Spatiotemporal Distribution Characteristics and Influencing Factors of Dissolved Potentially Toxic Elements along Guangdong Coastal Water, South China
Abstract
1. Introduction
2. Materials and Methods
2.1. Study Sites
2.2. Sampling and Analysis
2.3. Pollution Assessment Methods
2.4. Data Analysis
3. Results and Discussion
3.1. Spatial and Seasonal Distributions of Physicochemical Factors
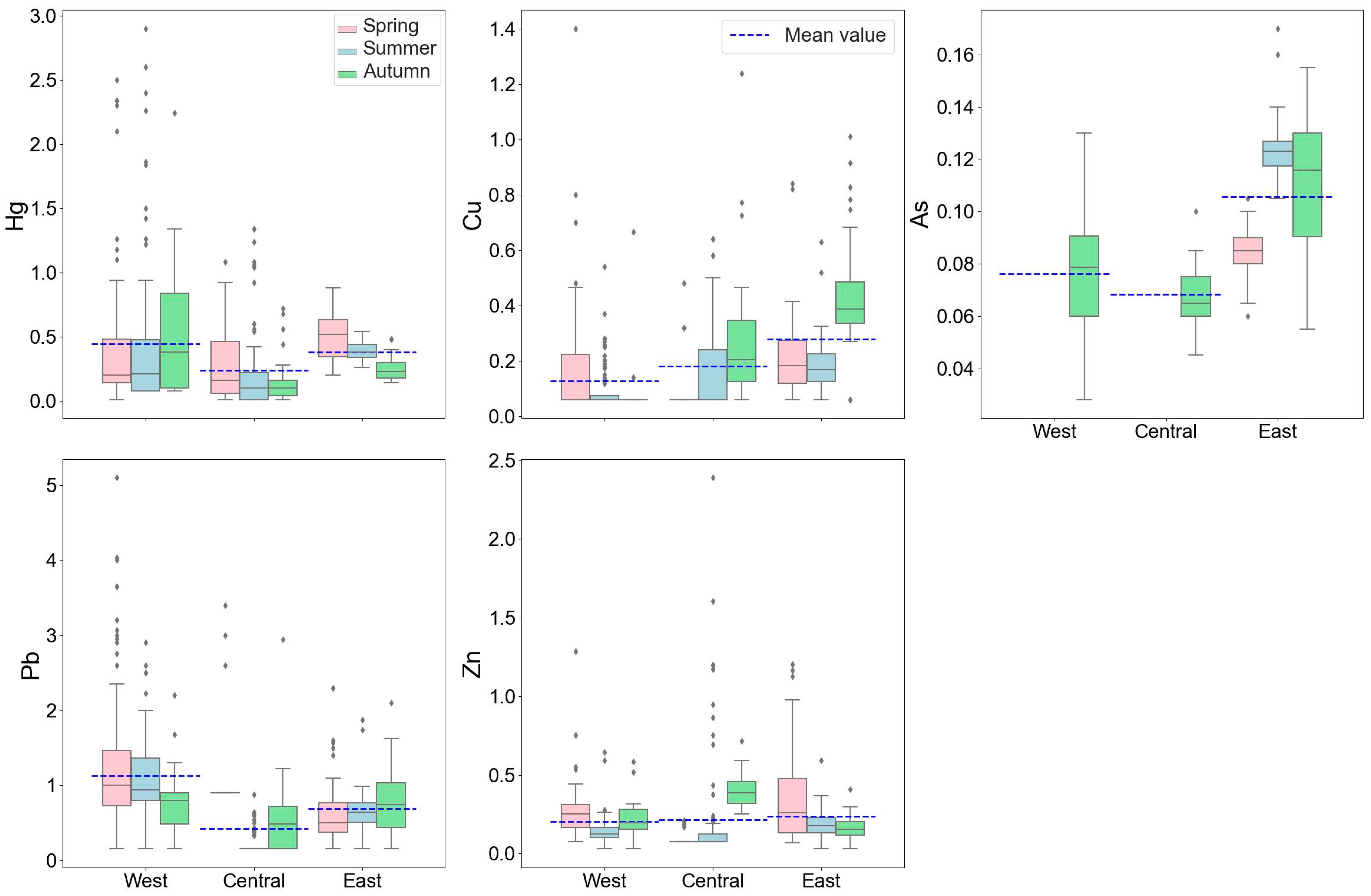
3.2. Spatial and Seasonal Distributions of PTE
3.3. Statistical Analysis Results of Physicochemical Factors and PTE
4. Conclusions
Supplementary Materials
Author Contributions
Funding
Institutional Review Board Statement
Informed Consent Statement
Data Availability Statement
Conflicts of Interest
References
- Arikibe, J.E.; Prasad, S. Determination and comparison of selected heavy metal concentrations in seawater and sediment samples in the coastal area of Suva, Fiji. Mar. Pollut. Bull. 2020, 157, 111157. [Google Scholar] [CrossRef] [PubMed]
- Shen, C.; Shi, H.; Zheng, W.; Ding, D. Spatial heterogeneity of ecosystem health and its sensitivity to pressure in the waters of nearshore archipelago. Ecol. Indic. 2016, 61, 822–832. [Google Scholar] [CrossRef]
- Simenstad, C.; Yanagi, T. 1.01—Introduction to Classification of Estuarine and Nearshore Coastal Ecosystems. In Treatise on Estuarine and Coastal Science; Wolanski, E., McLusky, D., Eds.; Academic Press: Waltham, MA, USA, 2011; pp. 1–6. [Google Scholar]
- Liu, X.; Yu, S. Anthropogenic metal loads in nearshore sediment along the coast of China mainland interacting with provincial socioeconomics in the period 1980–2020. Sci. Total Environ. 2022, 839, 156286. [Google Scholar] [CrossRef] [PubMed]
- Zhang, S.; Pan, S.; Li, G.; Liu, Z. Spatial variation, sources, and potential ecological risk of metals in sediment in the northern South China Sea. Mar. Pollut. Bull. 2022, 181, 113929. [Google Scholar] [CrossRef] [PubMed]
- Pradit, S.; Noppradit, P.; Jitkaew, P.; Sengloyluan, K.; Kobkeatthawin, T.; Laerosa, A.; Sirivithayapakorn, S. Heavy Metal Contamination and Ecological Risk Assessment in the Sediment Cores of the Wetlands in Southern Thailand. J. Mar. Sci. Eng. 2022, 10, 1921. [Google Scholar] [CrossRef]
- Du, J.Z.; Mu, H.D.; Song, H.Q.; Yan, S.P.; Gu, Y.J.; Zhang, J. 100 years of sediment history of heavy metals in Daya Bay, China. Water Air Soil Pollut. 2008, 190, 343–351. [Google Scholar] [CrossRef]
- Shi, J.; Li, X.; He, T.; Wang, J.; Wang, Z.; Li, P.; Lai, Y.; Sanganyado, E.; Liu, W. Integrated assessment of heavy metal pollution using transplanted mussels in eastern Guangdong, China. Environ. Pollut. 2018, 243, 601–609. [Google Scholar] [CrossRef] [PubMed]
- Zhang, L.; Shi, Z.; Zhang, J.; Jiang, Z.; Wang, F.; Huang, X. Toxic heavy metals in sediments, seawater, and molluscs in the eastern and western coastal waters of Guangdong Province, South China. Environ. Monit. Assess. 2016, 188. [Google Scholar] [CrossRef] [PubMed]
- Wang, L.; Wang, X.; Chen, H.; Wang, Z.; Jia, X. Oyster arsenic, cadmium, copper, mercury, lead and zinc levels in the northern South China Sea: Long-term spatiotemporal distributions, combined effects, and risk assessment to human health. Environ. Sci. Pollut. Res. 2022, 29, 12706–12719. [Google Scholar] [CrossRef]
- Zhang, L.; Yan, W.; Xie, Z.; Cai, G.; Mi, W.; Xu, W. Bioaccumulation and changes of trace metals over the last two decades in marine organisms from Guangdong coastal regions, South China. J. Environ. Sci. 2020, 98, 103–108. [Google Scholar] [CrossRef]
- Kuang, Z.; Gu, Y.; Rao, Y.; Huang, H. Biological Risk Assessment of Heavy Metals in Sediments and Health Risk Assessment in Marine Organisms from Daya Bay, China. J. Mar. Sci. Eng. 2021, 9, 17. [Google Scholar] [CrossRef]
- Akcay, H.; Oguz, A.; Karapire, C. Study of heavy metal pollution and speciation in Buyak Menderes and Gediz river sediments. Water Res. 2003, 37, 813–822. [Google Scholar] [CrossRef] [PubMed]
- Morillo, J.; Usero, J.; Gracia, I. Heavy metal distribution in marine sediments from the southwest coast of Spain. Chemosphere 2004, 55, 431–442. [Google Scholar] [CrossRef] [PubMed]
- Nicolau, R.; Galera-Cunha, A.; Lucas, Y. Transfer of nutrients and labile metals from the continent to the sea by a small Mediterranean river. Chemosphere 2006, 63, 469–476. [Google Scholar] [CrossRef] [PubMed]
- Nouri, J.; Lorestani, B.; Yousefi, N.; Khorasani, N.; Hasani, A.H.; Seif, F.; Cheraghi, M. Phytoremediation potential of native plants grown in the vicinity of Ahangaran lead-zinc mine (Hamedan, Iran). Environ. Earth Sci. 2011, 62, 639–644. [Google Scholar] [CrossRef]
- Al-Kahtany, K.; El-Sorogy, A.S.; Alharbi, T.; Giacobbe, S.; Nour, H.E. Health risk assessment and contamination of potentially toxic elements in southwest of the Red Sea coastal sediment. Reg. Stud. Mar. Sci. 2023, 65, 103103. [Google Scholar] [CrossRef]
- Park, S.; Choi, M.; Jang, D.; Joe, D.; Park, K. Distribution and Sources of Dissolved and Particulate Heavy Metals (Mn, Co, Ni, Cu, Zn, Cd, Pb) in Masan Bay, Korea. Ocean Sci. J. 2020, 55. [Google Scholar] [CrossRef]
- Vardhan, K.H.; Kumar, P.S.; Panda, R.C. A review on heavy metal pollution, toxicity and remedial measures: Current trends and future perspectives. J. Mol. Liq. 2019, 290. [Google Scholar] [CrossRef]
- Tao, A. Study on the path of coordinated development between carbon emission reduction and economy in Guangdong Province. Energy Rep. 2022, 8, 477–481. [Google Scholar] [CrossRef]
- Yang, Y.; Chen, F.; Zhang, L.; Liu, J.; Wu, S.; Kang, M. Comprehensive assessment of heavy metal contamination in sediment of the Pearl River Estuary and adjacent shelf. Mar. Pollut. Bull. 2012, 64, 1947–1955. [Google Scholar] [CrossRef]
- Bi, M.; Xie, G.; Yao, C. Ecological security assessment based on the renewable ecological footprint in the Guangdong-Hong Kong-Macao Greater Bay Area, China. Ecol. Indic. 2020, 116, 106432. [Google Scholar] [CrossRef]
- Song, C.; Sun, C.; Xu, J.; Fan, F. Establishing coordinated development index of urbanization based on multi-source data: A case study of Guangdong-Hong Kong-Macao Greater Bay Area, China. Ecol. Indic. 2022, 140, 109030. [Google Scholar] [CrossRef]
- Liu, J. Accumulation of Heavy Metals in Multi-Phase Media and Their Transfer and Biomagnification in Food Web of Laizhou Bay; University of Chinese Academy of Sciences: Beijing, China, 2013. [Google Scholar]
- Tiwari, A.K.; Singh, P.K.; Mahato, M.K. Assessment of Metal Contamination in the Mine Water of the West Bokaro Coalfield, India. Mine Water Environ. 2017, 36, 532–541. [Google Scholar] [CrossRef]
- Islam, M.S.; Ahmed, M.K.; Raknuzzaman, M.; Habibullah-Al-Mamun, M.; Islam, M.K. Heavy metal pollution in surface water and sediment: A preliminary assessment of an urban river in a developing country. Ecol. Indic. 2015, 48, 282–291. [Google Scholar] [CrossRef]
- Ma, H.; Zhang, Y.; Liu, Z.; Chen, Y.; Lv, G. Pollution Characteristics of Heavy Metals in Surface Sediments of the Shuimo River in Urumqi, China. Metals 2023, 13, 1578. [Google Scholar] [CrossRef]
- Zhou, J. Distribution of Mercury in the Surface Water of the Yellow Sea and Bohai Sea; Ocean University of China: Qingdao, China, 2014. [Google Scholar]
- Zhang, X.; Cai, Y.; Chen, Q.; Zhong, M. Analysis of regional characteristics of industrial clusters in Guangdong Province. Product. Res. 2019, 73–81+153. (In Chinese) [Google Scholar] [CrossRef]
- Zhao, X.; Ji, X.; Qi, X. Study on Characteristic Pollutants of Wastewater in Major Wastewater Discharge Industries in China. In Proceedings of the Chinese Society of Environmental Sciences 2022 Annual Meeting of Science and Technology, Nanchang, China, 15 July 2022. [Google Scholar]
- Zhang, M.; Chen, G.; Luo, Z.; Sun, X.; Xu, J. Spatial distribution, source identification, and risk assessment of heavy metals in seawater and sediments from Meishan Bay, Zhejiang coast, China. Mar. Pollut. Bull. 2020, 156, 111217. [Google Scholar] [CrossRef]
- Pan, K.; Wang, W.-X. Trace metal contamination in estuarine and coastal environments in China. Sci. Total Environ. 2012, 421–422, 3–16. [Google Scholar] [CrossRef] [PubMed]
- Wang, S.-L.; Xu, X.-R.; Sun, Y.-X.; Liu, J.-L.; Li, H.-B. Heavy metal pollution in coastal areas of South China: A review. Mar. Pollut. Bull. 2013, 76, 7–15. [Google Scholar] [CrossRef]
- Wang, X.; Zhang, Y.; Luo, M.; Xiao, K.; Wang, Q.; Tian, Y.; Qiu, W.; Xiong, Y.; Zheng, C.; Li, H. Radium and nitrogen isotopes tracing fluxes and sources of submarine groundwater discharge driven nitrate in an urbanized coastal area. Sci. Total Environ. 2021, 763, 144616. [Google Scholar] [CrossRef]
- Feng, J.; Zhu, X.; Wu, H.; Ning, C.; Lin, G. Distribution and ecological risk assessment of heavy metals in surface sediments of a typical restored mangrove-aquaculture wetland in Shenzhen, China. Mar. Pollut. Bull. 2017, 124, 1033–1039. [Google Scholar] [CrossRef] [PubMed]
- Gu, Y.G.; Jiang, S.J.; Lin, Q.; Du, F.Y.; Zhang, L.B. Spatial, source, and risk assessment of heavy metals in sediments from the biggest mariculture base of eastern Guangdong coast, China. Fresenius Environ. Bull. 2013, 22, 3210–3216. [Google Scholar]
- Zuo, P.; Wang, Y.; Min, F.; Cheng, J. Distribution characteristics of heavy metals in surface sediments and core sediments of the Shenzhen Bay in Guangdong Province, China. Acta Oceanol. Sin. 2009, 28, 53–60. [Google Scholar]
- Zhang, D.; Zhang, X.; Tian, L.; Ye, F.; Huang, X.; Zeng, Y.; Fan, M. Seasonal and spatial dynamics of trace elements in water and sediment from Pearl River Estuary, South China. Environ. Earth Sci. 2013, 68, 1053–1063. [Google Scholar] [CrossRef]
- Liu, Y.; Kuang, W.; Xu, J.; Chen, J.; Sun, X.; Lin, C.; Lin, H. Distribution, source and risk assessment of heavy metals in the seawater, sediments, and organisms of the Daya Bay, China. Mar. Pollut. Bull. 2022, 174, 113297. [Google Scholar] [CrossRef] [PubMed]
- Luo, M.; Zhang, Y.; Li, H.; Hu, W.; Xiao, K.; Yu, S.; Zheng, C.; Wang, X. Pollution assessment and sources of dissolved heavy metals in coastal water of a highly urbanized coastal area: The role of groundwater discharge. Sci. Total Environ. 2022, 807, 151070. [Google Scholar] [CrossRef] [PubMed]
- Zhang, L.; Shi, Z.; Zhang, J.; Jiang, Z.; Wang, F.; Huang, X. Spatial and seasonal characteristics of dissolved heavy metals in the east and west Guangdong coastal waters, South China. Mar. Pollut. Bull. 2015, 95, 419–426. [Google Scholar] [CrossRef] [PubMed]
- Geng, J.; Wang, Y.; Luo, H. Distribution, sources, and fluxes of heavy metals in the Pearl River Delta, South China. Mar. Pollut. Bull. 2015, 101, 914–921. [Google Scholar] [CrossRef] [PubMed]
- GB 17378-2007; The Specification for Marine Monitoring. Standards Press of China: Beijing, China, 2007.
- Sun, X.; Li, B.-S.; Liu, X.-L.; Li, C.-X. Spatial Variations and Potential Risks of Heavy Metals in Seawater, Sediments, and Living Organisms in Jiuzhen Bay, China. J. Chem. 2020, 2020, 7971294. [Google Scholar] [CrossRef]
- Yan, N.; Liu, W.; Xie, H.; Gao, L.; Han, Y.; Wang, M.; Li, H. Distribution and assessment of heavy metals in the surface sediment of Yellow River, China. J. Environ. Sci. 2015, 39, 45–51. [Google Scholar] [CrossRef]
- GB 3097-1997; Sea Water Quality Standard. China Environmental Science Press: Beijing, China, 1997.
- Bakri, B.; Sumakin, A.; Widiasari, Y.; Mukrim, M. Distribution pattern of water salinity analysis in Jeneberang river estuary using ArcGIS. IOP Conf. Ser. Earth Environ. Sci. 2020, 419, 012116. [Google Scholar] [CrossRef]
- Zheng, Q.; Zhao, H.; Shi, Y.; Duan, M. Distribution Characteristics of Dissolved Oxygen in Spring in the Northern Coastal Beibu Gulf, a Typical Subtropical Bay. Water 2023, 15, 970. [Google Scholar] [CrossRef]
- China Meteorological Data Service Centre. Available online: https://data.cma.cn/site/ (accessed on 1 December 2023).
- Qiao, L. Reginal Oceanography of China Seas—Physical Oceanography; China Ocean Press: Beijing, China, 2012. [Google Scholar]
- Wang, J.; Tsang, L.M.; Dong, Y. Causations of phylogeographic barrier of some rocky shore species along the Chinese coastline. BMC Evol. Biol. 2015, 15, 114. [Google Scholar] [CrossRef]
- Song, Y. Research on Evolution of Spatial Distribution of Manufacturing Industry in Guangdong Province; Jilin University: Changchun, China, 2019. [Google Scholar]
- Gong, J.C.F.; Zheng, L.; Cao, W.; Li, Q.; Han, B.; Liu, X. The Concentrations and Pollution Assessment of Heavy Metal in Surface Seawater in Honghai Bay. Adv. Mar. Sci. 2021, 38, 11. [Google Scholar]
- Lin, H.S.; Li, H.J.; Yang, X.L.; Xu, Z.Z.; Tong, Y.D.; Yu, X.G. Comprehensive Investigation and Assessment of Nutrient and Heavy Metal Contamination in the Surface Water of Coastal Bohai Sea in China. J. Ocean Univ. China 2020, 19, 843–852. [Google Scholar] [CrossRef]
- Liu, R.; Jiang, W.; Li, F.; Pan, Y.; Wang, C.; Tian, H. Occurrence, partition, and risk of seven heavy metals in sediments, seawater, and organisms from the eastern sea area of Shandong Peninsula, Yellow Sea, China. J. Environ. Manag. 2021, 279, 111771. [Google Scholar] [CrossRef]
- Hu, X.; Shi, X.; Su, R.; Jin, Y.; Ren, S.; Li, X. Spatiotemporal patterns and influencing factors of dissolved heavy metals off the Yangtze River Estuary, East China Sea. Mar. Pollut. Bull. 2022, 182, 113975. [Google Scholar] [CrossRef]
- Lao, Q.; Su, Q.; Liu, G.; Shen, Y.; Chen, F.; Lei, X.; Qing, S.; Wei, C.; Zhang, C.; Gao, J. Spatial distribution of and historical changes in heavy metals in the surface seawater and sediments of the Beibu Gulf, China. Mar. Pollut. Bull. 2019, 146, 427–434. [Google Scholar] [CrossRef]
- Mohamed, A.E.; Heba, M.E.E.; Ahmed, R.E.; Mahmoud, S.K.; Ghada, Y.Z. Spatial distribution and risk assessment of heavy metals in the coastal waters of the Gulf of Suez, Red Sea, Egypt. Mar. Pollut. Bull. 2023, 193, 115122. [Google Scholar] [CrossRef]
- Mookan, V.P.; Machakalai, R.K.; Srinivasan, S.; Sigamani, S.; Kolandhasamy, P.; Gnanamoorthy, P.; Moovendhan, M.; Srinivasan, R.; Hatamleh, A.A.; Ai-Dosary, M.A. Assessment of metal contaminants along the Bay of Bengal — Multivariate pollution indices. Mar. Pollut. Bull. 2023, 192, 115008. [Google Scholar] [CrossRef]
- Reyes-Márquez, A.; Aguíñiga-García, S.; Morales-García, S.S.; Sedeño-Díaz, J.E.; López-López, E. Temporal distribution patterns of metals in water, sediment, and components of the trophic structure in a tropical coastal lagoon of the Gulf of Mexico. Environ. Sci. Pollut. Res. 2022, 29, 61643–61661. [Google Scholar] [CrossRef] [PubMed]
- Habib, S.B.; Hossain, M.B.; Hossain, M.S.; Jolly, Y.N.; Sarker, S. Ecological risk evaluation in bottom-surface sediments and sub-surface water in the subtropical Meghna estuarine system. Heliyon 2021, 7, e08324. [Google Scholar] [CrossRef] [PubMed]
- Jiang, S. Distribution and Behavior of Dissolved Lead in the Antarctic Peninsula and the Northwestern Pacific Ocean; East China Normal University: Shanghai, China, 2021. [Google Scholar]
- Zhang, H. Transformation and Environmental Effect of Mercury and Some Heavy Metals in Yangtze River Estuary and Its Adjacent Area; Ocean University of China: Qingdao, China, 2015. [Google Scholar]
- Garg, S.; Gauns, M. Chapter 11—Marine environmental chemistry and ecotoxicology of heavy metals. In Metals in Water; Shukla, S.K., Kumar, S., Madhav, S., Mishra, P.K., Eds.; Elsevier: Amsterdam, The Netherlands, 2023; pp. 195–211. [Google Scholar]
- Zhang, Y. Heavy Metals’ Process in Water and Pollution Risk Assessment in Surface Sediments of the Yellow River Estuary, Yangtze Estuary and Pearl River Estuary; Third Institute of Oceanography, Ministry of Natural Resources: Xiamen, China, 2013. [Google Scholar]
- Cheng, Y. Behavior of Dissolved Arsenic in the Jiaozhou Bay, East China Sea and Part of South China Sea; Ocean University of China: Qingdao, China, 2005. [Google Scholar]
- Lu, Y.; Pan, D.; Yang, T.; Wang, C. Distribution characteristics and controlling factors of typical heavy metals in Huanghe River estuary, China. J. Oceanol. Limnol. 2023, 41, 150–165. [Google Scholar] [CrossRef]





| Location | Concentration | Reference | ||||
|---|---|---|---|---|---|---|
| Cu | Pb | Zn | Hg | As | ||
| West GD (2019) Central GD (2019) East GD (2019) | 0.61 0.96 1.39 | 1.05 0.63 0.69 | 4.22 4.64 4.75 | 0.024 0.011 0.019 | 1.52 1.36 2.11 | This study |
| West GD (2006) East GD (2006) | 1.91 2.24 | 1.81 1.94 | 11.86 14.05 | - | 1.86 2.48 | [41] |
| Honghai Bay, East GD (2017) | 1.99 | 1.03 | 11.62 | 0.037 | 1.03 | [51] |
| Daya Bay, Central GD (2020) | 1.61 | 0.603 | 4.08 | 0.023 | 1.83 | [39] |
| Pearl River Estuary, Central GD (2019) | 1.14 | 1.08 | 24.1 | - | 1.24 | [40] |
| Luanhekou Estuary (2017) | 0.89 | 0.66 | 13.59 | 0.05 | 1.72 | [54] |
| Bohai Bay (2017) | 2.24 | 1.10 | 6.08 | 0.02 | 1.96 | |
| Yellow River Estuary (2017) | 1.83 | 1.34 | 16.18 | 0.02 | 1.18 | |
| Shandong Peninsula (2016) | 2.46 | 1.51 | 17.2 | - | 0.98 | [55] |
| Yangtze River Estuary (2019) | 0.383 | 0.084 | 0.330 | - | 1.89 | [56] |
| Beibu Gulf (2017) | 3.03 | 0.71 | 10.0 | 0.10 | 0.74 | [57] |
| Tampamachoco, Gulf of Mexico (2019) | 1.37 | 1.92 | 0.24 | [60] | ||
| Gulf of Suez, Egypt (2021) | 0.95 | 1.47 | 5.44 | - | - | [58] |
| Meghna Estuary, Bangladesh (2017) | 5.25 | 6.9 | 4.39 | [59] | ||
| Palk Bay, India | 0.66 | 0.05 | 2.66 | - | - | [61] |
| Item | PC1 | PC2 | PC3 |
|---|---|---|---|
| Salinity | 0.938 | ||
| COD | −0.886 | ||
| pH | 0.852 | ||
| Chl a | −0.621 | 0.401 | |
| Do | 0.548 | ||
| Hg | 0.537 | 0.341 | |
| Cu | 0.894 | ||
| As | 0.343 | 0.681 | |
| Zn | 0.576 | 0.563 | |
| Pb | 0.767 | ||
| Variance % | 35.95% | 16.98% | 12.70% |
| Cumulative % | 35.95% | 52.93% | 65.63% |
Disclaimer/Publisher’s Note: The statements, opinions and data contained in all publications are solely those of the individual author(s) and contributor(s) and not of MDPI and/or the editor(s). MDPI and/or the editor(s) disclaim responsibility for any injury to people or property resulting from any ideas, methods, instructions or products referred to in the content. |
© 2024 by the authors. Licensee MDPI, Basel, Switzerland. This article is an open access article distributed under the terms and conditions of the Creative Commons Attribution (CC BY) license (https://creativecommons.org/licenses/by/4.0/).
Share and Cite
Kang, G.; Chen, H.; Hu, C.; Wang, F.; Qi, Z. Spatiotemporal Distribution Characteristics and Influencing Factors of Dissolved Potentially Toxic Elements along Guangdong Coastal Water, South China. J. Mar. Sci. Eng. 2024, 12, 896. https://doi.org/10.3390/jmse12060896
Kang G, Chen H, Hu C, Wang F, Qi Z. Spatiotemporal Distribution Characteristics and Influencing Factors of Dissolved Potentially Toxic Elements along Guangdong Coastal Water, South China. Journal of Marine Science and Engineering. 2024; 12(6):896. https://doi.org/10.3390/jmse12060896
Chicago/Turabian StyleKang, Gelin, Hanbao Chen, Chuanqi Hu, Fangzheng Wang, and Zuoda Qi. 2024. "Spatiotemporal Distribution Characteristics and Influencing Factors of Dissolved Potentially Toxic Elements along Guangdong Coastal Water, South China" Journal of Marine Science and Engineering 12, no. 6: 896. https://doi.org/10.3390/jmse12060896
APA StyleKang, G., Chen, H., Hu, C., Wang, F., & Qi, Z. (2024). Spatiotemporal Distribution Characteristics and Influencing Factors of Dissolved Potentially Toxic Elements along Guangdong Coastal Water, South China. Journal of Marine Science and Engineering, 12(6), 896. https://doi.org/10.3390/jmse12060896

