Evolutionary Game Strategy Research on PSC Inspection Based on Knowledge Graphs
Abstract
1. Introduction
2. Methods
2.1. PSC Inspection Knowledge Graph Construction
2.1.1. Schema Layer Construction
- Defining the Scope of the Conceptual Framework: This includes identifying the primary entities involved in PSC inspections, such as inspection types, criteria, and outcomes.
- Establishing the Hierarchical Structure of PSC Inspection Entities: This step involves organizing the entities into a hierarchical structure, including three main categories—inspection scenarios, inspection procedures, and inspection activities—and their respective subclasses.
- Defining Relationships between PSC Inspection Entities: Relationships are categorized into object properties and data properties. Object properties describe the relationships between classes, such as “inspects,” “belongs to,” and “identifies.” Data properties describe internal attributes of classes and are constructed following the attribute columns in Table 1.
- Incorporating Logical Rules and Constraints: Logical rules and constraints followed during the PSC inspection process are integrated to ensure that the ontology accurately reflects the actual procedures and regulatory requirements of PSC inspection.
- Ontology Modeling with Protégé: Finally, the ontology is modeled using the open-source tool Protégé. The resulting PSC inspection ontology model provides a structured representation of entities, relationships, and attributes within the domain of PSC inspection (Figure 3).
2.1.2. Data Layer Construction
2.1.3. Knowledge Integration
2.2. Knowledge Graph-Based Construction of the PSC Inspection Evolutionary Game Model
2.2.1. Evolutionary Game Model Construction
2.2.2. Knowledge Graph Subgraph Extraction
2.2.3. Evolutionary Game Payoff Function
3. Results
3.1. Results of Knowledge Graph Construction
3.1.1. Entity Identification Results
3.1.2. Knowledge Integration and Storage Results
3.2. Knowledge Graph-Based Simulation of the PSC Inspection Evolutionary Game
3.2.1. Numerical Simulation of the Evolutionary Game
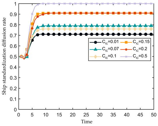
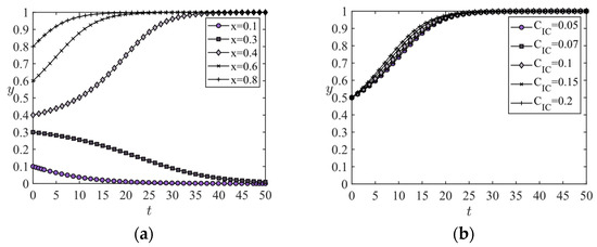
3.2.2. Simulation Experiment Results
4. Discussion
5. Conclusions
Author Contributions
Funding
Institutional Review Board Statement
Informed Consent Statement
Data Availability Statement
Conflicts of Interest
References
- Chuah, L.F.; Mokhtar, K.; Anuar, A.B.; Othman, M.R.; Osman, N.H.; Bokhari, A.; Mubashir, M.; Abdullah, M.A.; Hasan, M. Marine environment and maritime safety assessment using Port State Control database. Chemosphere 2022, 304, 135245. [Google Scholar] [PubMed]
- Knapp, S.; Heij, C. Improved Strategies for the Maritime Industry to Target Vessels for Inspection and to Select Inspection Priority Areas. Safety 2020, 6, 18. [Google Scholar] [CrossRef]
- Yang, Z.; Yang, Z.; Teixeira, A.P. Comparative analysis of the impact of new inspection regime on port state control inspection. Transp. Policy 2020, 92, 65–80. [Google Scholar]
- Fu, J.; Chen, X.; Wu, S.; Shi, C.; Wu, H.; Zhao, J.; Xiong, P. Mining ship deficiency correlations from historical port state control (PSC) inspection data. PLoS ONE 2020, 15, e0229211. [Google Scholar]
- Tsou, M.C. Big data analysis of port state control ship detention database. J. Mar. Eng. Technol. 2019, 18, 113–121. [Google Scholar]
- Cuong, T.N.; Long, L.N.B.; Kim, H.S.; You, S.S. Data analytics and throughput forecasting in port management systems against disruptions: A case study of Busan Port. Marit. Econ. Logist. 2023, 25, 61–89. [Google Scholar]
- Xiao, Y.; Wang, G.; Ge, Y.-E.; Xu, Q.; Li, K.X. Game model for a new inspection regime of port state control under different reward and punishment conditions. Transp. Res. Part E 2021, 156, 102526. [Google Scholar]
- Yu, Q.; Teixeira, A.P.; Liu, K.; Rong, H.; Soares, C.G. An integrated dynamic ship risk model based on Bayesian Networks and Evidential Reasoning. Reliab. Eng. Syst. Saf. 2021, 216, 107993. [Google Scholar]
- Titz, M.A. Port state control versus marine environmental pollution. Marit. Policy Manag. 1989, 16, 189–211. [Google Scholar]
- Yang, Z.; Yang, Z.; Yin, J.; Qu, Z. A risk-based game model for rational inspections in port state control. Transp. Res. Part E 2018, 118, 477–495. [Google Scholar]
- Yan, R.; Wang, S.; Cao, J.; Sun, D. Shipping Domain Knowledge Informed Prediction and Optimization in Port State Control. Transp. Res. Part B-Methodol. 2021, 149, 52–78. [Google Scholar]
- Cuong, T.N.; Kim, H.S.; Long, L.N.B.; You, S.S. Seaport profit analysis and efficient management strategies under stochastic disruptions. Marit. Econ. Logist. 2024, 26, 212–240. [Google Scholar]
- Ji, S.; Pan, S.; Cambria, E.; Marttinen, P.; Yu, P.S. A Survey on Knowledge Graphs: Representation, Acquisition, and Applications. IEEE Trans. Neural Netw. Learn. Syst. 2022, 33, 494–514. [Google Scholar]
- Zhong, S.; Wen, Y.; Huang, Y.; Cheng, X.; Huang, L. Ontological Ship Behavior Modeling Based on COLREGs for Knowledge Reasoning. J. Mar. Sci. Eng. 2022, 10, 203. [Google Scholar] [CrossRef]
- Liu, S.; Wang, F. Knowledge Graph of Maritime Collision Avoidance Rules in Chinese. In Proceedings of the 11th International Conference on Intelligent Human-Machine Systems and Cybernetics (IHMSC), Hangzhou, China, 24–25 August 2019; IEEE Press: Piscataway, NJ, USA, 2019; pp. 169–172. [Google Scholar]
- Del Mondo, G.; Peng, P.; Gensel, J.; Claramunt, C.; Lu, F. Leveraging Spatio-Temporal Graphs and Knowledge Graphs: Perspectives in the Field of Maritime Transportation. Isprs Int. J. Geo-Inf. 2021, 10, 541. [Google Scholar] [CrossRef]
- Wang, M.; Li, Y.; Zhang, B.; Wang, Z.; Cai, W. Study on construction of safety management knowledge graph for road transport of dangerous goods. J. Saf. Environ. 2022, 22, 3197–3207. [Google Scholar]
- Wen, Y.; Zhang, Q.; Xiao, C.; Dong, H. Construction of Knowledge Graph for Dangerous Goods in Waterway Transport. Navig. China 2019, 42, 1–6. [Google Scholar]
- Zhang, Q.; Wen, Y.; Zhou, C.; Long, H.; Han, D.; Zhang, F.; Xiao, C. Construction of Knowledge Graphs for Maritime Dangerous Goods. Sustainability 2019, 11, 2849. [Google Scholar] [CrossRef]
- Xu, X.; Hou, Y.; Zhao, C.; Shi, L.; Gong, Y. Research on cooperation mechanism of marine plastic waste management based on complex network evolutionary game. Mar. Policy 2021, 134, 104774. [Google Scholar]
- Zhao, C.; Hou, Y.; Liu, M.; Gong, Y.; Wang, J. Research on the cooperative network game model of marine plastic waste management. Mar. Policy 2023, 149, 105504. [Google Scholar]
- Jiang, J.; Ma, Z.; Lin, L.; Yuan, Y.; Fu, X. Analysis of the evolutionary game between maritime regulators and carriers under the discharge of ballast nuclear wastewater from ships. Ocean Coast. Manag. 2023, 238, 106558. [Google Scholar]
- Li, Q.; Zhang, Z.; Chen, Z.; Chen, L.; Zhang, J.; Chen, K.; Wang, Y.; Gao, Y. Evolutionary dynamics of competition among ports in networks. Mod. Phys. Lett. B 2020, 34, 2050248. [Google Scholar]
- Huangfu, Y.Z. Simulation Research on Complex Network Evolution Game of Crude Oil Transportation; Dalian Maritime University: Dalian, China, 2019. [Google Scholar]
- Cuong, T.N.; Xu, X.; Kim, H.S.; Nguyen, D.A.; You, S.S. Container port throughput analysis and active management using control theory. Proc. Inst. Mech. Eng. Part M J. Eng. Marit. Environ. 2022, 236, 185–195. [Google Scholar]
- Cuong, T.N.; Kim, H.S.; You, S.S.; Nguyen, D.A. Seaport throughput forecasting and post COVID-19 recovery policy by using effective decision-making strategy: A case study of Vietnam ports. Comput. Ind. Eng. 2022, 168, 108102. [Google Scholar]
- Rawson, A.; Brito, M. A survey of the opportunities and challenges of supervised machine learning in maritime risk analysis. Transp. Rev. 2022, 43, 108–130. [Google Scholar]
- Ataeva, O.M.; Serebryakov, V.A.; Tuchkova, N.P. Ontological Approach to a Knowledge Graph Construction in a Semantic Library. Lobachevskii J. Math. 2023, 44, 2229–2239. [Google Scholar]
- Huang, Z.; Xu, W.; Yu, K. Bidirectional LSTM-CRF models for sequence tagging. arXiv 2015, arXiv:1508.01. [Google Scholar]
- Cui, Y.; Che, W.; Liu, T.; Qin, B.; Yang, Z. Pre-training with whole word masking for Chinese BERT. IEEE-ACM Trans. Audio Speech Lang. Process. 2021, 29, 3504–3514. [Google Scholar]
- Ethyarajh, K. Unsupervised random walk sentence embeddings: A strong but simple baseline. In Proceedings of the Third Workshop on Representation Learning for NLP, Association for Computational Linguistics, Melbourne, Australia, 20 July 2018; pp. 91–100. [Google Scholar]
- Shan, S.; Ni, H.; Chen, G.; Lin, X.; Li, J. A Machine Learning Framework for Enhancing Short-Term Water Demand Forecasting Using Attention-BiLSTM Networks Integrated with XGBoost Residual Correction. Water 2023, 15, 3605. [Google Scholar] [CrossRef]
- Qin, X.; Han, X.; Chu, J.; Zhang, Y.; Xu, X.; Xie, J.; Xie, G. Density Peaks Clustering Based on Jaccard Similarity and Label Propagation. Cogn. Comput. 2021, 13, 1609–1626. [Google Scholar]
- Cahyono, S.C. Comparison of document similarity measurements in scientific writing using Jaro-Winkler Distance method and Paragraph Vector method. IOP Conf. Ser. Mater. Sci. Eng. 2019, 662, 052016. [Google Scholar]
- Wang, L.; Ma, Q.; Yang, J.; Zheng, J. Research on The Influence of Green Consumers on The Diffusion of New Energy Vehicles Based on complex Network Evolutionary Game. Chin. J. Manag. Sci. 2022, 30, 74–85. [Google Scholar]
- Gao, Y.; Zhang, L.; Wang, C.; Zheng, X.; Wang, Q. An Evolutionary Game-Theoretic Approach to Unmanned Aerial Vehicle Network Target Assignment in Three-Dimensional Scenarios. Mathematics 2023, 11, 4196. [Google Scholar] [CrossRef]
- Wang, W.; Shi, S.; Fu, X. The subnetwork investigation of scale-free networks based on the self-similarity. Chaos Solitons Fractals 2022, 161, 112140. [Google Scholar]
- Hasić, F.; Corea, C.; Blatt, J.; Delfmann, P.; Serral, E. Decision model change patterns for dynamic system evolution. Knowl. Inf. Syst. 2020, 62, 3665–3696. [Google Scholar]
- Yan, R.; Zhuge, D.; Wang, S. Development of Two Highly-Efficient and Innovative Inspection Schemes for PSC Inspection. Asia-Pac. J. Oper. Res. 2021, 38, 2040013. [Google Scholar]
- Chen, J.; Liu, X.; Zhou, S.; Kang, J. Knowledge mapping analysis of resilient shipping network using CiteSpace. Ocean Coast. Manag. 2023, 244, 106775. [Google Scholar]



















| Parent Class | Primary Subclass | Secondary Subclass | Properties |
|---|---|---|---|
| Inspection scenarios | Vessel types | High-risk vessels | Call sign, port of registry, MMSI number and master, etc. |
| Ordinary vessels | |||
| Inspection agency | Maritime Administration | Address, telephone number, postcode, etc. | |
| Marine Department | |||
| Personnel organization | Inspector | Law enforcement certificate number, work unit | |
| Shipowner | Telephone, email address, legal person, etc. | ||
| Inspection procedures & Inspection projects | Laws and regulations | Legal conventions | Provisions, scope of application |
| Administrative regulations | |||
| Local regulations | |||
| Departmental regulations | |||
| Major defects | Handling recommendations | ||
| Vessels | Self-inspection | Inspection points | |
| Certification instruments | |||
| Crewing requirements | |||
| Freight and passenger carriage | |||
| Inspection activities | Disposal decisions | Decision description | |
| Defects | — | ||
| Vessel 2 | |||
| Positively safeguard standardization | Negatively safeguard standardization | ||
| Vessel 1 | Positively safeguard standardization | ||
| Negatively safeguard standardization | |||
| Entity Category | P/% | R/% | F1 /% | Quantities |
|---|---|---|---|---|
| Exterior condition | 80.00 | 100 | 88.89 | 93 |
| Self-inspection | 87.50 | 77.78 | 82.35 | 23 |
| Certification instruments | 72.73 | 86.49 | 79.01 | 252 |
| Crewing requirements | 69.57 | 80.00 | 74.42 | 151 |
| Antipollution | 84.62 | 84.62 | 84.62 | 70 |
| Navigation, berthing, operations | 72.22 | 65.00 | 68.42 | 152 |
| Entering and exiting port | 83.33 | 83.33 | 83.33 | 13 |
| Tax payments | 88.89 | 88.89 | 88.89 | 9 |
| Knowledge Integration Tasks | Entities/Relationships | Prefusion | Postfusion |
|---|---|---|---|
| Entity attribute completion | “Ship” entities | 348 | 116 |
| “Inspectorate” entities | 352 | 234 | |
| “Personnel organization” entities | 1534 | 1051 | |
| Entity association alignment | “Associative” relationships | 0 | 2386 |
| Parameter Combinations | ||||||||
|---|---|---|---|---|---|---|---|---|
| L1 | 7 | 3 | 0.07 | 0.6 | 0.3 | 1 | 1 | 10 |
| L2 | 6 | 3 | 0.07 | 0.6 | 0.3 | 1 | 1 | 10 |
| L3 | 7 | 3 | 0.07 | 0.8 | 0.6 | 1 | 1 | 10 |
| L4 | 13 | 3 | 0.07 | 0.8 | 0.1 | 1 | 1 | 10 |
| L5 | 6 | 3 | 0.07 | 0.3 | 0.6 | 1 | 1 | 10 |
| L6 | 6 | 3 | 0.07 | 0.3 | 0.2 | 1 | 1 | 10 |
Disclaimer/Publisher’s Note: The statements, opinions and data contained in all publications are solely those of the individual author(s) and contributor(s) and not of MDPI and/or the editor(s). MDPI and/or the editor(s) disclaim responsibility for any injury to people or property resulting from any ideas, methods, instructions or products referred to in the content. |
© 2024 by the authors. Licensee MDPI, Basel, Switzerland. This article is an open access article distributed under the terms and conditions of the Creative Commons Attribution (CC BY) license (https://creativecommons.org/licenses/by/4.0/).
Share and Cite
Liu, C.; Wang, Q.; Xiang, B.; Xu, Y.; Gan, L. Evolutionary Game Strategy Research on PSC Inspection Based on Knowledge Graphs. J. Mar. Sci. Eng. 2024, 12, 1449. https://doi.org/10.3390/jmse12081449
Liu C, Wang Q, Xiang B, Xu Y, Gan L. Evolutionary Game Strategy Research on PSC Inspection Based on Knowledge Graphs. Journal of Marine Science and Engineering. 2024; 12(8):1449. https://doi.org/10.3390/jmse12081449
Chicago/Turabian StyleLiu, Chengyong, Qi Wang, Banghao Xiang, Yi Xu, and Langxiong Gan. 2024. "Evolutionary Game Strategy Research on PSC Inspection Based on Knowledge Graphs" Journal of Marine Science and Engineering 12, no. 8: 1449. https://doi.org/10.3390/jmse12081449
APA StyleLiu, C., Wang, Q., Xiang, B., Xu, Y., & Gan, L. (2024). Evolutionary Game Strategy Research on PSC Inspection Based on Knowledge Graphs. Journal of Marine Science and Engineering, 12(8), 1449. https://doi.org/10.3390/jmse12081449
