Abstract
A trans-media vehicle is a new type of equipment that can adapt to two environments, water and air, to maintain optimal hydrodynamic and aerodynamic performance. However, no matter what kind of trans-media vehicle, its dynamics are much more complicated when traversing the interface of the medium, as the parameters are time-varying due to the change in ambient medium and vehicle attitudes. In order to improve the stability and performance of the trans-media vehicle in complex environments, an accurate mathematical model is established to characterize the dynamics of the trans-media vehicle in this process in this study. The time-varying hydrodynamic coefficients with different attitudes or depths are obtained using computational fluid dynamics software. The mathematical model is solved iteratively using a Runge–Kutta solver to calculate the dynamic response. A prototype of trans-media vehicle is fabricated, and motion experiments are performed in the pool. The experimental results confirm the effectiveness of the established model and lay the foundation for further controller design, providing a reference for the dynamic modeling of other similar equipment operating in complex environments. The primary novelty of this study lies in the fact that the established dynamic model considers the complex interaction between the attitude of the trans-media vehicle and the inherent different properties of water and air and utilizes computational fluid dynamics software to accurately obtain time-varying coefficients under different attitudes and depths. This approach not only recognizes the criticality of orientation-dependent hydrodynamic coefficients but also incorporates their temporal variations, which were often overlooked in previous studies.
1. Introduction
Trans-media vehicles usually refer to equipment that can cross the water–air interface multiple times and navigate continuously in various media [1,2,3].
Existing trans-media vehicles are diverse and can be categorized into many different types. In this study, the trans-media vehicles are summarized in two mainstream design ideas. One is the bionic trans-media vehicle that takes design inspiration from nature, while the other follows a development route that improves on mature unmanned systems technology. According to the form of their structure, they can be classified into fixed-wing [4,5] and multi-rotor trans-media vehicles [6].
In 2012, the Massachusetts Institute of Technology (MIT) designed an imitation flying fish prototype, as shown in Figure 1a. The prototype gained speed by fluttering its wings during underwater movement and briefly flew in the air after crossing the water–air interface. The experiment captured the vehicle’s motion state out of the water through a camera and analyzed the hydrodynamic force [7]. In 2014, Imperial College London (IC) designed a trans-media vehicle named AquaMAV that imitates flying fish and pond geese [8], as shown in Figure 1b.The vehicle weighs just 200 g, has a jet takeoff mechanism [9] and retractable wings [8], and can utilize internally stored high-pressure gases [10] to achieve a jet takeoff. In 2019, the Nanjing University of Aeronautics and Astronautics (NUAA) developed a vehicle that incorporates underwater bionic annular pectoral fins and airborne culvert propellers to perform tasks, as shown in Figure 1c.
Figure 1.
Different structural forms of trans-media vehicles.
The components of a fixed-wing vehicle include the wings, fuselage, and rudder. The wings generate lift through the action of the relative incoming air currents. North Carolina State University (NCSU) designed a fixed-wing unmanned aerial vehicle and named it EagleRa [11], as shown in Figure 1d.The fabrication scheme of this vehicle involves a direct waterproof treatment for fixed-wing unmanned aerial vehicles (UAVs) [12]. The key aspect lies in the design of the wing with an open structure, enabling water to flow freely in and out of the wing to minimize harmful buoyancy [11]. The EagleRay is propelled by an aerial propeller for underwater navigation, which is less efficient. In 2022, Harbin Engineering University (HEU) also developed a fixed-wing trans-media vehicle named Changgong 2, as depicted in Figure 1e.
Rotor-type trans-media vehicles have the advantages of a simple structure, excellent hovering performance, and mature control technology. Therefore, in recent years, rotor-type trans-media vehicles have been gradually gaining the favor of more researchers. Rutgers University (RU) designed a double-decker quadrotor prototype and named it Naviator, as shown in Figure 1f. To date, six generations of prototype improvements have been completed [13]. The propulsion system of Naviator adopts double-layer four-axis aerial propellers arranged above and below. The amphibious movement capability of Naviator has been well verified in the pool test [14]. In 2020, Shanghai Jiao Tong University (SJTU) proposed a hybrid UAV that combines the structure of a fixed-wing UAV, an underwater glider, and a quadrotor UAV. This innovative design allows the UAV to operate in various environments, enabling long-distance operations [15,16], as shown in Figure 1g. The advantage of this UAV is that it can switch between different working modes based on various external environments or mission requirements to achieve optimal efficiency. In 2022, Beihang University (BUAA) designed a quadrotor adsorbable trans-media vehicle [17], as shown in Figure 1h. The vehicle has deformable propellers that unfold in the air and fold underwater. It is capable of rapid attachment and detachment on various surfaces, including curved surfaces, rough surfaces, and fouled surfaces.
Based on the research results above, the current research on trans-media vehicles is found to be insufficient. Various types of trans-media vehicles have limited surface navigation capabilities, and their speeds are low or easily disturbed by surface fluctuations, as shown in Table 1. Trans-media vehicles have wide application prospects and important practical values in military, civil, and other fields. In the military field, trans-media vehicles can better perform combat missions such as surprise attacks, secret infiltration, and communication interference, as well as reconnaissance tasks such as sea area surveillance and communication relay [18]. On the one hand, trans-media vehicles can effectively avoid the detection of enemy radar and coastal radar by using underwater stealth tactics, thus improving concealment; on the other hand, they can increase the operational coverage and improve mobility in emergency situations by using air flight tactics. In civil fields such as marine scientific research, sea rescue, and bridge maintenance, trans-media vehicles can achieve more convenient and flexible “air–space–earth–sea” all-round three-dimensional continuous observation. On the one hand, trans-media vehicles can conduct the three-dimensional perception of deeper waters, greatly expanding the operational space [19]; on the other hand, they can improve motion efficiency with the help of air flight to achieve rapid deployment and evacuation in emergency situations [20]. Regardless of the type of trans-media vehicles used, real-world application scenarios require them to be capable of crossing the water–air interface for amphibious activities. The dynamic characterization of the vehicle at the medium interface is crucial because it often involves a transition in the mode of operation, such as from flight mode to surface navigation mode. Due to the significant differences between water and air, the vehicle experiences different environmental external forces when at the medium interface. System characteristics related to additional mass effects, damping effects, and drainage volume will all vary significantly over time [21,22]. It is precisely because of the time-varying nature, nonlinearity, and uncertainty faced by the trans-media vehicle system that its motion control is more complex than that of conventional underwater vehicles [23,24].
Table 1.
Underwater performance characteristics of various trans-media vehicles.
The research on time-varying flow field and fluid force at the interface between media is the key to establishing an accurate mathematical model of motion. In 2011, researchers at the Harbin Institute of Technology employed the homogeneous multiphase flow model and cavitation model to investigate the hydrodynamic load variations during a vehicle’s water-exit process, numerically analyzing the impact of varying nose shapes and exit angles on the flow field during this phase [25]. In 2012, Panahi utilized the finite volume method and dynamic mesh technology to simulate the water-entry of a wedge-shaped body, incorporating the effects of viscous incompressible two-phase flow, studying pressure variations and velocity distributions during entry [26]. Concurrently, a research team at Tsinghua University examined the varying added mass during the water-exit of a cylindrical vehicle. By analyzing the relationship between cavity length, exit length, and vibration frequency in experimental data, they derived the transverse time-varying added mass using an inversion method, revealing an increase in structural vibration frequency with prolonged exit length, providing a qualitative explanation for time-varying added mass [27].
In 2015, Air Force Engineering University designed an axisymmetric cylindrical physical model to simulate the trans-medium behavior of underwater vehicles. Under both ideal and viscous fluid conditions, they analyzed the forces acting on the cylinder during water-exit and formulated a dynamic model, incorporating factors such as floatation center, added mass, wetted area, and the concept of added mass variation rate [28,29,30]. Further, in 2018, they investigated the influence of vehicle density on water-exit motion, simulating the process for three different densities under varying initial angles, axial velocities, and thrusts, elucidating the exit motion patterns and density’s role [31]. In 2020, focusing on slender trans-medium vehicles, the team established a longitudinal dynamic model for low-speed trans-media transitions, proposing a novel estimation method for hydrodynamic forces on the submerged portion, considering angular velocity and angle of attack. The added mass and its derivatives were calculated using a sectional approach based on slender body theory, validated through experiments and simulations on a 2000 mm long slender projectile [32].
Also in 2020, Zhejiang Sci-Tech University leveraged fluid–structure interaction simulations in finite element analysis software to model the water-entry of various nose-shaped projectiles, investigating their effects on pressure distribution, cavity shape, and kinematic behavior [33]. Recently, in 2022, Shanghai Jiao Tong University’s research team delved into the motion modeling of multi-rotor trans-medium vehicles during cross-domain phases. They framed the vehicle at the medium interface as a nonlinear system with unknown time-varying parameters, incorporating environmental changes as model parameter variations [34]. Furthermore, wind, waves, currents, and time-varying hydrodynamic forces were treated as unknown generalized disturbances within the vehicle’s dynamic equations [16].
To address the aforementioned issues, this paper conducts a rigid body dynamics analysis and subsequently establishes a mathematical model that describes the interconnected behavior of the vehicle’s buoyancy and attitude. Time-varying hydrodynamic coefficients corresponding to different attitudes or depths are determined using computational fluid dynamics software. The mathematical model is solved iteratively using a Runge–Kutta solver to calculate the dynamic response. A trans-media vehicle prototype is constructed based on the principle of hybrid propulsion, featuring a streamlined outline that effectively reduces resistance when navigating the medium interface. Motion experiments in the surge, heave, and pitch directions are conducted using the prototype to validate the proposed model and set the groundwork for future controller design.
2. Research Object
A trans-media vehicle needs to simultaneously meet the kinematic performance requirements of surface navigation as well as airborne flight. The key is to realize the effective fusion of propulsion modes in both water and air. This study uses three waterborne propellers for underwater propulsion and a collapsible co-axial twin propeller device for airborne propulsion. The co-axial twin-propeller mechanism not only provides torque balance but also significantly reduces drag during underwater movement [35,36].
Figure 2 shows the structure of the vehicle. The flow-linear shell connects the aerial flight part and the surface navigation part. The three underwater thrusters are positioned at specific angles to the vehicle’s body and are uniformly dispersed along the circumferential direction. The electronic components are installed in a watertight chamber.
Figure 2.
Schematic structure of the research object.
3. Mathematical Model and Parameter Identification
3.1. Mathematical Model
The analysis of trans-media vehicle performance and the design of control algorithms are based on models that mimic real motion. For the model of a trans-media vehicle, the input variables mainly include the thruster propulsion and moment and the external environmental force and moment. The possible disturbances are mainly the effects of fluids such as wind, waves, and ocean currents. The output variables include the attitude angle and velocity of the vehicle, which are observable. Modeling requires a unified reference system: the body coordinate system and the geodetic coordinate system (Figure 3). Since the vehicle has six degrees of freedom of motion (surge, sway, heave, roll, pitch, and yaw), the position vector of the vehicle is accordingly expressed using six variables, which correspond to the absolute position (x, y, z) and the angular attitude (ϕ, θ, ψ) of the vehicle with respect to the origin of the geodetic coordinates. The body coordinate system is defined at the center of gravity of the vehicle, and the velocity vector represents the velocity change of the vehicle through three along-axis linear velocities along the axes (u, v, w) and three angular velocities (p, q, r) around the axis relative to the body coordinate. The thrust vector τ is the vector representation in the body coordinate system of the external thrusts and moments applied to the vehicle.
Figure 3.
Definition of the coordinate system for a trans-media vehicle.
The kinematic model defines the transformation of the vehicle’s motion state in two coordinate systems. These two coordinate systems can be linked through a transformation matrix J(Θ) [37]:
where Θ = []T, T(Θ) denotes the angular velocity rotation matrix and R(Θ) denotes the linear velocity rotation matrix. Let cos(·) = c(·), sin(·) = s(·), tan(·) = t(·). T(Θ) and R(Θ) be expressed as follows:
In the absence of water forces, the vehicle can be considered a rigid body operating in an ideal space. The matrix expression for the rigid body motion [38] is as follows:
where MRB indicates the rigid body inertia matrix, indicates the Coriolis force and moment matrix, indicates the external environmental force and moment, and indicates the thruster propulsion and moment.
The forces acting on a vehicle in the ocean mainly consist of additional mass force; damping force; restoring force; as well as the influence of wind, waves, and currents. The hydrodynamic forces’ effects can be linearly superimposed on the rigid body’s motion in the form of components [39]:
where indicates the additional mass matrix, indicates the restoring force and moments, and indicates the damping forces.
The rigid body inertia matrix MRB is defined as follows, where m is the mass of the vehicle and is the vector between the center of mass of the vehicle and the origin of the body coordinate. When , the rigid body inertia matrix MRB is greatly simplified. For the vehicle to be symmetric in the XOY and XOZ planes, the main components of the mass matrix must be distributed on the main diagonal of the matrix, and the lower right of the inertia matrix MRB represents the inertia tensor matrix of the vehicle.
For trans-media vehicles, the restoring force in air is its own gravity. When the trans-media vehicle is below the surface of the water, the vehicle is subjected to both buoyancy and gravity. In general, the center of buoyancy is higher than the center of gravity, and the resulting force is called the restoring force. The gravity and buoyancy on the trans-media vehicle in the geodesic coordinate system are as follows:
The buoyancy of the vehicle is strongly related to its attitude. This study considers the vehicle as a cylinder. The center of gravity and the center of buoyancy of the vehicle in the body coordinate system are as follows:
Combining the transformation matrix described, the restoring force matrix is represented in the body coordinate system:
Due to the low density of air, the additional mass force of the trans-media vehicle in air is usually ignored, and only the additional mass force when in water is considered [38]. For structurally symmetric vehicles, the effect of non-diagonal elements at low velocity is negligible. Most underwater vehicles are fully submerged when in operation; the can be considered, in general, as a matrix of constant coefficients. For trans-media vehicles, the drainage volume will change when traversing the water–air interface, so their additional mass will also change [38]. For this study’s proposed trans-media vehicle, it can be approximated as having a double symmetry surface profile symmetrical about the longitudinal plane and the horizontal plane. In order to characterize the change in the additional mass feature during the operation of the vehicle, the non-constant additional mass matrix is characterized as follows:
where is the additional mass matrix when fully submerged in water, and is an adjustment term that varies with the draft depth and pitch angle and satisfies the conditions that when the vehicle is fully out of the water and when the vehicle is fully in the water.
The damping forces of a vehicle are related to its velocity and attitude. In practice, the Fossen model typically considers the damping as uncoupled and ignores terms higher than the second order [34]. For vehicles with good symmetry, the damping forces [40] can be simplified as the sum of linear and quadratic damping:
The following assumptions are made according to the spatial arrangement of the propellers in order to simplify the modeling of the propulsion system: the performance of forward and reverse propellers of the same type is approximated to be the same, the influence of the layout of the vehicle on the inflow of propellers is ignored, and it is assumed that there is no loss of thrust. Each propeller only provides thrust for the vehicle, and its torque is ignored for its effect on the movement of the airframe. Let the coordinates of the center of gravity be (0, 0, 0); the coordinates of the three propeller action points are (x1, 0, z1), (x2, y2, z2), (x3, y3, z3).
It is clear from the above model that the elements of the propulsion system model depend solely on the structural parameters of the vehicle. In the equation above, α is 15°, representing the angle between the thruster and the vehicle, while β is 60°.
3.2. Hydrodynamic Parameter Calculation
In this section, the hydrodynamic parameters are calculated for the time-varying attitude characteristics of the vehicle.
Since the vehicle components have varying volumes and densities, calculating the center of gravity and inertia tensor matrix of the vehicle using the formulas of the Fossen model is not applicable. The Fossen model is shown below:
where denotes the density of the volume micronutrient dV, V denotes the volume of the vehicle, and r denotes the distance from the volume micronutrient to the center of gravity. The solution of the inertia tensor matrix is related to the location of the center of gravity of the vehicle. An accurate inertia tensor matrix cannot be obtained without accurately calculating the center of gravity of the vehicle.
To address this problem, this study initially disassembles the vehicle components, assuming uniform density for each disassembled component. The size and mass information of each component is measured separately. The measured data are then matched with the Solidworks 3D model components, and specific material densities are assigned to each component.
By using the above method, the center of gravity, inertia matrix, and inertia tensor matrix of the vehicle can be obtained. In this study, the additional mass of the vehicle is calculated using ANSYS-AQWA 2021R1. AQWA utilizes a three-dimensional slicing method to divide the vehicle’s surface into a collection of finite small planes. Appropriate simplifications are applied to the vehicle model, and the additional mass matrix is solved for the half-submerged water. For different vehicle attitudes at the medium interface (Figure 4), multiple groups were calculated and fitted with first-order polynomial functions using MATLAB. The results are displayed in Figure 5. The fitting curves of the added mass in the surge, heave, and pitch directions varying with the water depth under different attitudes of the vehicle are all linear curves with positive slopes. Comparing the added mass in the surge, heave, and pitch directions under three different attitudes, the added mass at a pitch angle of 0° is always the largest and the fitting curve has the largest slope; the added mass at a pitch angle of 30° is always the smallest, and the fitting curve has the smallest slope. Comparing the added mass in the three directions, the added mass in the heave direction at the same pitch angle and water depth is the largest, and the added mass in the pitch direction is the smallest.
Figure 4.
Schematic diagram of solving for the additional mass at different attitudes of the vehicle.
Figure 5.
Additional mass and water entry height fitting curves for different attitudes of the vehicle: (a) surge direction; (b) heave direction; (c) pitch direction.
In this study, the calculations of the damping forces are calculated using ANSYS Fluent 2022R1. Prior to the calculations, the three-dimensional model of the vehicle is simplified to create a solid model with fewer exterior closed details. Blades and paddle clamps do not significantly impact the calculations. In fact, excessive detail complicates mesh delineation and calculations, and in some instances, may even result in computational failure.
In practice, the vehicle is in motion while the water environment is relatively static. However, when using computational fluid dynamics software for damping calculations, the situation is just the opposite. In order to simplify the calculations, the vehicle is fixed in a virtual tank in ANSYS Fluent 2022R1, as shown in Figure 6. The water is then introduced into the tank from the side at a constant flow rate and subsequently expelled from the zero-pressure surface.
Figure 6.
Simulation computational domain settings.
Mesh delineation is an essential aspect of the finite volume method using ANSYS Fluent2022R1. It is crucial to establish a precise mesh delineation in critical areas and to pay attention to the fine delineation of the mesh in the boundary layer on the surface of the vehicle to accurately replicate the physical details in the boundary layer. Gradual control of the mesh size also becomes a significant factor affecting the computational results. Excessive mesh refinement performed too quickly can lead to the physical details not being accurately transferred from the fine mesh to the coarse mesh. In this study, by altering the element mesh size and global scaling settings, multiple sets of meshes with element counts ranging from 200,000 to 1,400,000 were obtained and subjected to trial calculations, respectively. After 200–400 iterations, the results tended to converge. The variation in straight-ahead resistance values with the mesh is shown in Figure 7. It can be observed that although fluctuations exist in the calculation results after the number of mesh elements exceeds 800,000, the rate of change has significantly decreased. Considering factors such as fluctuations in mesh quality and inherent errors in numerical calculations, it is impossible to make the calculation results of each case absolutely independent of the number of mesh elements. Through mesh independence verification, approximately one million mesh elements are utilized for damping calculations.
Figure 7.
Mesh independence verification diagram.
Boundary condition setting is an essential step in the analysis. The turbulence model chosen is the k-ω SST. Additionally, the Free Slip Wall function is utilized to define the boundary of the sink to minimize its effect on the flow field. For the exterior of the vehicle, the Non-Slip Wall function with friction is applied. The analysis process for damping requires setting a stopping condition, and in this paper, convergence less than 10−4 is used as the stopping criterion.
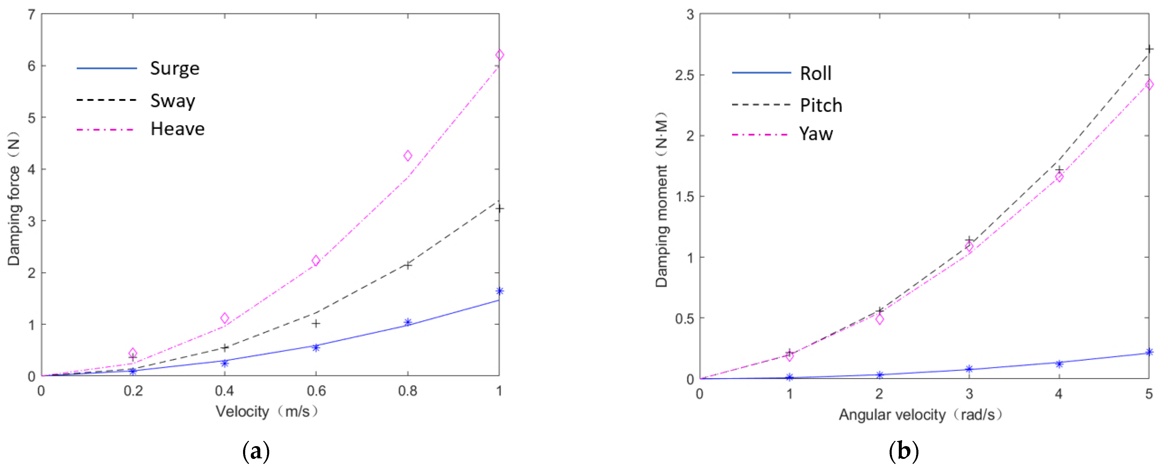
For the translational directions, the damping forces are calculated for velocities of 0.2 m/s, 0.4 m/s, 0.6 m/s, 0.8 m/s, and 1.0 m/s, respectively. In the rotational direction, this paper utilizes the rotational coordinate method to initially estimate the relationship between the rotational damping moment and the rotational angular velocity. The rotating coordinate method transforms the unsteady motion into a steady flow problem by defining two sets of relatively rotating coordinate systems on the static grid of the vehicle. In this paper, the damping moments are calculated for angular velocities of 1 rad/s, 2 rad/s, 3 rad/s, 4 rad/s, and 5 rad/s, respectively.
In this study, the vehicle’s velocity and damping force are modeled using a second-order polynomial function. The results of the fitting are displayed in Figure 8.
Figure 8.
Damping and velocity fitting curves for the horizontal state of the vehicle: (a) translational direction; (b) rotational direction.
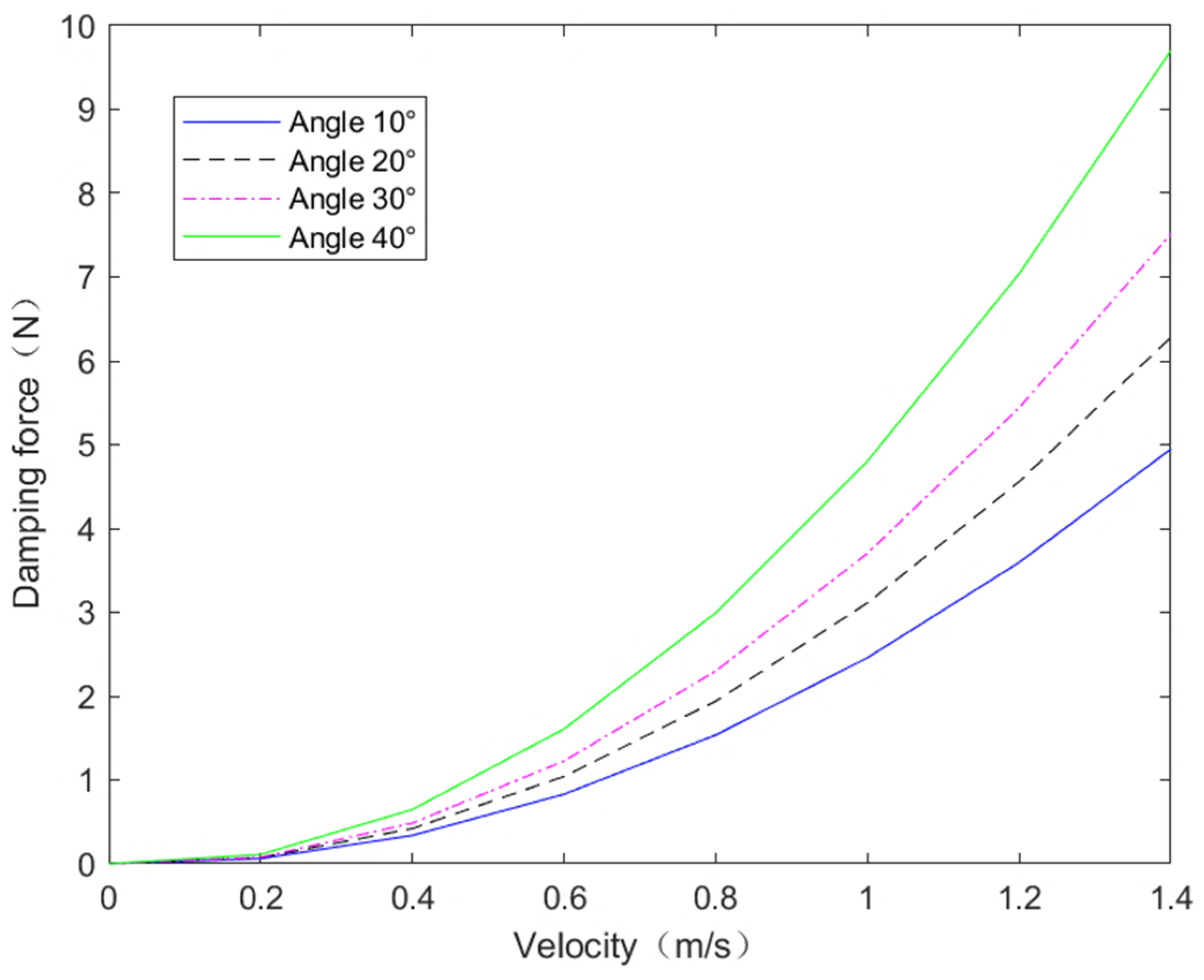
Since the vehicle’s attitudes vary under different thrusts, surge damping forces of the vehicle are calculated at 10° intervals from an angle of 10° with the water surface to an angle of 40° with the water surface, considering model accuracy and calculation time. The fitting results are depicted in Figure 9.
Figure 9.
Surge damping force and velocity fitting curves for different attitudes of the vehicle.
4. Experimental Methodology
In order to verify that the model accurately describes the dynamic behavior of the vehicle at the medium interface, this study uses Simulink 10.2 to conduct numerical simulations of the motion in the surge, heave, and pitch directions. Figure 10 shows the block diagram of the simulation model. Additionally, prototypes are fabricated to conduct the experimental research, focusing on changes in motion speed and attitude angles.
Figure 10.
Block diagram of SIMULINK simulation model.
The solver uses the Runge–Kutta method with a basic sampling time of 0.01 and a computation time of 20 s to iteratively solve the constructed mathematical model.
According to the structure and hardware system diagram proposed above, the prototype is constructed using 3D printing materials, POM materials, and carbon fiber materials. Once the prototype production is finished, an experiment is conducted in a pool. The pool experiment site is illustrated in Figure 11. The pool measures 50 m in length, 10 m in width, and 1.2 m in depth. To minimize the impact of the pool sidewalls on the vehicle’s movement, the vehicle is kept in the center of the pool throughout the experiment.
Figure 11.
Experimental site.
The experimental procedure is shown in Figure 12. The initial stabilization test is conducted to observe whether the vehicle can remain stable on the water surface. The vehicle establishes a reliable duplex communication with the ground station through a 433 MHz digital transmission radio. This radio can receive various PWM pulse commands from the ground station and also facilitate the transmission of attitude sensor data with the ground station.
Figure 12.
Schematic diagram of the experimental procedure.
5. Results and Discussions
When thrust is applied to the vehicle, its attitude changes rapidly, along with its additional mass forces, damping forces, and buoyancy forces. The combined effect of these forces causes the vehicle to reach a new stabilized attitude.
Speed control signals are sent from the ground station to the vehicle. A camera captures the vehicle’s movements during the experiment, with changes in attitude detailed in Figure 13.
Figure 13.
Schematic diagram of the changes in attitude of the vehicle.
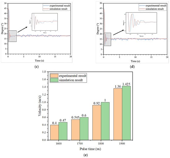
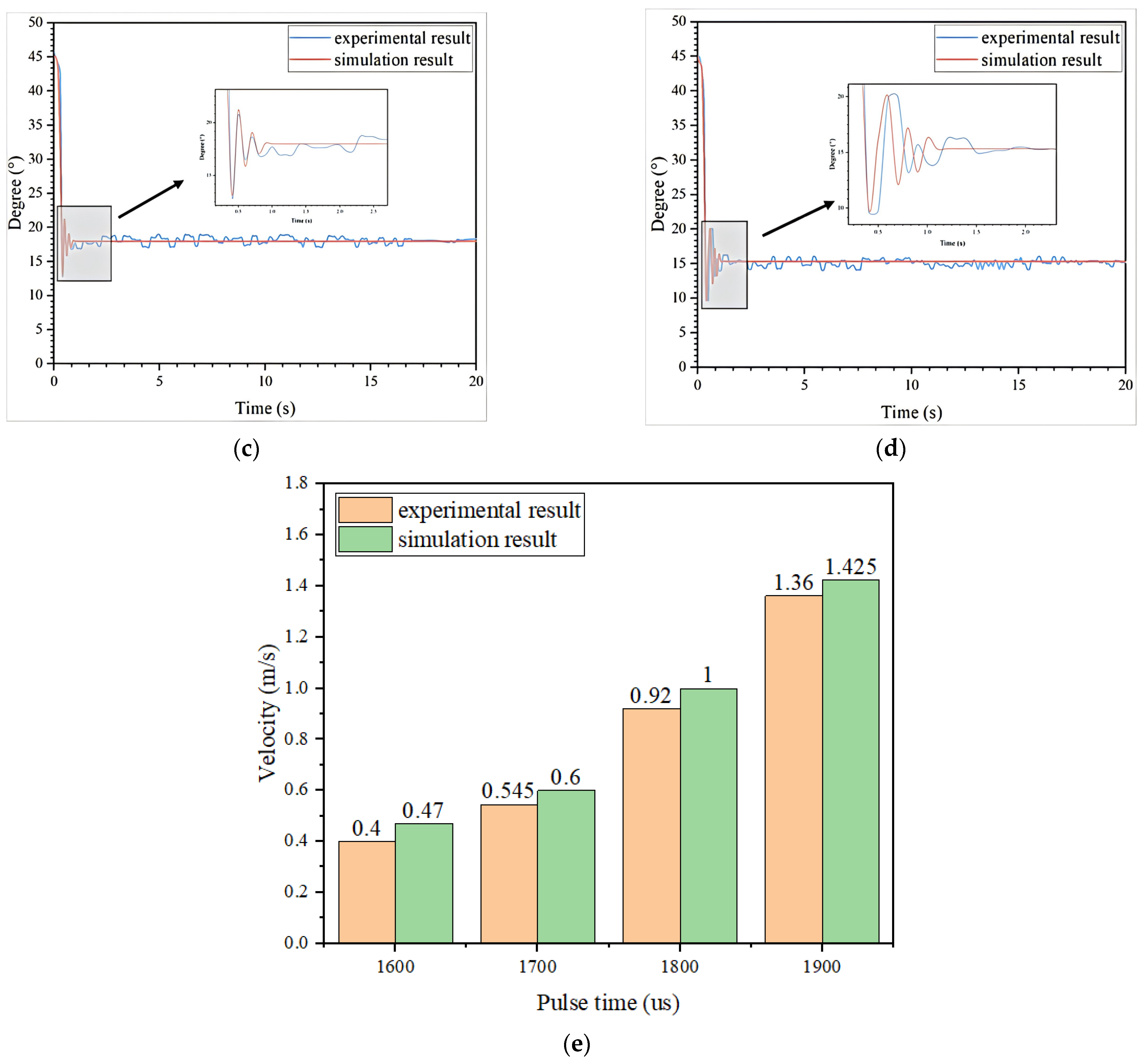
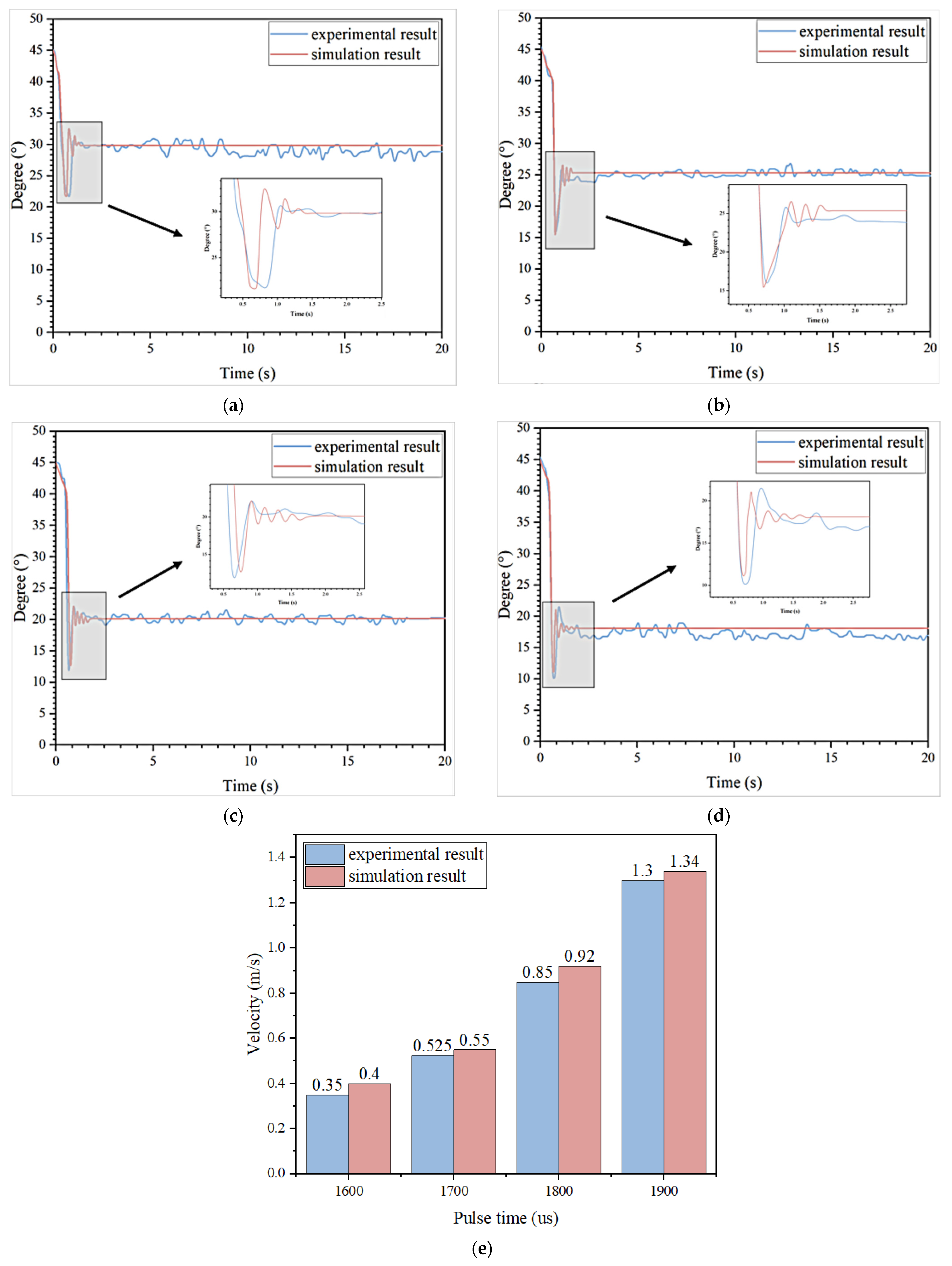
After processing the attitude sensor data, the simulation results are compared with the experimental results using different PWM pulses. The results are shown in Figure 14. The experimental curve aligns well with the simulation curve. The experimental and simulation curves are consistent in their overall dynamic behavior, both of which respond rapidly from the initial state with overshoot and eventually stabilize. Both show similar downward and upward trends at similar time points, and both exhibit relatively stable voltage levels after entering a relatively stable phase. The waveform of the experimental results appears jagged, while the simulation results show less fluctuation and a smoother overall curve. This indicates that the simulation results are more stable in terms of change, while there are relatively intense transient fluctuations during the actual experimental process. For different pulse times, the calculation errors of θ are 4.2%, 2.4%, 2.9%, and 7.7%, respectively, while the average velocity errors are 14.3%, 5.8%, 8.2%, and 3.1%, respectively.
Figure 14.
Comparison between experimental results and simulation results (α = 15°, θ = 45°): (a) comparison of pitch angle results at pulse time 1600 μs; (b) comparison of pitch angle results at pulse time 1700 μs; (c) comparison of pitch angle results at pulse time 1800 μs; (d) comparison of pitch angle results at pulse time 1900 μs; (e) comparison of average velocity results for different pulse times.
After adjusting the counterweight and changing the initial attitude θ of the spacecraft, the above experiment was repeated. The results are shown in Figure 15. The experimental curve is in good agreement with the simulation curve. At a pulse time of 1600 μs, the calculation error of θ is 4.6%, while at a pulse time of 1800 μs, the calculation error of θ is 2.9%. Additionally, the results of the two sets of experiments conducted before and after changing the initial attitude of the spacecraft exhibit similar errors, both of which are relatively small.
Figure 15.
Comparison between experimental results and simulation results (α = 15°, θ = 25°): (a) comparison of pitch angle results at pulse time 1600 μs; (b) comparison of pitch angle results at pulse time 1700 μs.
The experiments with different angles between the propeller and the vehicle were implemented, and the results are shown in Figure 16. The experimental curve is also in good agreement with the simulation curve. Under different pulse times, the calculation errors of θ are 3.6%, 3.0%, 2.1%, and 4.8%, respectively, and the average velocity errors are 20%, 11.1%, 19.6%, and 5.1%, respectively. After adjusting the installation angle α, the calculation results of θ are more accurate, but the average speed error value is larger.

Figure 16.
Comparison between experimental results and simulation results (α = 25°, θ = 45°): (a) comparison of pitch angle results at pulse time 1600 μs; (b) comparison of pitch angle results at pulse time 1700 μs; (c) comparison of pitch angle results at pulse time 1800 μs; (d) comparison of pitch angle results at pulse time 1900 μs; (e) comparison of average velocity results for different pulse time.
In this section, several sets of experiments were carried out by changing the initial attitude of the vehicle and the installation angle of the thruster. Based on the simulation and experimental results above, it is evident that when thrust is applied to the spacecraft, the attitude changes rapidly. As the thrust increases, the fluctuation range of θ also increases. The spacecraft, under the combined influence of additional mass force, damping force, gravity, buoyancy, etc., will ultimately reach a new stable state. The motion model and hydrodynamic parameters proposed in this article are relatively accurate, with minimum calculation errors of θ and velocity reaching 2.1% and 3.1%, respectively. The experimental curve aligns well with the simulation curve, effectively describing the dynamic characteristics of the vehicle at the medium interface.
6. Conclusions
The dynamic characterization of a vehicle at the medium interface is crucial because it often involves a shift in the mode of operation. Due to the differing properties of water and air, the external environmental forces acting on the vehicle at the medium interface vary depending on its orientation. This study establishes an accurate mathematical model to depict the dynamic behavior of a trans-media vehicle at the water–air medium interface. Time-varying hydrodynamic coefficients corresponding to different orientations or depths are determined using computational fluid dynamics software. The mathematical model is solved iteratively using a Runge–Kutta solver to calculate the dynamic response. A prototype of the trans-media vehicle is constructed based on the principle of hybrid propulsion, featuring a streamlined outline to effectively reduce resistance. Motion experiments in the surge, heave, and pitch directions are conducted using this prototype to validate the proposed model and set the groundwork for future controller design.
In conclusion, the present study has offered meaningful advancements and contributions to the field of hydrodynamics of trans-media vehicles, particularly in understanding and modeling their complex dynamic behavior at the water–air interface. The primary novelty lies in the development of an intricate mathematical framework that captures the intricate interplay between the vehicle’s time-varying attitudes and the inherently different properties of water and air. This approach not only recognizes the criticality of orientation-dependent hydrodynamic coefficients but also successfully incorporates their temporal variations, a feature often overlooked in previous studies. The utilization of computational fluid dynamics software to determine these coefficients for various orientations and depths ensures the accuracy and precision of the model, allowing for a more realistic depiction of the vehicle’s dynamic response at the medium interface.
The hydrodynamic characteristics of the vehicle when crossing the medium are crucial to its structural design, its motion modeling, and the development of control systems. Further theoretical research and experimental analysis should be conducted subsequently. On the one hand, there is an opportunity to refine and extend the mathematical model to incorporate additional physical phenomena, such as cavitation and turbulence, which can significantly impact the vehicle’s performance at high speeds or under extreme conditions. On the other hand, the integration of machine learning and artificial intelligence techniques could enhance the predictive capabilities of the model, enabling real-time adaptation to unforeseen environmental changes.
Finally, there are exciting opportunities to explore the potential applications of trans-media vehicles in domains beyond traditional marine and aerospace engineering. For instance, their unique capabilities could revolutionize search and rescue operations, environmental monitoring, and even underwater exploration and construction. By continuing to push the boundaries of our understanding and technological capabilities, we can unlock the full potential of trans-media vehicles and pave the way for a new era of innovation and discovery.
Author Contributions
Funding acquisition, Y.C.; Investigation, C.D. and Y.Z.; Methodology, S.L., Y.H. and W.L.; Project administration, S.L.; Supervision, Y.C. and T.W.; Writing—original draft, S.L., C.D. and Y.H.; Writing—review and editing, T.W. All authors have read and agreed to the published version of the manuscript.
Funding
This study is supported by the “Pioneer” and “Leading Goose” R&D Program of Zhejiang (Grant Numbers: 2022C03041 and 2023C03124), and the Fundamental Research Funds for the Central Universities (Grant Number: 226-2024-00162).
Data Availability Statement
The data presented in this study are available on request from the corresponding author.
Conflicts of Interest
The authors declare no conflict of interest.
References
- Yang, X.; Wang, T.; Liang, J.; Yao, G.; Liu, M. Survey on the novel hybrid aquatic–aerial amphibious aircraft: Aquatic unmanned aerial vehicle (AquaUAV). Prog. Aerosp. Sci. 2015, 74, 131–151. [Google Scholar] [CrossRef]
- Zimmerman, S.; Abdelkefi, A. Review of marine animals and bioinspired robotic vehicles: Classifications and characteristics. Prog. Aerosp. Sci. 2017, 93, 95–119. [Google Scholar] [CrossRef]
- Yao, G.; Li, Y.; Zhang, H.; Jiang, Y.; Wang, T.; Sun, F.; Yang, X. Review of hybrid aquatic-aerial vehicle (HAAV): Classifications, current status, applications, challenges and technology perspectives. Prog. Aerosp. Sci. 2023, 139, 100902. [Google Scholar] [CrossRef]
- Chen, Y.; Helbling, E.F.; Gravish, N.; Ma, K.; Wood, R.J. Hybrid aerial and aquatic locomotion in an at-scale robotic insect. In Proceedings of the 2015 IEEE/RSJ International Conference on Intelligent Robots and Systems (IROS), Hamburg, Germany, 28 September–2 October 2015; pp. 331–338. [Google Scholar]
- Chen, Y.; Wang, H.; Helbling, E.F.; Jafferis, N.T.; Zufferey, R.; Ong, A.; Ma, K.; Gravish, N.; Chirarattananon, P.; Kovac, M.; et al. A biologically inspired, flapping-wing, hybrid aerial-aquatic microrobot. Sci. Robot. 2017, 2, eaao5619. [Google Scholar] [CrossRef] [PubMed]
- Hou, T.; Yang, X.; Su, H.; Jiang, B.; Chen, L.; Wang, T.; Liang, J. Design and Experiments of a Squid-like Aquatic-Aerial Vehicle with Soft Morphing Fins and Arms. In Proceedings of the 2019 International Conference on Robotics and Automation (ICRA), Montreal, QC, Canada, 20–24 May 2019; pp. 4681–4687. [Google Scholar]
- Fabian, A.; Feng, Y.; Swartz, E.; Thurmer, D.; Wang, R. Hybrid Aerial Underwater Vehicle (MIT Lincoln Lab); 2012 SCOPE Projects; Olin College of Engineering: Needham, MA, USA, 2012. [Google Scholar]
- Siddall, R.; Ancel, A.; Kovac, M. Wind and water tunnel testing of a morphing aquatic micro air vehicle. Interface Focus 2017, 7, 20160085. [Google Scholar] [CrossRef]
- Siddall, R.; Kovac, M. Fast Aquatic Escape with a Jet Thruster. IEEE/ASME Trans. Mechatron. 2017, 22, 217–226. [Google Scholar] [CrossRef]
- Zufferey, R.; Ancel, A.O.; Farinha, A.; Siddall, R.; Armanini, S.F.; Nasr, M.; Brahmal, R.V.; Kennedy, G.; Kovac, M. Consecutive aquatic jump-gliding with water-reactive fuel. Sci. Robot. 2019, 4, eaax7330. [Google Scholar] [CrossRef]
- Weisler, W.; Stewart, W.; Anderson, M.B.; Peters, K.J.; Gopalarathnam, A.; Bryant, M. Testing and Characterization of a Fixed Wing Cross-Domain Unmanned Vehicle Operating in Aerial and Underwater Environments. IEEE J. Ocean. Eng. Appl. Electr. Electron. Eng. Ocean. Environ. 2018, 43, 969–982. [Google Scholar] [CrossRef]
- Stewart, W.; Weisler, W.; MacLeod, M.; Powers, T.; Defreitas, A.; Gritter, R.; Anderson, M.; Peters, K.; Gopalarathnam, A.; Bryant, M. Design and demonstration of a seabird-inspired fixed-wing hybrid UAV-UUV system. Bioinspir. Biomim. 2018, 13, 056013. [Google Scholar] [CrossRef]
- Villegas, A.; Mishkevich, V.; Gulak, Y.; Diez, F. Analysis of key elements to evaluate the performance of a multirotor unmanned aerial–aquatic vehicle. Aerosp. Sci. Technol. 2017, 70, 412–418. [Google Scholar] [CrossRef]
- Maia, M.M.; Mercado, D.A.; Diez, F.J. Design and implementation of multirotor aerial-underwater vehicles with experimental results. In Proceedings of the 2017 IEEE/RSJ International Conference on Intelligent Robots and Systems (IROS), Vancouver, BC, Canada, 24–28 September 2017; pp. 961–966. [Google Scholar]
- Lu, D.; Xiong, C.; Zhou, H.; Lyu, C.; Hu, R.; Yu, C.; Zeng, Z.; Lian, L. Design, fabrication, and characterization of a multimodal hybrid aerial underwater vehicle. Ocean Eng. 2020, 219, 108324. [Google Scholar] [CrossRef]
- Lu, D.; Guo, Y.; Xiong, C.; Zeng, Z.; Lian, L. Takeoff and Landing Control of a Hybrid Aerial Underwater Vehicle on Disturbed Water’s Surface. IEEE J. Ocean. Eng. 2022, 47, 295–311. [Google Scholar] [CrossRef]
- Li, L.; Wang, S.; Zhang, Y.; Song, S.; Wang, C.; Tan, S.; Zhao, W.; Wang, G.; Sun, W.; Yang, F.; et al. Aerial-aquatic robots capable of crossing the air-water boundary and hitchhiking on surfaces. Sci. Robot. 2022, 7, eabm6695. [Google Scholar] [CrossRef]
- Tan, Y.H.; Chen, B.M. Survey on the Development of Aerial–Aquatic Hybrid Vehicles. Unmanned Syst. 2021, 9, 263–282. [Google Scholar] [CrossRef]
- Bershadsky, D.; Haviland, S.; Valdez, P.E.; Johnson, E. Design considerations of submersible unmanned flying vehicle for communications and underwater sampling. In Proceedings of the OCEANS 2016 MTS/IEEE Monterey, Monterey, CA, USA, 19–23 September 2016; pp. 1–8. [Google Scholar]
- Duan, H.; Liu, S. Unmanned air/ground vehicles heterogeneous cooperative techniques: Current status and prospects. Sci. China Technol. Sci. 2010, 53, 1349–1355. [Google Scholar] [CrossRef]
- Yang, J.; Li, Y.; Feng, J.; Hu, J.; Liu, A. Simulation and experimental research on trans-media vehicle water-entry motion characteristics at low speed. PLoS ONE 2017, 12, e0178461. [Google Scholar] [CrossRef] [PubMed]
- Li, Y.-L.; Feng, J.-F.; Hu, J.-H.; Yang, J. Research on the motion characteristics of a trans-media vehicle when entering water obliquely at low speed. Int. J. Nav. Arch. Ocean Eng. 2018, 10, 188–200. [Google Scholar] [CrossRef]
- Ma, Z.C.; Feng, J.F.; Yang, J. Research on vertical air–water trans-media control of Hybrid Unmanned Aerial Underwater Vehicles based on adaptive sliding mode dynamical surface control. Int. J. Adv. Robot. Syst. 2018, 15, 1–10. [Google Scholar] [CrossRef]
- Chen, Q.; Zhu, D.Q.; Liu, Z.B. Attitude control of aerial and underwater vehicles using single-input FUZZY P+ID controller. Appl. Ocean Res. 2020, 107, 102460. [Google Scholar] [CrossRef]
- You, T.Q.; Zhang, J.Z.; Wang, C.; Cao, W. Analysis of Flow Field Load Characteristics on the Nose of Underwater Vehicle during the Water-Exit Process. J. Beijing Univ. Aeronaut. Astronaut. 2011, 37, 610–612. (In Chinese) [Google Scholar]
- Panahi, R. Simulation of Water-Entry and Water-Exit Problems Using a Moving Mesh Algorithm. J. Theor. Appl. Mech. 2012, 42, 79–92. [Google Scholar] [CrossRef]
- Liao, J.H.; You, X.C.; Lv, H.B.; Zhuang, Z. Simulation of Water-Exit Process of Aircraft Using Time-Varying Added Mass Method. Eng. Mech. 2012, 29, 202–223. (In Chinese) [Google Scholar]
- Yu, Z.J.; Feng, J.F.; Hu, J.H.; Wei, Y.M. Modeling of Water-Exit Motion for Water-Air Crossing Vehicles. Comput. Simul. 2015, 32, 101–105. (In Chinese) [Google Scholar]
- Hu, J.H.; Xu, B.W.; Feng, J.F.; Qi, D.; Yang, J.; Wang, C. Research on Water-Exit and Take-off Process for Morphing Unmanned Submersible Aerial Vehicle. China Ocean Eng. 2017, 31, 202–209. [Google Scholar] [CrossRef]
- Qi, D.; Feng, J.; Xu, B.; Liu, A.; Li, Y. Water exit model and takeoff control for a morphing cross-media vehicle. J. Chin. Inst. Eng. 2017, 40, 110–117. [Google Scholar] [CrossRef]
- Zhang, Q.; Hu, J.H.; Feng, J.F.; Xu, B.W.; Liu, A. Motion law and density influence of a submersible aerial vehicle in the water-exit process. Fluid Dyn. Res. 2018, 50, 065516. [Google Scholar] [CrossRef]
- Ma, Z.; Hu, J.; Feng, J.; Liu, A.; Chen, G. A longitudinal air–water trans-media dynamic model for slender vehicles under low-speed condition. Nonlinear Dyn. 2020, 99, 1195–1210. [Google Scholar] [CrossRef]
- Shi, H.H.; Zhou, D.; Wen, J.S.; Jia, H.X. Fluid-structure interaction simulation of elastic cylindrical shells entering water based on the ALE method. J. Ballist. 2020, 32, 9–14+46. (In Chinese) [Google Scholar]
- Lu, D.; Xiong, C.; Zeng, Z.; Lian, L. Adaptive Dynamic Surface Control for a Hybrid Aerial Underwater Vehicle with Parametric Dynamics and Uncertainties. IEEE J. Ocean. Eng. 2019, 45, 740–758. [Google Scholar] [CrossRef]
- Bohorquez, F. Rotor hover performance and system design of an efficient coaxial rotary wing micro air vehicle. Diss. Theses Gradworks 2007, 68, 417–421. [Google Scholar]
- Wicha, J. Coaxial rotor hover power reduction using dissimilarity between upper and lower rotor design. Diss. Theses Gradworks 2015, 55, 940–955. [Google Scholar]
- Craig, J.J. Introduction to Robotics: Mechanics and Control, 3rd ed.; Pearson Education India: Bengaluru, India, 2009. [Google Scholar]
- Fossen, T.I. Guidance and Control of Ocean Vehicles; John Wiley & Sons: Chichester, UK, 1994. [Google Scholar]
- Yang, R.; Clement, B.; Mansour, A.; Li, M.; Wu, N. Modeling of a Complex-Shaped Underwater Vehicle for Robust Control Scheme. J. Intell. Robot. Syst. 2015, 80, 491–506. [Google Scholar] [CrossRef]
- Lu, Z.L. Aerodynamics; Beijing University of Aeronautics and Astronautics Press: Beijing, China, 2009. (In Chinese) [Google Scholar]
Disclaimer/Publisher’s Note: The statements, opinions and data contained in all publications are solely those of the individual author(s) and contributor(s) and not of MDPI and/or the editor(s). MDPI and/or the editor(s) disclaim responsibility for any injury to people or property resulting from any ideas, methods, instructions or products referred to in the content. |
© 2024 by the authors. Licensee MDPI, Basel, Switzerland. This article is an open access article distributed under the terms and conditions of the Creative Commons Attribution (CC BY) license (https://creativecommons.org/licenses/by/4.0/).