 1.0.

1. Introduction

Cross-sea bridges are a critical type of marine transportation infrastructure, yet they remain highly susceptible to marine natural disasters. For example, the tsunami in Indonesia led to non-uniform lateral displacement of the main girder of the local bridge named “Ulee Lheue” in 2004. Specifically, the main span and the side span experienced a displacement gap of up to 15 cm [1]. In 2011, the 9.0-magnitude earthquake in northeastern Japan triggered a tsunami, which washed away 40% of the bridges in Rikuzen Takata City and seriously damaged 300 bridges. Four sections were completely disrupted by the damage to bridges [2]. Given the critical role of pile groups in the structure of cross-sea bridges, it is of great significance to study the wave forces and pressure distribution of pile groups in complex marine environments.
Because of the complexity of a pile group itself and the surrounding flow field, most researchers first focused on cylinders. The pioneering work in this area can be traced back to the 1950s with the development of the Morison equation. It was proposed by Morison for the calculation of wave forces on cylinders [3]. Subsequently, scholars have performed a lot of research on the structural parameters, wave conditions, drag coefficient, inertia coefficient, and formula modification of the Morison equation [4,5,6,7,8]. In order to investigate the basis of the drag coefficient and inertia coefficient in the Morison equation, Sarpkaya et al. studied the in-line and transverse forces of a cylinder in the steady state and oscillatory flow. They found that the rough condition of the cylinder surface and wave shape have a great influence on the drag coefficient and inertia coefficient of the Morison equation [9,10,11]. Li et al. analyzed the wave–current forces on vertical and horizontal piles under regular and irregular waves. They concluded that the calculation method based on the Improved Morison equation Is also applicable to Irregular waves [12,13,14]. Using the M5 model tree, Genetic Programming method, and nonlinear regression technique, the wave load prediction formula and the wave runup prediction formula on the single pile under a non-breaking wave were established [15,16].
Most scholars concentrate on the wave forces acting on piles, with fewer investigating the local pressure distribution within each pile. Xu et al. [17] investigated the dynamic pressure and wave load on vertical cylinders with various cross-sectional shapes under extreme wave conditions. Vested et al. [18,19] divided a vertical cylinder into four individual sections to study the force distribution along the cylinder. They observed that under twenty regular wave conditions, the steepness of the wave load close to the bed is more moderate for the section compared with the section at the free surface. Additionally, the maximum force did not occur simultaneously on the Individual sections of the cylinder. Vigsø et al. [20,21] introduced a method for mapping load distributions on vertical cylinders under regular wave load, taking into account the fluid–solid interaction. This method employs OMA to acquire the dynamic properties of a structure and establish a dynamic model, utilizing the structure’s responses to calculate the loading from a random sea state.
Transitioning from the study of individual piles to pile groups introduces a new dimension of complexity. Pile groups, by their very nature, present a more intricate interaction with the wave forces. The experiment of tandem pile groups can be traced back to around the 1980s. Chakrabarti et al. measured the two-component wave forces of two, three, and five piles vertically placed in tandem arrangement [22]. Researchers in China built a 69 m × 2.0 m × 1.8 m flume to preliminarily explore the relationship between the pile group influence coefficient and the relative pile diameter under regular waves [23]. Li et al. further analyzed the in-line force and transverse force of tandem and side-by-side piles under irregular waves [24,25,26]. Zhang et al. reported the variation in the transverse force coefficient with the KC number and the relative pile spacing in three piles under tandem and side-by-side arrangements [27]. Sparboom et al. experimentally studied the force of single pile, tandem, side-by-side, diagonal, and triangular pile groups under regular and irregular non-breaking waves and breaking waves [28,29]. Liu et al. studied wave forces on a fixed array of four rounded square columns [30]. Bonakdar et al. took different pile arrangements (single, side-by-side, tandem, 2 × 2, and staggered), the KC number, and relative pile spacing as independent variables and investigated the pile group effect of non-breaking and focused breaking waves [31,32]. In recent years, researchers have begun to study the effect of multi-directional waves on structures. Zhang et al. carried out a series of studies on nine piles in a side-by-side arrangement and eight small-scale piles in a double-row side-by-side arrangement. The experimental results showed that directional spreading has a significant effect on the interaction between multi-directional irregular waves and piles, especially on the transverse force of piles [33,34,35].
Most existing research has been based on conventional waves, which may not fully encapsulate the complex real-world marine environments. A small number of researchers have studied extreme waves. H. Fernández et al. [36] proposed a Self-Correcting Method (SCM) for precise control of wave boards, thereby enhancing the generation of extreme waves under laboratory conditions. Taibing et al. [37,38] investigated the point pressure on a single pile under non-breaking and breaking extreme waves. They found that the degree of wave breaking, the proximity of the measuring point to the wave crest, and the dispersion of point pressure are closely related. Bo Xu et al. [39] examined extreme wave loads on the elevated pile caps of sea-crossing bridges, finding that both gap height and wave height significantly influence wave forces.
Despite the progress in understanding the wave forces of both single pile and pile groups, a significant gap remains in the detailed analysis of force distribution on individual piles within a group, particularly under extreme wave conditions. Furthermore, although the pressure distribution on the surface of a single pile has been extensively investigated, the characteristics of pressure distribution within pile groups inevitably differ from those of a single pile because of interaction effects such as shielding and interference among piles. This necessitates a focus on the pressure distribution of individual piles within pile groups, particularly under extreme wave conditions.
In view of this, this paper designs a model experiment for the action of irregular waves on tandem pile groups. Digital pressure sensors are used to measure the pressure distribution on the pile surface. We analyze the vertical and circumferential pressure distribution and wave forces of the pile group under different water depths, wave-pushing velocities, and pile spacings. Moreover, a single pile is introduced to compare the effects of pile position on the pressure distribution and wave forces. The results have significant implications for the consideration of wave load in the design of sea-crossing bridges.

2. Experimental Setup

2.1. Experimental Platform

The overall arrangement of the experimental flume is indicated in Figure 1 and Figure 2. The length, width, and height of the experimental flume are 7.5 m, 1.5 m, and 0.75 m. The flume is divided into several zones: a buffer zone, a plate motor zone, a transmission zone, a model zone, and a reflective zone. A power plant connected with a programmable speed controller controls the movement of the wave-pushing plate for wave generation in the inferior part shown in Figure 1. The power plant consists of a servo motor and a heavy-duty sliding table with dual linear rails. The programmable speed controller controls the movement direction, movement displacement, and movement velocity of the sliding table. The movement of the sliding table guides the wave-pushing plate to move in the flume. For the wave-pushing plate, the wave-pushing velocity range is 0~45 cm/s, and the wave-pushing distance range is 0~100 cm. The model is positioned at the centerline of the flume’s width.

2.2. Experimental Model and Loading Scenarios

The arrangement of the tandem pile group model and pressure measuring points are shown in Figure 3. First, we refer to Figure 3a. The circular pile model used in this experiment is made of an acrylic board. The line joining the center of the three piles (pile numbers P1, P2, and P3) is parallel to the direction of the incoming wave. The clear distance of three piles is D or 2D (D represents the pile’s outer diameter and is equal to 12 cm). The experimental design adheres to the Froude similarity criterion, which is primarily employed to ensure similitude in dynamic behavior due to gravity forces between the model and the prototype [40]. With a similarity ratio of 1:20, the model can accurately represent the pile group of marine foundations in the real world, accommodating a diameter range of 2 to 2.5 m.
Figure 3b illustrates the measuring points arrangement and model dimensions. Considering the symmetry in the tandem pile group along the incoming wave direction, the pressure measuring points are only arranged along the symmetrical side. A series of pressure measuring points are arranged on the model sidewall at circumferential positions of 0°, 30°, 60°, 120°, 150°, and 180°. The incoming wave direction is specified as 0°. There are 12 pressure measuring points in each vertical column with a spacing of 4.5 cm. The first sensor is 6.5 cm away from the bottom of the flume. The identification numbers of the measuring points along the longitudinal direction of the pile are shown as “1#, 2#……12#”, with the direction numbering from bottom to top. The model has a height of 65 cm and an outer diameter of 12 cm. In order to compare the pressure distributions of P1, P2, P3, and the single pile, the model experiments of a single pile under the same loading scenarios are supplemented. For convenience of illustration, we express “PS” in terms of the single pile.
In this experiment, we create nine different wave scenarios by setting different water depths and wave-pushing velocities. The wave-pushing plate generates a wave similar to a solitary wave during each single motion process, and the time–velocity curve of the motion process of the wave-pushing plate is shown in Figure 4. The motion process of the wave-pushing plate can be divided into three sections: acceleration section, uniform velocity section, and deceleration section. Table 1 shows that the experimental design includes two types of clear distance between piles (D, 2D), three types of water depths (h = 25 cm, 35 cm, 45 cm), and three types of wave-pushing velocities (Vuni = 20 cm/s, 30 cm/s, 40 cm/s). In this context, “Vuni” represents the wave-pushing velocity during the uniform phase. The wave velocity (c) is calculated and listed in Table 1, and a is defined as initial wave amplitude and ε = a/h is the relative wave height. The Reynolds number is calculated based on the maximum horizontal wave-induced flow velocity, amounting to approximately 250,000.
For convenience of illustration, we express the three motion processes of the wave-pushing plate in terms of the velocity of the uniform velocity section. The term “25-20” represents the loading scenario where the water depth is 25 cm and the wave-pushing velocity is 20 cm/s. Unless specified otherwise, this abbreviation is conventionally used throughout the paper as a legend to denote the same meaning.

2.3. Data Acquisition and Verification

The instruments and data acquisition system used in the experiment are indicated in Figure 1. The digital pressure sensor (model number: YPS300-L) is mounted vertically on the surface of the model to measure pressure. The pressure measured by the pressure sensor is normal stress, and all discussed pressures in this paper refer to normal stress. The digital pressure sensor has a range of 0 to 10 kPa, an accuracy of 0.1% FS (full scale), and an experimental sampling rate of 1 kHz. Wave gauges are set up at the front and rear of the model to measure water surface elevation. Along the longitudinal direction of the pool, 0.75 m from the left inner wall of the pool, four probe-type wave gauges are arranged at intervals of 1.25 m. The wave gauge is a probe digital wave height meter (model number: NWH200-D), having a range of 0 to 80 cm, an accuracy of 0.3% FS, and an experimental sampling rate of 100 Hz. Pressure and water surface elevation data are collected and converted by SDA2004 software version 4.0.16. In order to ensure data reliability under the same scenarios, the standard deviation of water surface elevation peak data before the experiment is controlled within 1.5 mm.
It is necessary to ensure the stability of wave-pushing plate motion and the pressure measurement results. The results of water surface elevation and pressure were verified in two wave-pushing plate motions. We chose “45-40” loading scenarios for validation. As shown in Figure 5a, the water surface elevation time-varying curves are basically consistent under the two wave-pushing motions. For pressure data validation, we chose 4# height at the 0° and 180° positions of P1. As shown in Figure 5b, the pressure–time-history curves are basically consistent as well. The error analysis data are listed in Table 2 and Table 3; the maximum error of the water surface elevation peak is 1.22%, and the maximum error of the pressure peak data is 5.13%.

2.4. Numerical Simulation of the Experimental Flume

The aspect ratio of the experimental flume, which is 5:1, is less than that found in conventional wave flumes. We conducted numerical simulations to compare the differences between waves generated in an extended flume and those produced in the initial flume. We employed the computational fluid dynamics software ANSYS (https://www.ansys.com/zh-cn/resource-center/webinar/ansys-2022-r1-ansys-fluent-update accessed on 15 August 2024). Fluent to construct a three-dimensional numerical wave flume model, solving the Reynolds-averaged Navier–Stokes (RANS) equations using the finite volume method. The simulation employs the VOF two-phase flow model to track the free surface of air and water, using the RNG k-ε turbulence model and dynamic mesh techniques. Based on the numerical flume dimensions shown in Figure 6, the initial flume dimensions are consistent with those of the experimental flume. The dimensions of the extended flume are 2000 cm in length, 150 cm in width, and 75 cm in height. The number of hexahedral meshes for the initial and extended flumes are 841,575 and 2,247,825, respectively.
To verify the accuracy of the numerical wave flume model, a comparison of water surface elevation measured by four wave gauges is presented in Figure 7a for the “40-40” scenario. The experimental and numerical simulations show consistent rates of increase in water surface elevation, with a maximum deviation of 2.9 mm at the first peak. Similarly, for the “40-40” scenario, the impact of the extended flume on changes in water surface elevation is examined. It is observed that extending the flume has almost no effect on the first peak of the water surface elevation, with the maximum deviation being less than 1.5 mm. For peaks other than the first, because of the different distances of reflected wave travel, the peak occurrences in the initial flume are earlier and the values are higher compared with the extended flume. Therefore, this paper focuses solely on the structural effects of the first wave generated, and the presence of the reflected wave does not impact the experimental results.

3. Experimental Results and Discussion

3.1. Pressure Distribution Characteristics

3.1.1. Vertical Pressure Distribution

In order to analyze the pressure time-varying rules of P1, P2, P3, and PS, time-varying curves of pressure at different heights of piles are drawn in Figure 8. Because the time-varying curves of the nine loading scenarios and different positions are similar, the 0° position and “45-40” are taken as an example. For the “45-40” loading scenario, the 1#~9# height measuring points are underwater measuring points, and the 10#~12# height measuring points are above water. The time-varying curves of P1, P2, P3, and PS have high similarity in the overall trend shown in Figure 8. The pressure variation trend can be roughly divided into an ascending section and a descending section. The pressure peaks at the end of the ascending section. The time when the pressure reaches the peak is defined as Tmax.
As shown in Figure 8a–c, at t = 1.0 s, the pressure of the underwater measuring points starts to increase simultaneously and gradually. The relationship between the pressure of the measuring points and the height varies slightly at different times. The Tmax values of P1, P2, and P3 are relatively close, all around t = 2.5 s. The pressure of the measuring points above water is generated by the wave action on the piles. Therefore, the pressure begins to increase at a time lag relative to the underwater measuring points. And the pressure decreases with increasing height. The factors affecting the pressure distribution and the patterns at Tmax are further analyzed below.
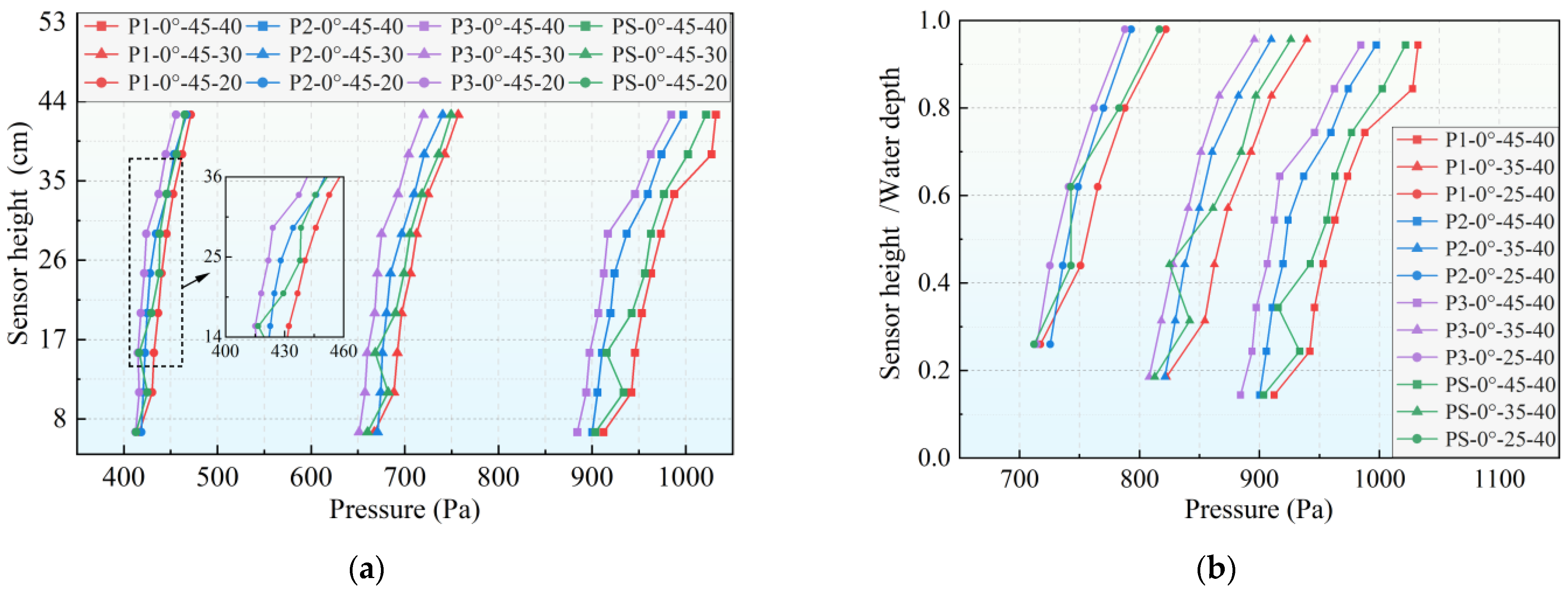
Considering the differences in the loading scenarios, the influences of velocity and water depth on the pressure distribution of the vertical measuring points at Tmax are discussed in Figure 9a,b. Under different water depths, the numbers of underwater measuring points are different. For water depths of 25, 35, and 45 cm, the numbers of the underwater measuring points is 1#~5#, 1#~7#, and 1#~9#, respectively. Because the pressure of the underwater measuring points is larger than that of the measuring points above the water, the pressure distribution of the underwater measuring points is the focus of the following discussion. In order to facilitate the illustration, the graphic illustration is abbreviated. For example, “P1-0°-45-40” represents the pressure distribution at the 0° position of P1 under the water depth of 45 cm and the wave-pushing velocity of 40 cm/s.
As shown in Figure 9, the pressure values generally increase with the height of measuring points except for height 3# and 9#. The vertical pressure distribution of underwater measuring points P1, P2, P3, and PS under different wave-pushing velocities is shown in Figure 9a. The figure indicates that the pressure distribution along the height direction under different wave-pushing velocities is similar to some extent. When the wave-pushing velocity increases, the pressure of P1, P2, P3, and PS increases.
The vertical pressure distribution of underwater measuring points P1, P2, P3, and PS under different water depths is shown in Figure 9b. Because of the different number of underwater measuring points under various water depths, the height of the measuring points is rendered dimensionless. The pressure distribution along the height direction under different water depths is similar to some extent in Figure 9a. When the water depth increases, the pressure of P1, P2, P3, and PS increases.
Regarding the pressure distribution of P1, P2, P3, and PS, the magnitude of vertical pressure basically presents the rule P1 > PS > P2 > P3. At the same position, the pressure of P1 is higher than that of PS, which may be because the pile group structure itself is more resistant to waves. Affected by the shielding effect, the pressure of measuring points at the same position of P2 and P3 decreases in turn.
In the previous section, the vertical pressure distribution at the 0° position was analyzed. Next, the vertical pressure distribution at different circumferential positions is discussed in Figure 10. The meaning of the legend is as follows: taking “P1-0°” as an example, it represents the measurement point at the circumferential position of 0° on the first pile in the tandem pile group. The arrangement of the piles and measuring points at circumferential positions is shown in Figure 3. The pressure distribution curves of P1, P2, P3, and PS at the same circumferential position are close to parallel. The vertical pressure distribution tendency of P1, P2, P3, and PS is similar to some extent. However, in different circumferential positions, there is no clear rule for the relative magnitude of pressure of P1, P2, P3, and PS. There is no structure on the front side of P1, and it cannot be affected by the shielding effect. So, the pressure of P1 is closer to that of PS at the positions of 0°, 30°, and 60° in Figure 10a–c. Similarly, the pressure values at positions 120°, 150°, and 180° for P3 are close to those of PS in Figure 10d–f.
To present the vertical pressure distribution more intuitively, all circumferential measuring point pressure at the same height is integrated. The principle of circumferential integration is as follows:
f A = f ( θ ) d s ,
where f ( θ ) represents the circumferential distribution of pressure at the same height. θ represents the angle between the outside normal direction of a differential element and the opposite direction of the incoming wave. Then, the time-varying curves of pressure after circumferential integration at 12 heights are obtained. The pressure at Tmax, derived from the time-varying curves of the underwater measuring points, is chosen for discussion. As shown in Figure 11, the vertical pressure distribution after circumferential integration of P1, P2, P3, and PS is similar to some extent. Under the same loading scenario, fA basically increases with measuring point height. When the wave-pushing velocity increases, the fA of P1, P2, P3, and PS increases. The fA of P1, P2, P3, and PS shows a negative correlation with water depth.
Taking the “45-40” loading scenario as an example, the influence of clear distance on the vertical pressure distribution after circumferential integration is discussed in Figure 12. The legend in Figure 12 represents the “pile number–clear distance” configuration, where the single pile does not have a clear distance. At the same clear distance, the trends in fA for P1, P2, and P3 as a function of height are similar. Comparing Figure 12a,b, the fA values of P1 and P2 under the clear distance of 2D are larger than those of D. The fA of P3 is not sensitive to the clear distance. Under a clear distance of D, the magnitude of fA basically presents the rule P3 > PS > P2 ≈ P1. Under the clear distance of 2D, the value of fA follows the pattern P3 > P2 ≈ P1 ≈ PS at most heights.

3.1.2. Circumferential Pressure Distribution

Similar to the vertical pressure distribution, the influence of different loading scenarios on the circumferential pressure distribution characteristics at Tmax is given priority. The circumferential pressure distribution curves at different heights are similar. We selected two representative heights to illustrate the distribution pattern of the circumferential pressure. The heights of 4# and 9# represent the underwater measuring points closest to the water surface at h = 25 and 45 cm, respectively. Figure 9 indicates that these two heights correspond to the underwater measuring points with the highest pressure at their respective water depth.
The legend in Figure 13 represents the “pile number–water depth(h)–wave-pushing velocity (Vuni)”. In terms of the overall trend in the pressure distribution, the circumferential pressure distribution of P1, P2, P3, and PS presents a “U” shape in Figure 13a. At the front (upstream) and the back (downstream) of the piles, where the wave direction is perpendicular to the surface, stagnation points are likely to form. The wave velocity decreases to nearly zero at these points, causing an increase in static pressure due to the conversion of kinetic energy into pressure energy. Therefore, the pressure magnitude is larger when the circumferential position is closer to 0° and 180°, and the maximum pressure is at the 0° position. Following the principles of Bernoulli’s theorem, as the flow accelerates around the piles, particularly at the sides (90°), the static pressure decreases because of an increase in dynamic pressure associated with the higher velocity of the flow as it moves around the pile. Therefore, the pressure gradually decreases as the circumferential position approaches 90°.
As shown in Figure 13a, when the wave-pushing velocity is constant and water depth increases, the pressure of P1, P2, P3, and PS increases. As shown in Figure 13b, the pressure of P1, P2, P3, and PS increases with the increase in the wave-pushing velocity. Regarding the differences among P1, P2, P3, and PS, the circumferential pressure distribution characteristics of P3 are closer to those of PS. At the position of 120°~180°, the pressure distribution differences between P3, PS and P1, P2 are more significant, and the differences increase with the increases in water depth or the wave-pushing velocity. This is because the structure on the back of P1 and P2 interferes with the flow field behind them. The change in the rear flow field is more intense with increases in water depth and the wave-pushing velocity.
Taking the “45-40” loading scenario and the 9# height as an example, the influence of clear distance on the circumferential pressure distribution is explored in Figure 14. The legend in Figure 14 represents the “pile number–clear distance” configuration. For the circumferential pressure distribution of P1 and P2, the pressure at the clear distance of D is basically greater than that at the clear distance of 2D. For the circumferential pressure distribution of P3, the pressure difference between the two clear distances is not obvious. Next, the circumferential pressure distributions of the two clear distances and different piles are compared. For P1, P2, and P3, the circumferential pressure distribution under the clear distance of 2D is closer to the pressure distribution of PS than the clear distance of D, and only singularity appears at the 150° position of P3.

3.2. Wave Positive Force

Based on the above vertical and circumferential pressure distribution, the wave positive forces of P1, P2, P3, and PS are further discussed. The pressure after circumferential integration is integrated along the vertical direction to obtain the wave positive force (Fx):
F x = f A ( H ) d H ,
where f A ( H ) represents the result of pressure after circumferential integration, obtained from Equation (1), which varies along the height of the pile. The direction of Fx defined here is consistent with the direction of wave-pushing. The time-varying curves of Fx are shown in Figure 15. The legend in Figure 15 represents the “pile number–clear distance” configuration. The time when the Fx of P1 reaches the peak is described as Tmax(P1). Under the same clear distance, there is a rule Tmax(P1) ˂ Tmax(P2) ˂ Tmax(P3). Taking the clear distance of 2D as an example, the peak times for P1, P2, and P3 are 2.192 s, 2.356 s, and 2.523 s, respectively. This pattern reflects the time difference in the arrival of the wave crest at P1, P2, and P3. The velocity of the water particles reaches its maximum at the wave crest, which affects the rapidity with which the wave impacts each successive pile. The phase difference in P1, P2, and P3 reaching Tmax under the clear distance of D is smaller than that under the clear distance of 2D. This is consistent with the actual model arrangement. The peak value of the wave positive force at Tmax (Fxmax) is discussed later.
In order to discuss the influence of clear distance and loading scenarios on Fxmax, the Fxmax values of P1, P2, and P3 are depicted in Figure 16. The legend denotes the “pile number–wave-pushing velocity (Vuni)–clear distance” configuration. As shown in Figure 16b,c, the Fxmax values of P2 and P3 at the clear distance of 2D are basically greater than those at the clear distance of D. As shown in Figure 16a, the influence of clear distance on Fxmax of P1 is not significant. This disparity can be attributed to the shielding effect observed when the clear distance is D. The proximity of adjacent piles does not allow the wave flow to develop its full velocity and pressure field, thereby mitigating the wave forces impacting each individual pile. In contrast, when the clear distance increases to 2D, each pile is surrounded by more space, resulting in a reduction in the shielding effect. Therefore, P2 and P3 endure higher wave forces at a clear distance of 2D. The wave motion to P1 is likely unimpeded by subsequent piles, indicating that the clear distance does not exhibit a clear pattern in influencing the wave forces on the first pile. The Fxmax values of P1, P2, and P3 increase with the increase of the wave-pushing velocity. When the clear distance is D, the relationship between the Fxmax of P1, P2, and P3 and water depth is not proportional. When the clear distance is 2D, the Fxmax of P3 increases with the increase of water depth, while the remaining two piles do not exhibit a clear pattern. For example, when the wave-pushing velocity is 40 cm/s and the clear distance is 2D, Fxmax values decrease with water depth, increasing from 25 cm to 35 cm in Figure 16b.
In order to compare the relationship between the Fxmax of each component pile and PS more intuitively, the wave positive force coefficient (Cf) is defined as the ratio of the Fxmax of each component pile to the Fxmax of PS, that is:
C f = F x m a x ( P i ) F x m a x ( P S )
The Cf turning curves of P1, P2, and P3 are drawn in Figure 17. When the clear distance is D, the Cf values of P1, P2, and P3 are all less than 1.0 under each loading scenario. This illustrates that the Fxmax of each component pile is less than that of PS. This phenomenon can likely be attributed to the shielding effect, where adjacent piles partially obstruct the flow and dissipate the energy of the waves, thereby diminishing the forces exerted on each pile. Under most loading scenarios, the magnitude of Cf presents the rule Cf(P3) > Cf(P1) > Cf(P2). As shown in Figure 17b, when the water depth is 25 cm, the Cf of P1, P2, and P3 is more than 1.0. When the water depth is 35 cm and 45 cm, the Cf of P1 is less than 1.0. This phenomenon can be explained by the decreased shielding effect due to the increased clear distance. However, the degree to which this shielding effect reduces wave forces can be influenced by water depth. For instance, at a water depth of 25 cm, the shielding effect is less pronounced. Under most loading scenarios, the magnitude of Cf presents the rule Cf(P3) > Cf(P2) > Cf(P1).

4. Discussion

The study significantly advances the field of wave-induced pressure on tandem pile groups by addressing a critical research gap. The existing studies on wave-induced pressure distributions are not only sparse but have largely been confined to the effects of linear regular waves on a single pile. The experimental design and execution presented in this study are among the first to quantify the pressure distribution characteristics on tandem pile groups subjected to extreme waves, thereby extending the current understanding considerably beyond the limited scope of the existing literature. Given the absence of literature specifically addressing pressure distribution on tandem pile groups, we chose to discuss the single pile pressure distribution data presented by researchers such as Vested and Vigsø as a foundational comparison for our analysis.
Vested et al. [18] investigated the pressure distribution on a single pile under the influence of linear regular waves. Their results indicated that the peak pressure moments varied across different segments of the pile. So, we select several phases within the peak interval for comparison with our single pile experiments conducted under maximum velocity conditions. As shown in Figure 18a, the vertical pressure distribution is normalized to the lowest measuring point pressure values.
The comparative analysis reveals that the correlation in Vested’s results is more linear, demonstrating a clear increase in pressure with height. This linear trend likely stems from the uniform characteristics of the linear regular waves generated in their experiments. In contrast, the waves generated in our study exhibit strong nonlinearity, leading to variations in pressure at certain points along the pile.
In the study conducted by Vigsø et al. [20], pressure sensors were placed around a single pile at 45° intervals, focusing on specific elevations such as z/d = 0.43 and 0.71, where z represents the sensor elevation and d denotes the water depth. To facilitate comparative analysis, we align our experimental conditions closely with “z/d” metrics. For instance, the scenario “2#-25-40” in our setup, indicating a water depth of 25 cm and a wave-pushing velocity of 40 cm/s at the 2# height, corresponds to a z/h ratio of 0.44, close to Vigsø’s conditions. The choice of 40 cm/s for wave-pushing velocity is intentional as it captured peak pressure values, encompassing the range observed in other scenarios. Additionally, the radial axis units are normalized, with each angle’s pressure value standardized relative to the pressure at the 0° position, as illustrated in Figure 14b.
The results reveal consistent circumferential pressure distributions on the front side of the single pile between the two experiments. Specifically, the maximum pressure occur at the 0° measurement point, directly facing the incoming wave direction. This indicates that the part of the structure directly facing the wave action experiences the highest pressure. Conversely, notable discrepancies are observed on the rear side of the pile between the two experiments. Vigsø’s experiment require the measurement of pile vibrations, and their pile model was constructed from identical 200 mm sections, making their experimental pile more flexible. This flexibility is evident as the restoring pressure on the rear side of the pile increased near the surface, whereas the driving pressure remain nearly unchanged. In contrast, our experimental pile is rigidly fixed at the base of the flume, exhibiting negligible restoring pressure.

5. Conclusions

We carried out a wave flume experiment of extreme waves on tandem pile groups. The pressure distribution characteristics and wave positive force of P1, P2, and P3 were studied. The results of each component pile were compared with that of PS. The influence of water depth, wave-pushing velocity, and clear distance were considered. The research results are as follows:
(1)
For both pressure and wave positive force, the time-history curves of P1, P2, P3, and PS are consistent in the overall trend, which is mainly divided into an ascending section and a descending section. At the same circumferential position, the time (Tmax) when the measuring points at different heights reach peak pressure is basically the same.
(2)
The overall trend in the vertical and circumferential pressure distributions of P1, P2, P3, and PS is consistent. Under the same circumferential position, the pressure values of the underwater measuring points basically increase with the measuring point height. Under the same measuring point height, the circumferential pressure distribution presents a “U” shape. The pressure magnitude is larger when the circumferential position is closer to 0° and 180° and smaller when the circumferential position is closer to 90°. These patterns are similar to the static pressure component described in Bernoulli’s theorem.
(3)
The measuring point pressure and pressure after the circumferential integration increase with the increase in the wave-pushing velocity. The measuring point pressure increases with the increase in water depth and pressure after the circumferential integration decreases with the increase in water depth. Both the measuring point pressure and pressure after the circumferential integration of P1 and P2 are basically greater at the clear distance of D than that at the clear distance of 2D.
(4)
The Fxmax values of P1, P2, P3, and PS are positively correlated with wave-pushing velocity under different clear distances. The Fxmax values are positively correlated with water depth under the clear distance of D. When the clear distance is D, Cf values of P1, P2, and P3 are less than 1.0 under each loading scenario except for the “40-30” scenario.

Author Contributions

Conceptualization, W.H. and X.Y.; software, X.X.; validation, X.X.; formal analysis, X.Y. and X.C.; investigation, X.Y. and X.C.; resources, J.W.; data curation, X.C. and X.X.; writing—original draft preparation, W.H. and X.Y.; writing—review and editing, J.W. and X.X.; supervision, J.W.; funding acquisition, W.H. and J.W. All authors have read and agreed to the published version of the manuscript.

Funding

This research was funded by financial support from the National Key Research and Development Program of China (grant number 2021YFB1600300) and the Natural Science Foundation of Shaanxi Province (CN) (grant number 2024JC-YBMS-391).

Institutional Review Board Statement

Not applicable.

Informed Consent Statement

Not applicable.

Data Availability Statement

The reader can request all the related data from the corresponding author (jwang@chd.edu.cn).

Conflicts of Interest

The authors declare no conflicts of interest.

References

  1. Yang, W.; Dou, Y.; Yang, S.-Q.; Geng, X.; Hou, H.; Zhang, Y. Experimental study on failure mode and failure mechanism of multi-box girder bridge under attack of tsunami. Ocean Eng. 2023, 280, 114717. [Google Scholar] [CrossRef]
  2. Unjoh, S. Tsunami damage to bridge structures in rikuzen-takada city and the emergency road network recovery actions. In Proceedings of the International Symposium on Engineering Lessons Learned from the 2011 Great East Japan Earthquake, Tokyo, Japan, 11 March 2012. [Google Scholar]
  3. Morison, J.; Johnson, J.; Schaaf, S. The Force Exerted by surface waves on piles. J. Pet. Technol. 1950, 2, 149–154. [Google Scholar] [CrossRef]
  4. Li, Y.; Kang, H.; Fei, Q. Wave Forces on Inclined Cylinder in Regular Waves. J. Hydrodyn 1992, 7, 85–100. [Google Scholar]
  5. Li, Y.; He, M. Inline wave forces of a small-scale square cylinder. Haiyang Xuebao 1996, 18, 107–120. [Google Scholar]
  6. Li, Y.; Zhang, C. Force of Cylinder in Coexisting Field of Regular Waves and Currents. J. Hydrodyn 1990, 5, 58–68. [Google Scholar]
  7. Li, Y.; Ye, Z. The inline and transverse force acting on the cylinder by irregular waves and currents. Haiyang Xuebao 1991, 13, 849–859. [Google Scholar]
  8. Raed, K.; Guedes Soares, C. Variability effect of the drag and inertia coefficients on the Morison wave forces acting on a fixed vertical cylinder in irregular waves. Ocean Eng. 2018, 159, 66–75. [Google Scholar] [CrossRef]
  9. Sarpkaya, T.; Isaacson, M.; Wehausen, J. Mechanics of wave forces on offshore structures. J. Appl. Mech. 1982, 49, 651–652. [Google Scholar] [CrossRef]
  10. Sarpkaya, T. In-Line and Transverse Forces on Cylinders in Oscillatory Flow at High Reynolds Numbers. J. Ship Res. 1977, 21, 200–216. [Google Scholar] [CrossRef]
  11. Sarpkaya, T. Forces on Cylinders Near a Plane Boundary in a Sinusoidally Oscillating Fluid. J. Fluids Eng. 1976, 98, 499–503. [Google Scholar] [CrossRef]
  12. Li, Y. Effect of Wave-Current Interaction on the Wave Parameter. Dalian Ligong Daxue Xuebao 1982, 21, 81–91. [Google Scholar]
  13. Li, Y.; Zhang, F. Wave-Current Forces of vertical pile. Haiyang Xuebao 1986, 8, 751–761. [Google Scholar]
  14. Xu, M.; Li, Y. The wave flow force acting on a horizontal pile. Haiyang Xuebao 1988, 10, 107–116. [Google Scholar]
  15. Bonakdar, L.; Oumeraci, H.; Etemad-Shahidi, A. Run-up on vertical piles due to regular waves: Small-scale model tests and prediction formulae. Coast. Eng. 2016, 118, 1–11. [Google Scholar] [CrossRef]
  16. Bonakdar, L.; Oumeraci, H.; Etemad-Shahidi, A. Wave load formulae for prediction of wave-induced forces on a slender pile within pile groups. Coast. Eng. 2015, 102, 49–68. [Google Scholar] [CrossRef]
  17. Xu, X.; Wang, J.; Han, W.; Xiao, L.; Li, Z.; Chen, H. Experimental study of dynamic pressure and wave load on variform vertical cylinders under extreme waves. Ocean Eng. 2024, 305, 117934. [Google Scholar] [CrossRef]
  18. Vested, M.H.; Carstensen, S.; Christensen, E.D. Experimental Study of Wave Force Distribution on A Monopile Structure. In Proceedings of the ASME 2018 37th International Conference on Ocean, Madrid, Spain, 17–22 June 2018. [Google Scholar]
  19. Vested, M.H.; Carstensen, S.; Christensen, E.D. Experimental study of wave kinematics and wave load distribution on a vertical circular cylinder. Coast. Eng. 2020, 157, 103660. [Google Scholar] [CrossRef]
  20. Vigsø, M.; Georgakis, C. Predicting wave load distributions using indirect methods. Ocean Eng. 2020, 214, 107682. [Google Scholar] [CrossRef]
  21. Vigsø, M.; Brincker, R.; Georgakis, C. Identifying Wave Loads During Random Seas Using Structural Response. In Proceedings of the 29th International Ocean and Polar Engineering Conference, Honolulu, HI, USA, 16–21 June 2019. [Google Scholar]
  22. Subrata, K.C. Inline and transverse forces on a tube array in tandem with waves. Appl. Ocean Res. 1982, 4, 25–32. [Google Scholar]
  23. Gao, M.; Han, L.; Sun, S. Experimental Research for Wave forces of Group Piles under the Action of Regular Waves. Dalian Ligong Daxue Xuebao 1987, 28, 137–140. [Google Scholar]
  24. Yu, Y.; Zhang, N. lrregular Wave Forces on Array of Bi-Pile. Dalian Ligong Daxue Xuebao 1988, 27, 103–112. [Google Scholar]
  25. Li, Y.; Wang, F. Wave-Current Forces on Bipiles in Tandem Array. J. Hydrodyn 1992, 7, 141–149. [Google Scholar]
  26. Li, Y.; Wang, F.; Wang, H. Wave-Current Force on Bipiles in Side by Side Array. Acta Oceanolog. Sin. 1992, 14, 106–121. [Google Scholar]
  27. Zhang, N.; Yu, Y. The Hydrodynamic Characteristics and pile Grouping Effect of Transverse Forces on an Array of Three-piles in Random Wave. J. Hydrodyn 1996, 11, 385–393. [Google Scholar]
  28. Sparboom, U.; Hildebrandt, A.; Oumeraci, H. Group Interaction Effects of Slender Cylinders under Wave Attack. In Proceedings of the 30th International Conference on Coastal Engineering, San Diego, CA, USA, 3–8 September 2006. [Google Scholar]
  29. Sparboom, U.; Oumeraci, H. Wave Loads of Slender Marine Cylinders Depending on Interaction Effects of Adjacent Cylinders. In Proceedings of the 25th International Conference on Offshore Mechanics and Arctic Engineering, Hamburg, Germany, 4–9 June 2006. [Google Scholar]
  30. Liu, J.; Xiao, L.; Yang, L.; Li, J.; Kou, Y. Benchmark experimental study on wave run-ups of fixed four-rounded-square-column array in regular waves. J. Ocean. Eng. Sci. 2021, 7, 419–430. [Google Scholar] [CrossRef]
  31. Bonakdar, L.; Oumeraci, H. Pile group effect on the wave loading of a slender pile: A summary of laboratory investigations. In Proceedings of the Pfahl-Symposiums, Braunschweig, Germany, 19–20 February 2015. [Google Scholar]
  32. Bonakdar, L.; Oumeraci, H. Pile group effect on the wave loading of a slender pile: A small-scale model study. Ocean Eng. 2015, 108, 449–461. [Google Scholar] [CrossRef]
  33. Zhang, H.C.; Liu, S.X.; Li, J.X. Multi-directional irregular wave forces acting on a tandem pile group. Appl. Ocean Res. 2023, 135, 103542. [Google Scholar] [CrossRef]
  34. Zhang, H.; Liu, S.; Li, J.; Fan, Y. Experimental study on short-crested random wave interaction with pile group in double-row side-by-side arrangement: A statistical analysis. Coast. Eng. J. 2020, 62, 236–251. [Google Scholar] [CrossRef]
  35. Zhang, H.; Liu, S.; Li, J.; Zhang, R.; Hao, J. Interactions between multi-directional irregular waves and a pile group in a side-by-side arrangement: Statistical analysis. Coast. Eng. 2019, 147, 115–134. [Google Scholar] [CrossRef]
  36. Fernández, H.; Sriram, V.; Schimmels, S.; Oumeraci, H. Extreme wave generation using self correcting method—Revisited. Coast. Eng. 2014, 93, 15–31. [Google Scholar] [CrossRef]
  37. Tai, B.; Ma, Y.X.; Niu, X.Y.; Dong, G.H.; Perlin, M. Experimental investigation of impact forces induced by plunging breakers on a vertical cylinder. Ocean Eng. 2019, 189, 106362. [Google Scholar] [CrossRef]
  38. Bing, T.; Yuxiang, M.; Siyu, Y.; Huaqing, Z.; Songgui, C.; Guohai, D. Experimental investigation of breaking waves impacting a vertical pile in a large model scale. Haiyang Xuebao 2021, 43, 97–105. [Google Scholar]
  39. Xu, B.; Wei, K.; Qin, S.Q.; Hong, J. Experimental study of wave loads on elevated pile cap of pile group foundation for sea-crossing bridges. Ocean Eng. 2020, 197, 106896. [Google Scholar] [CrossRef]
  40. Watanabe, M.; Arikawa, T. Elucidation of wave pressure acting on a wave-cut notch beneath a coastal cliff based on laboratory experiments and numerical modeling. Ocean Eng. 2023, 270, 113656. [Google Scholar] [CrossRef]
Figure 1. Experimental flume arrangement.
Figure 1. Experimental flume arrangement.
Jmse 12 01674 g001
Figure 2. Schematic diagram of wave flume.
Figure 2. Schematic diagram of wave flume.
Jmse 12 01674 g002
Figure 3. Model and pressure measuring point arrangement: (a) model arrangement and (b) measuring point arrangement and model dimensions.
Figure 3. Model and pressure measuring point arrangement: (a) model arrangement and (b) measuring point arrangement and model dimensions.
Jmse 12 01674 g003
Figure 4. Three motion processes of the wave-pushing plate.
Figure 4. Three motion processes of the wave-pushing plate.
Jmse 12 01674 g004
Figure 5. Repeatability verification of experimental data. (a) Water surface elevation repeatability verification. (b) Wave pressure repeatability verification.
Figure 5. Repeatability verification of experimental data. (a) Water surface elevation repeatability verification. (b) Wave pressure repeatability verification.
Jmse 12 01674 g005
Figure 6. Dimensions of the numerical wave flume. (a) Initial flume. (b) Extended flume.
Figure 6. Dimensions of the numerical wave flume. (a) Initial flume. (b) Extended flume.
Jmse 12 01674 g006
Figure 7. ANSYS Fluent simulation result validation and comparison. (a) Water surface elevation comparison of ANSYS Fluent and experiment. (b) Water surface elevation comparison of the initial flume and the extended flume.
Figure 7. ANSYS Fluent simulation result validation and comparison. (a) Water surface elevation comparison of ANSYS Fluent and experiment. (b) Water surface elevation comparison of the initial flume and the extended flume.
Jmse 12 01674 g007
Figure 8. Time-varying curves of pressure at the 0° position of P1, P2, P3, and PS under the “45-40” loading scenario. (a) P1; (b) P2; (c) P3; and (d) PS.
Figure 8. Time-varying curves of pressure at the 0° position of P1, P2, P3, and PS under the “45-40” loading scenario. (a) P1; (b) P2; (c) P3; and (d) PS.
Jmse 12 01674 g008
Figure 9. Pressure distribution of the vertical measuring points at the 0° position under various loading scenarios. (a) h = 45 cm and Vuni = 40/30/20 cm/s. (b) h = 45/35/25 cm and Vuni = 40 cm/s.
Figure 9. Pressure distribution of the vertical measuring points at the 0° position under various loading scenarios. (a) h = 45 cm and Vuni = 40/30/20 cm/s. (b) h = 45/35/25 cm and Vuni = 40 cm/s.
Jmse 12 01674 g009
Figure 10. Vertical pressure distribution at each circumferential position of P1, P2, P3, and PS under “45-40” (a) 0°; (b) 30°; (c) 60°; (d) 120°; (e) 150°; and (f) 180°.
Figure 10. Vertical pressure distribution at each circumferential position of P1, P2, P3, and PS under “45-40” (a) 0°; (b) 30°; (c) 60°; (d) 120°; (e) 150°; and (f) 180°.
Jmse 12 01674 g010
Figure 11. Vertical pressure distribution after circumferential integration of P1, P2, P3, and PS under various loading scenarios. (a) P1; (b) P2; (c) P3; and (d) PS.
Figure 11. Vertical pressure distribution after circumferential integration of P1, P2, P3, and PS under various loading scenarios. (a) P1; (b) P2; (c) P3; and (d) PS.
Jmse 12 01674 g011
Figure 12. Vertical pressure distribution after the circumferential integration of different clear distances under the “45-40” scenario. (a) Clear distance = D. (b) Clear distance = 2D.
Figure 12. Vertical pressure distribution after the circumferential integration of different clear distances under the “45-40” scenario. (a) Clear distance = D. (b) Clear distance = 2D.
Jmse 12 01674 g012
Figure 13. Pressure distribution of circumferential measuring points at the 4# and 9# heights under various loading scenarios. (a) h = 45/35/25 cm and Vuni = 40 cm/s. (b) h = 45 cm and Vuni = 40/30/20 cm/s.
Figure 13. Pressure distribution of circumferential measuring points at the 4# and 9# heights under various loading scenarios. (a) h = 45/35/25 cm and Vuni = 40 cm/s. (b) h = 45 cm and Vuni = 40/30/20 cm/s.
Jmse 12 01674 g013
Figure 14. Pressure distribution of circumferential measuring points at the 9# height under the “45-40” loading scenario. (a) Comparison between P1 and PS. (b) Comparison between P2 and PS. (c) Comparison between P3 and PS.
Figure 14. Pressure distribution of circumferential measuring points at the 9# height under the “45-40” loading scenario. (a) Comparison between P1 and PS. (b) Comparison between P2 and PS. (c) Comparison between P3 and PS.
Jmse 12 01674 g014
Figure 15. Time-varying curves of the wave positive force (Fx) under the “45-40” loading scenario.
Figure 15. Time-varying curves of the wave positive force (Fx) under the “45-40” loading scenario.
Jmse 12 01674 g015
Figure 16. The Fxmax of P1, P2, and P3 under different loading scenarios and clear distances. (a) P1; (b) P2; and (c) P3.
Figure 16. The Fxmax of P1, P2, and P3 under different loading scenarios and clear distances. (a) P1; (b) P2; and (c) P3.
Jmse 12 01674 g016
Figure 17. The Cf of P1, P2, and P3 under different clear distances and loading scenarios. (a) Clear distance = D. (b) Clear distance = 2D.
Figure 17. The Cf of P1, P2, and P3 under different clear distances and loading scenarios. (a) Clear distance = D. (b) Clear distance = 2D.
Jmse 12 01674 g017
Figure 18. Comparison of the circumferential and vertical pressure distributions. (a) Comparison of vertical pressure distribution. (b) Comparison of circumferential pressure distribution.
Figure 18. Comparison of the circumferential and vertical pressure distributions. (a) Comparison of vertical pressure distribution. (b) Comparison of circumferential pressure distribution.
Jmse 12 01674 g018
Table 1. Experimental loading scenarios.
Table 1. Experimental loading scenarios.
Clear Distanceh (cm)Vuni (cm/s)a (cm)εc (cm/s)
D, 2D25203.000.12154.32
305.520.22164.47
408.030.32173.61
35203.780.11178.57
306.580.19189.39
409.410.27201.61
45204.550.10186.56
307.590.17192.31
4010.590.23211.86
Table 2. Water surface elevation peak data error.
Table 2. Water surface elevation peak data error.
TermsWG1WG2WG3WG4
First measurement (mm)94.35100.6199.88105.94
Second measurement (mm)94.1699.73100.71107.25
Error (%)0.210.880.831.22
Table 3. Pressure peak data error.
Table 3. Pressure peak data error.
Terms180°
First measurement (Pa)907.9860.6
Second measurement (Pa)954.5895.9
Error (%)5.134.10
Disclaimer/Publisher’s Note: The statements, opinions and data contained in all publications are solely those of the individual author(s) and contributor(s) and not of MDPI and/or the editor(s). MDPI and/or the editor(s) disclaim responsibility for any injury to people or property resulting from any ideas, methods, instructions or products referred to in the content.

Share and Cite

MDPI and ACS Style

Han, W.; Yu, X.; Wang, J.; Xu, X.; Chen, X. Extreme Wave-Induced Pressure Distribution and Wave Forces on Tandem Pile Groups: An Experimental Study. J. Mar. Sci. Eng. 2024, 12, 1674. https://doi.org/10.3390/jmse12091674

AMA Style

Han W, Yu X, Wang J, Xu X, Chen X. Extreme Wave-Induced Pressure Distribution and Wave Forces on Tandem Pile Groups: An Experimental Study. Journal of Marine Science and Engineering. 2024; 12(9):1674. https://doi.org/10.3390/jmse12091674

Chicago/Turabian Style

Han, Wanshui, Xi Yu, Jiajia Wang, Xin Xu, and Xiaokun Chen. 2024. "Extreme Wave-Induced Pressure Distribution and Wave Forces on Tandem Pile Groups: An Experimental Study" Journal of Marine Science and Engineering 12, no. 9: 1674. https://doi.org/10.3390/jmse12091674

APA Style

Han, W., Yu, X., Wang, J., Xu, X., & Chen, X. (2024). Extreme Wave-Induced Pressure Distribution and Wave Forces on Tandem Pile Groups: An Experimental Study. Journal of Marine Science and Engineering, 12(9), 1674. https://doi.org/10.3390/jmse12091674

Note that from the first issue of 2016, this journal uses article numbers instead of page numbers. See further details here.

Article Metrics

Back to TopTop