Can the Ecological Quality of Several Bays in South Korea Be Accurately Assessed Using Multiple Benthic Biotic Indices?
Abstract
1. Introduction
2. Materials and Methods
2.1. Study Area
2.2. Sampling Collection and Processing
2.3. Benthic Biotic Indices
2.4. Data Analysis
2.4.1. Dominance Index
2.4.2. Composite Index
2.4.3. Statistical Treatment
3. Results
3.1. Environment Characteristics
3.2. Macrobenthos Characteristics and Dominant Species
3.3. Benthic Biotic Indices
3.3.1. Ecological and Functional Groups
3.3.2. AMBI
3.3.3. BENTIX
3.3.4. BOPA
3.3.5. BPI
3.3.6. M-AMBI
3.3.7. Ecological Quality Status as Acceptable or Unacceptable
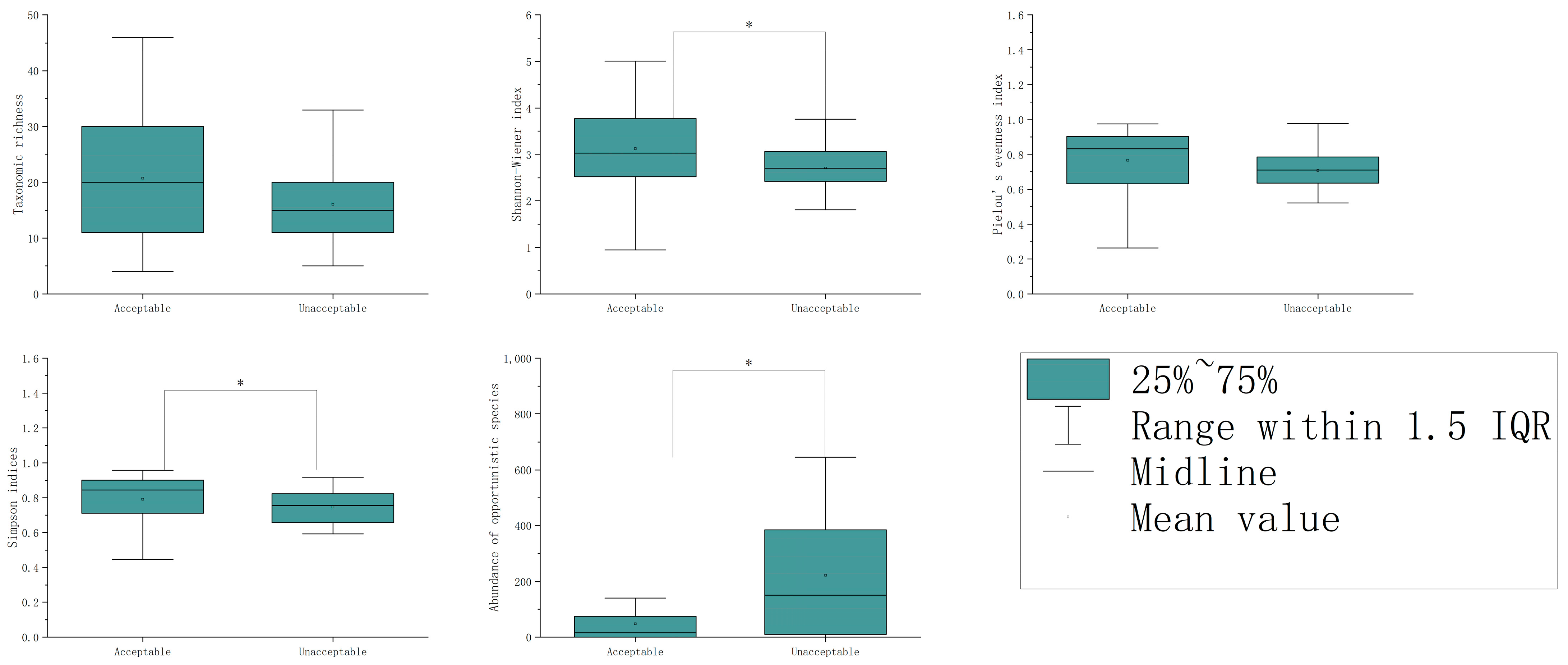
3.4. Statistical Analysis
3.5. Final Ecological Quality and Composite Index
4. Discussion
4.1. Environment Characteristics in the Three Bays
4.2. Benthic Biotic Indices in the Three Bays
4.3. The Final Ecological Quality and Composite Index in the Three Bays
4.4. Future Research for the Composite Index
5. Conclusions
Supplementary Materials
Author Contributions
Funding
Institutional Review Board Statement
Informed Consent Statement
Data Availability Statement
Conflicts of Interest
References
- Singh, S. Energy Crisis and Climate Change: Global Concerns and Their Solutions. In Energy: Crises, Challenges and Solutions; Singh, P., Singh, S., Kumar, G., Baweja, P., Eds.; Wiley: Hoboken, NJ, USA, 2021; pp. 1–17. ISBN 978-1-119-74144-2. [Google Scholar]
- Dash, B.; Rout, S.S.; Lovaraju, A.; Charan Kumar, B.; Bharati, A.; Ganesh, T.; Satyanarayana, B.; Raman, A.V.; Rakhesh, M.; Raut, D. Macrobenthic Community of a Tropical Bay System Revisited: Historical Changes in Response to Anthropogenic Forcing. Mar. Pollut. Bull. 2021, 171, 112775. [Google Scholar] [CrossRef] [PubMed]
- Sala, E.; Mayorga, J.; Bradley, D.; Cabral, R.B.; Atwood, T.B.; Auber, A.; Cheung, W.; Costello, C.; Ferretti, F.; Friedlander, A.M.; et al. Protecting the Global Ocean for Biodiversity, Food and Climate. Nature 2021, 592, 397–402. [Google Scholar] [CrossRef]
- Boudouresque, C.F.; Cadiou, G.; Diréac’h, L. Marine Protected Areas: A Tool for Coastal Areas Management. In Strategic Management of Marine Ecosystems; NATO Science Series IV: Earth and Environmental Series; Springer-Verlag: Berlin/Heidelberg, Germany, 2005; Volume 50, pp. 29–52. ISBN 978-1-4020-3157-1. [Google Scholar]
- Dong, J.-Y.; Sun, X.; Zhang, Y.; Zhan, Q.; Zhang, X. Assessing Benthic Habitat Ecological Quality Using Four Benthic Indices in the Coastal Waters of Sanshandao, Laizhou Bay, China. Ecol. Indic. 2021, 129, 107980. [Google Scholar] [CrossRef]
- Kröncke, I.; Reiss, H. Influence of Macrofauna Long-Term Natural Variability on Benthic Indices Used in Ecological Quality Assessment. Mar. Pollut. Bull. 2010, 60, 58–68. [Google Scholar] [CrossRef]
- Personnic, S.; Boudouresque, C.F.; Astruch, P.; Ballesteros, E.; Blouet, S.; Bellan-Santini, D.; Bonhomme, P.; Thibault-Botha, D.; Feunteun, E.; Harmelin-Vivien, M.; et al. An Ecosystem-Based Approach to Assess the Status of a Mediterranean Ecosystem, the Posidonia Oceanica Seagrass Meadow. PLoS ONE 2014, 9, e98994. [Google Scholar] [CrossRef]
- Barbier, D.B.; Hacker, S.D.; Kennedy, C.; Koch, E.W.; Stier, A.C.; Silliman, B.R. The Value of Estuarine and Coastal Ecosystem Services. Ecol. Monogr. 2011, 81, 169–193. [Google Scholar] [CrossRef]
- He, Q.; Silliman, B.R. Climate Change, Human Impacts, and Coastal Ecosystems in the Anthropocene. Curr. Biol. 2019, 29, R1021–R1035. [Google Scholar] [CrossRef]
- Dong, J.-Y.; Wang, X.; Bidegain, G.; Sun, X.; Bian, X.; Zhang, X. Assessment of the Benthic Ecological Quality Status (EcoQs) of Laizhou Bay (China) with an Integrated AMBI, M−AMBI, BENTIX, BO2A and Feeding Evenness Index. Ecol. Indic. 2023, 153, 110456. [Google Scholar] [CrossRef]
- Lu, X.; Xu, J.; Xu, Z.; Liu, X. Assessment of Benthic Ecological Quality Status Using Multi-Biotic Indices Based on Macrofaunal Assemblages in a Semi-Enclosed Bay. Front. Mar. Sci. 2021, 8, 734710. [Google Scholar] [CrossRef]
- Blanchet, H.; Lavesque, N.; Ruellet, T.; Dauvin, J.C.; Sauriau, P.G.; Desroy, N.; Desclaux, C.; Leconte, M.; Bachelet, G.; Janson, A.-L.; et al. Use of Biotic Indices in Semi-Enclosed Coastal Ecosystems and Transitional Waters Habitats—Implications for the Implementation of the European Water Framework Directive. Ecol. Indic. 2008, 8, 360–372. [Google Scholar] [CrossRef]
- Wang, L.; Luo, X.; Yang, J.; Zhang, J.; Fan, Y.; Shen, J. Assessing Benthic Habitat Quality Using Biotic Indices in the Laizhou Bay, China. Acta Oceanol. Sin. 2020, 39, 49–58. [Google Scholar] [CrossRef]
- Dong, J.-Y.; Wang, X.; Zhang, X.; Bidegain, G.; Zhao, L. Integrating Multiple Indices Based on Heavy Metals and Macrobenthos to Evaluate the Benthic Ecological Quality Status of Laoshan Bay, Shandong Peninsula, China. Ecol. Indic. 2023, 153, 110367. [Google Scholar] [CrossRef]
- Liang, J.; Huang, H.-R.; Ma, C.-W.; Son, D.-S.; Kim, S.-K. Using the Heavy Metal Indices and Benthic Indices to Assess the Ecological Quality in the Tidal Flats of Garolim Bay, South Korea. Water 2024, 16, 736. [Google Scholar] [CrossRef]
- Choi, Y.R. Modernization, Development and Underdevelopment: Reclamation of Korean Tidal Flats, 1950s–2000s. Ocean Coast. Manag. 2014, 102, 426–436. [Google Scholar] [CrossRef]
- Ryu, J.S.; Khim, J.S.; Choi, J.W.; Shin, H.C.; An, S.; Park, J.; Kang, D.; Lee, C.-H.; Koh, C.-H. Environmentally Associated Spatial Changes of a Macrozoobenthic Community in the Saemangeum Tidal Flat, Korea. J. Sea Res. 2011, 65, 390–400. [Google Scholar] [CrossRef]
- Choi, J.W.; Seo, J.Y. Application of Biotic Indices to Assess the Health Condition of Benthic Community in Masan Bay, Korea. Ocean Polar Res. 2007, 29, 339–348. [Google Scholar] [CrossRef]
- Borja, A.; Franco, J.; Pérez, V. A Marine Biotic Index to Establish the Ecological Quality of Soft-Bottom Benthos within European Estuarine and Coastal Environments. Mar. Pollut. Bull. 2000, 40, 1100–1114. [Google Scholar] [CrossRef]
- Simboura, N.; Zenetos, A. Benthic Indicators to Use in Ecological Quality Classification of Mediterranean Soft Bottom Marine Ecosystems, Including a New Biotic Index. Medit. Mar. Sci. 2002, 3, 77. [Google Scholar] [CrossRef]
- Dauvin, J.C.; Andrade, H.; de-la-Ossa-Carretero, J.A.; Del-Pilar-Ruso, Y.; Riera, R. Polychaete/Amphipod Ratios: An Approach to Validating Simple Benthic Indicators. Ecol. Indic. 2016, 63, 89–99. [Google Scholar] [CrossRef]
- Muxika, I.; Borja, Á.; Bald, J. Using Historical Data, Expert Judgement and Multivariate Analysis in Assessing Reference Conditions and Benthic Ecological Status, According to the European Water Framework Directive. Mar. Pollut. Bull. 2007, 55, 16–29. [Google Scholar] [CrossRef]
- Borja, Á.; Marín, S.L.; Muxika, I.; Pino, L.; Rodríguez, J.G. Is There a Possibility of Ranking Benthic Quality Assessment Indices to Select the Most Responsive to Different Human Pressures? Mar. Pollut. Bull. 2015, 97, 85–94. [Google Scholar] [CrossRef] [PubMed]
- KORDI (Korea Ocean Research and Development Institute). Marine Environmental Assessment Based on the Benthic Faunal Communities; Report of Management Technique for Marine Environmental Protection Last Year; KORDI: Ansan, Republic of Korea, 1995. [Google Scholar]
- Seo, J.-Y.; Lim, H.-S.; Choi, J.-W. Threshold Value of Benthic Pollution Index (BPI) for a Muddy Healthy Benthic Faunal Community and Its Application to Jinhae Bay in the Southern Coast of Korea. Ocean Sci. J. 2014, 49, 313–328. [Google Scholar] [CrossRef]
- Kim, K.-B.; Jung, Y.-J.; Oh, J.-K.; Kang, H.; Kim, D.-Y.; Lee, D.-H.; Lim, S.-R.; Son, D.-S.; Ma, C.-W. Distribution Patterns of Polychaete Assemblage and Benthic Quality Status Estimated by AMBI in Jindo-Jejudo Subtidal Areas. J. Environ. Impact Assess. 2021, 30, 203–214. [Google Scholar] [CrossRef]
- Bok, Y.-W. Ecological Study of Macrobenthos Community of Northern Area in Asan Bay. Master’s Thesis, Soonchunhyang University, Asan, Republic of Korea, 2017. [Google Scholar]
- Paik, S.G.; Yun, S.G.; Park, H.S.; Lee, J.H.; Ma, C.W. Effects of Sediment Disturbance Caused by Bridge Construction on Macrobenthic Communities in Asan Bay, Korea. J. Environ. Biol. 2008, 29, 559–566. [Google Scholar] [PubMed]
- Lee, J.S.; Kim, K.H.; Shim, J.; Han, J.H.; Choi, Y.H.; Khang, B.-J. Massive Sedimentation of Fine Sediment with Organic Matter and Enhanced Benthic–Pelagic Coupling by an Artificial Dyke in Semi-Enclosed Chonsu Bay, Korea. Mar. Pollut. Bull. 2012, 64, 153–163. [Google Scholar] [CrossRef] [PubMed]
- Lee, J.-H.; Woo, H.J.; Jung, H.S.; Jang, Y.; Jeong, J.B.; Kim, K.; Seo, J.; Ryu, J.-H. Roles of Exposure Time and Geochemical Factors in the Characteristics of the Surface Sediments of the Hwangdo Tidal Flat, Taean, Cheonsu Bay, West Coast of Korea. J. Mar. Sci. Eng. 2023, 11, 1697. [Google Scholar] [CrossRef]
- Kwon, S.Y.; Hwan, H.B.; Hong, J.M.; Lee, T.W. Post-Reclamation Long-Term Changes in Fish Species Composition of Beach Seine Samples in Cheonsu Bay. Ocean Polar Res. 2020, 42, 141–155. [Google Scholar] [CrossRef]
- Kim, D.-S.; Lim, D.; Jeon, S.-K.; Jung, H.-S. Chemical Characteristics and Eutrophication in Cheonsu Bay, West Coast of Korea. Ocean Polar Res. 2005, 27, 45–58. [Google Scholar] [CrossRef]
- Kim, J.-G.; Jang, H.-S. Evaluation of Characteristics of Particle Composition and Pollution of Heavy Metals for Bottom Sediments in Cheonsu Bay, Korea-Comparison of the Sediments Environment of Farming Area and Non-Farming Area. J. Korean Soc. Mar. Environ. Saf. 2014, 20, 358–371. [Google Scholar] [CrossRef]
- Jung, R.-H.; Seo, I.-S.; Lee, W.-C.; Kim, H.-C.; Park, S.R.; Kim, J.B.; Oh, C.W.; Choi, B.-M. Community Structure and Health Assessment of Macrobenthic Assemblages at Spring and Summer in Cheonsu Bay, West Coast of Korea. J. Korean Soc. Oceanogr. 2014, 19, 272–286. [Google Scholar] [CrossRef]
- Park, S.; Choi, M.; Jang, D.; Joe, D.; Park, K.; Lee, H.; Woo, J.; Kim, T.; Park, J. Spatiotemporal Distribution of Dissolved Heavy Metals in Gyeonggi Bay, Korea. Ocean Sci. J. 2020, 55, 69–84. [Google Scholar] [CrossRef]
- Jeong, H.J.; Kim, K.J.; Yang, K.H.; Chang, Y.Y.; Park, S.H.; Kim, Y.T. Study on the Temporal and Spatial Variations of Salinity by Freshwater Discharge in Gyeonggi Bay. J. Environ. Impact Assess. 2007, 16, 421–432. [Google Scholar]
- Won, J.-H.; Lee, Y.-W.; Park, M.-O.; Sun, C.-I. Characteristics of Seawater Quality and Surface Sediments around Youngheung Island in Gyeonggi Bay, the Western Coast of Korea. J. Korean Soc. Mar. Environ. Energy 2020, 23, 246–257. [Google Scholar] [CrossRef]
- Hong, S.H.; Kannan, N.; Yim, U.H.; Li, D.; Kim, M.; Shim, W.J. Assessment of Sediment Contamination by Persistent Organic Pollutants in Gyeonggi Bay, Korea. Toxicol. Environ. Health Sci. 2009, 1, 56–63. [Google Scholar] [CrossRef]
- National Institute of Fisheries Science. National Institute of Fisheries Science Notification of Marine Environmental Process Test Standards 2010; National Institute of Fisheries Science: Busan, Republic of Korea, 2010.
- Borja, A.; Dauer, D.M.; Díaz, R.; Llansó, R.J.; Muxika, I.; Rodríguez, J.G.; Schaffner, L. Assessing Estuarine Benthic Quality Conditions in Chesapeake Bay: A Comparison of Three Indices. Ecol. Indic. 2008, 8, 395–403. [Google Scholar] [CrossRef]
- Seo, J.Y. A Study on the Determination of Threshold Value of Benthic Community Health and Application of Benthic Pollution Index (BPI) to Special Management Areas the Southern Coasts of Korea. Ph.D. Thesis, Pusan National University, Pusan, Republic of Korea, 2016. [Google Scholar]
- Wu, H.-Y.; Fu, S.-F.; Hu, W.-J.; Chen, F.-G.; Cai, X.-Q.; Chen, Q.-H.; Wu, Y.-B. Response of Different Benthic Biotic Indices to Eutrophication and Sediment Heavy Metal Pollution, in Fujian Coastal Water, East China Sea. Chemosphere 2022, 307, 135653. [Google Scholar] [CrossRef] [PubMed]
- Xu, Z.L.; Chen, Y.Q. Aggregated Intensity of Dominant Species of Zooplankton in Autumn in the East China Sea and Yellow Sea. Chin. J. Ecol. 1989, 8, 13–15. [Google Scholar]
- Monserud, R.A.; Leemans, R. Comparing Global Vegetation Maps with the Kappa Statistic. Ecol. Model. 1992, 62, 275–293. [Google Scholar] [CrossRef]
- Kim, S.-K.; Liang, J.; Ma, C.-W. Assessment of Long-Term Variation in the Diversity and Ecological Quality Status Using Multiple Biotic Indices in Subtidal Zone of Cheonsu Bay, Korea 2024. Available online: https://ssrn.com/abstract=4758306 (accessed on 2 May 2024).
- Liang, J.; Ma, C.-W.; Kim, S.-K.; Park, S.-H. Assessing the Benthic Ecological Quality in the Intertidal Zone of Cheonsu Bay, Korea, Using Multiple Biotic Indices. Water 2024, 16, 272. [Google Scholar] [CrossRef]
- Liang, J.; Shu, M.-Y.; Huang, H.-R.; Ma, C.-W.; Kim, S.-K. Using Benthic Indices to Assess the Ecological Quality of Sandy Beaches and the Impact of Urbanisation on Sandy Beach Ecosystems. J. Mar. Sci. Eng. 2024, 12, 487. [Google Scholar] [CrossRef]
- Ryu, J.; Hong, S.; Chang, W.K.; Khim, J.S. Performance Evaluation and Validation of Ecological Indices toward Site-Specific Application for Varying Benthic Conditions in Korean Coasts. Sci. Total Environ. 2016, 541, 1161–1171. [Google Scholar] [CrossRef] [PubMed]
- Borja, A.; Chust, G.; Muxika, I. Forever Young: The Successful Story of a Marine Biotic Index. In Advances in Marine Biology; Elsevier: Amsterdam, The Netherlands, 2019; Volume 82, pp. 93–127. ISBN 978-0-08-102914-5. [Google Scholar]
- Kim, K.-B.; Jung, Y.-J.; Oh, J.-K.; Kang, H.; Son, D.-S.; Ma, C.-W. Macrobenthic Community and Benthic Health Assessment of Central Area in Asan Bay. J. Korean Soc. Fish. Mar. Sci. Educ. 2021, 33, 903–917. [Google Scholar] [CrossRef]
- Jung, R.H.; Seo, I.S.; Choi, M.; Park, S.R.; Choi, B.M.; Kim, M.H.; Kim, Y.J.; Yun, J.S. Community Structure and Health Assessment of Macrobenthic Assemblages during Spring and Summer in the Shellfish Farming Ground of Wonmun Bay, on the Southern Coast of Korea. Korean J. Fish. Aquat. Sci. 2014, 47, 908–926. [Google Scholar] [CrossRef][Green Version]
- Liang, J.; Ma, C.-W.; Son, D.-S. Using the Heavy Metal and Biotic Indices to Assess Ecological Quality in the Central Area of the East Sea, South Korea. Water 2024, 16, 1230. [Google Scholar] [CrossRef]
- Borja, A.; Tunberg, B.G. Assessing Benthic Health in Stressed Subtropical Estuaries, Eastern Florida, USA Using AMBI and M-AMBI. Ecol. Indic. 2011, 11, 295–303. [Google Scholar] [CrossRef]
- Gillett, D.J.; Weisberg, S.B.; Grayson, T.; Hamilton, A.; Hansen, V.; Leppo, E.W.; Pelletier, M.C.; Borja, A.; Cadien, D.; Dauer, D.; et al. Effect of Ecological Group Classification Schemes on Performance of the AMBI Benthic Index in US Coastal Waters. Ecol. Indic. 2015, 50, 99–107. [Google Scholar] [CrossRef]
- Mulik, J.; Sukumaran, S.; Jisna, M.J.; Rao, M.N. Tracing the Impact and Recovery Trajectory of Oil Spill Affected Tropical Rocky Intertidal Macrobenthic Communities Using the BOPA Index. Mar. Pollut. Bull. 2023, 186, 114435. [Google Scholar] [CrossRef]
- Bae, H.; Lee, J.-H.; Song, S.J.; Park, J.; Kwon, B.-O.; Hong, S.; Ryu, J.; Choi, K.; Khim, J.S. Impacts of Environmental and Anthropogenic Stresses on Macrozoobenthic Communities in Jinhae Bay, Korea. Chemosphere 2017, 171, 681–691. [Google Scholar] [CrossRef]
- Simboura, N.; Reizopoulou, S. An Intercalibration of Classification Metrics of Benthic Macroinvertebrates in Coastal and Transitional Ecosystems of the Eastern Mediterranean Ecoregion (Greece). Mar. Pollut. Bull. 2008, 56, 116–126. [Google Scholar] [CrossRef]
- Magni, P.; Vesal, S.E.; Giampaoletti, J.; Como, S.; Gravina, M.F. Joint Use of Biological Traits, Diversity and Biotic Indices to Assess the Ecological Quality Status of a Mediterranean Transitional System. Ecol. Indic. 2023, 147, 109939. [Google Scholar] [CrossRef]
- Prato, S.; Morgana, J.G.; La Valle, P.; Finoia, M.G.; Lattanzi, L.; Nicoletti, L.; Ardizzone, G.D.; Izzo, G. Application of Biotic and Taxonomic Distinctness Indices in Assessing the Ecological Quality Status of Two Coastal Lakes: Caprolace and Fogliano Lakes (Central Italy). Ecol. Indic. 2009, 9, 568–583. [Google Scholar] [CrossRef]
- Liu, L.; Li, B.; Lin, K.; Cai, W.; Wang, Q. Assessing Benthic Ecological Status in Coastal Area near Changjiang River Estuary Using AMBI and M-AMBI. Chin. J. Ocean Limnol. 2014, 32, 290–305. [Google Scholar] [CrossRef]
- Dias, H.Q.; Sukumaran, S.; Mulik, J.; Janakiram, P. Ecological Quality Status Assessment of Tropical Estuaries with Benthic Indices Using Differently Derived Reference Conditions. Mar. Pollut. Bull. 2022, 177, 113457. [Google Scholar] [CrossRef] [PubMed]
- Dimitriou, P.D.; Chatzinikolaou, E.; Arvanitidis, C. Ecological Status Assessment Based on Benthic Macrofauna of Three Mediterranean Ports: Comparisons across Seasons, Activities and Regions. Mar. Pollut. Bull. 2020, 153, 110997. [Google Scholar] [CrossRef]
- Eleftheriou, A.; Robertson, M.R. The Effects of Experimental Scallop Dredging on the Fauna and Physical Environment of a Shallow Sandy Community. Neth. J. Sea Res. 1992, 30, 289–299. [Google Scholar] [CrossRef]
- González-Irusta, J.M.; Punzón, A.; Serrano, A. Environmental and Fisheries Effects on Gracilechinus Acutus (Echinodermata: Echinoidea) Distribution: Is It a Suitable Bioindicator of Trawling Disturbance? ICES J. Mar. Sci. 2012, 69, 1457–1465. [Google Scholar] [CrossRef]
- Caglar, S.; Albayrak, S. Assessment of Ecological Quality Status of Küçükçekmece Bay (Marmara Sea) by Applying BENTIX, AMBI, BOPA and BO2A Biotic Indexes. Medit. Mar. Sci. 2012, 13, 198. [Google Scholar] [CrossRef]
- Mulik, J.; Sukumaran, S.; Srinivas, T.; Vijapure, T. Comparative Efficacy of Benthic Biotic Indices in Assessing the Ecological Quality Status (EcoQS) of the Stressed Ulhas Estuary, India. Mar. Pollut. Bull. 2017, 120, 192–202. [Google Scholar] [CrossRef]
- Jorissen, F.; Nardelli, M.P.; Almogi-Labin, A.; Barras, C.; Bergamin, L.; Bicchi, E.; El Kateb, A.; Ferraro, L.; McGann, M.; Morigi, C.; et al. Developing Foram-AMBI for Biomonitoring in the Mediterranean: Species Assignments to Ecological Categories. Mar. Micropaleontol. 2018, 140, 33–45. [Google Scholar] [CrossRef]
- Aylagas, E.; Borja, Á.; Rodríguez-Ezpeleta, N. Environmental Status Assessment Using DNA Metabarcoding: Towards a Genetics Based Marine Biotic Index (gAMBI). PLoS ONE 2014, 9, e90529. [Google Scholar] [CrossRef]








| Indices | Algorithm | Index Values | EcoQs | References |
|---|---|---|---|---|
| AMBI | 0.0–1.2 | High | [19] | |
| 1.2–3.3 | Good | |||
| 3.3–5.0 | Moderate | |||
| 5.0–6.0 | Poor | |||
| >6.0 | Bad | |||
| BENTIX | 6–4.5 | High | [20] | |
| 4.5–3.5 | Good | |||
| 3.5–2.5 | Moderate | |||
| 2.5–2.0 | Poor | |||
| 0.0 | Bad | |||
| BOPA | 0–0.02452 | High | [21] | |
| 0.02453–0.13002 | Good | |||
| 0.13003–0.19884 | Moderate | |||
| 0.19885–0.25512 | Poor | |||
| 0.25513–0.30103 | Bad | |||
| BPI | 60–100 | High | [25] | |
| 40–60 | Good | |||
| 30–40 | Moderate | |||
| 20–30 | Poor | |||
| 0–20 | Bad | |||
| M-AMBI | >0.77 | High | [22] | |
| 0.53–0.77 | Good | |||
| 0.38–0.53 | Moderate | |||
| 0.20–0.38 | Poor | |||
| ≤0.2 | Bad |
| Composite Index | Assessment | Final Ecological Quality |
|---|---|---|
| 0 | All indices have assessed the ecological quality of the station as unacceptable. | Unacceptable |
| 1 | Four indices have assessed the ecological quality of the station as unacceptable. | Unacceptable |
| 2 | Three indices have assessed the ecological quality of the station as unacceptable. | Unacceptable |
| 3 | Two indices have assessed the ecological quality of the station as unacceptable. | Unacceptable |
| 4 | One index has assessed the ecological quality of the station as unacceptable. | Acceptable |
| 5 | Five indices have assessed the ecological quality of the station as acceptable. | Acceptable |
| Sampling Area | Taxa | Specie | Dominant Value | AMBI Ecological Group | BPI Functional Group |
|---|---|---|---|---|---|
| Asan Bay | Polychaeta | Ampharete arctica | 0.17 | EGI | N2 |
| Ophiuroidea | Amphiodia craterodmeta | 0.15 | EGI | N1 | |
| Malacostraca | Corophium sp. | 0.10 | EGIII | N2 | |
| Polychaeta | Heteromastus filiformis | 0.04 | EGIII | N3 | |
| Malacostraca | Ampelisca bocki | 0.02 | EGI | N1 | |
| Bivalvia | Raetella pulchella | 0.02 | EGIV | N4 | |
| Cheonsu Bay | Bivalvia | Theora lata | 0.13 | EGIV | N4 |
| Polychaeta | Heteromastus koreanus | 0.12 | EGIII | N3 | |
| Malacostraca | Monocorophium sp. | 0.03 | EGIII | N2 | |
| Polychaeta | Sigambra hanaokai | 0.03 | EGIV | N4 | |
| Gyeonggi Bay | Polychaeta | Heteromastus filiformis | 0.25 | EGIII | N3 |
| Polychaeta | Sternaspis scutata | 0.04 | EGIII | N3 |
| Benthic Indices | High | Good | Moderate | Poor | Bad |
|---|---|---|---|---|---|
| AMBI | 40% | 50% | 10% | 0% | 0% |
| BENTIX | 50% | 20% | 30% | 0% | 0% |
| BOPA | 100% | 0% | 0% | 0% | 0% |
| BPI | 70% | 10% | 10% | 10% | 0% |
| MAMBI | 0% | 70% | 30% | 0% | 0% |
| Benthic Indices | High | Good | Moderate | Poor | Bad |
|---|---|---|---|---|---|
| AMBI | 5% | 86% | 9% | 0% | 0% |
| BENTIX | 23% | 27% | 46% | 4% | 0% |
| BOPA | 55% | 41% | 0% | 5% | 0% |
| BPI | 32% | 27% | 18% | 18% | 5% |
| MAMBI | 5% | 68% | 23% | 4% | 0% |
| Benthic Indices | High | Good | Moderate | Poor | Bad |
|---|---|---|---|---|---|
| AMBI | 23% | 77% | 0% | 0% | 0% |
| BENTIX | 38% | 31% | 23% | 8% | 0% |
| BOPA | 92% | 8% | 0% | 0% | 0% |
| BPI | 62% | 24% | 14% | 0% | 0% |
| MAMBI | 15% | 62% | 23% | 0% | 0% |
Disclaimer/Publisher’s Note: The statements, opinions and data contained in all publications are solely those of the individual author(s) and contributor(s) and not of MDPI and/or the editor(s). MDPI and/or the editor(s) disclaim responsibility for any injury to people or property resulting from any ideas, methods, instructions or products referred to in the content. |
© 2024 by the authors. Licensee MDPI, Basel, Switzerland. This article is an open access article distributed under the terms and conditions of the Creative Commons Attribution (CC BY) license (https://creativecommons.org/licenses/by/4.0/).
Share and Cite
Liang, J.; Ma, C.-W.; Kim, K.-B.; Son, D.-S. Can the Ecological Quality of Several Bays in South Korea Be Accurately Assessed Using Multiple Benthic Biotic Indices? J. Mar. Sci. Eng. 2024, 12, 1179. https://doi.org/10.3390/jmse12071179
Liang J, Ma C-W, Kim K-B, Son D-S. Can the Ecological Quality of Several Bays in South Korea Be Accurately Assessed Using Multiple Benthic Biotic Indices? Journal of Marine Science and Engineering. 2024; 12(7):1179. https://doi.org/10.3390/jmse12071179
Chicago/Turabian StyleLiang, Jian, Chae-Woo Ma, Kwang-Bae Kim, and Dae-Sun Son. 2024. "Can the Ecological Quality of Several Bays in South Korea Be Accurately Assessed Using Multiple Benthic Biotic Indices?" Journal of Marine Science and Engineering 12, no. 7: 1179. https://doi.org/10.3390/jmse12071179
APA StyleLiang, J., Ma, C.-W., Kim, K.-B., & Son, D.-S. (2024). Can the Ecological Quality of Several Bays in South Korea Be Accurately Assessed Using Multiple Benthic Biotic Indices? Journal of Marine Science and Engineering, 12(7), 1179. https://doi.org/10.3390/jmse12071179

