Chaotic Phase Modulation Direct-Sequence Spread Spectrum-Assisted Adaptive Serial Cancellation List Decoding Method for Underwater Acoustic Communication
Abstract
1. Introduction
- Proposal of a novel decoding method integrating CPMDSSS with an SCL decoder for underwater acoustic OFDM communication. The method involves segmenting the information bits to be transmitted, computing CRC for each segment, and mapping all CRCs to a CPMDSSS, which is then modulated onto the pilot subcarriers of underwater acoustic orthogonal frequency-division multiplexing (OFDM) to increase spectrum efficiency.
- The proposed method checks CRCs and adaptively selects the number of decoding paths for each information segment. Compared to traditional CA-SCL decoders, the proposed method reduces the decoding latency and storage requirements.
2. Polar Coder and Decoder
2.1. Construction of Polar Code
2.2. SC Decoder
2.3. CA-SCL Decoder
3. The Proposal Method
3.1. Chaotic Phase Modulation Direct-Sequence Spread Spectrum
3.2. The Encoder of the Proposed Method
3.3. The Decoder of the Proposed Method
3.4. Performance Analysis
3.4.1. Storage Space Requirements Analysis
3.4.2. Decoding Complexity and Latency Analysis
3.4.3. Spectral Efficiency Analysis
4. Numerical Simulations and Sea Trials
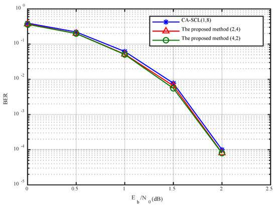
4.1. Numerical Simulation Results and Analysis
4.2. Sea Trial Results and Analysis
5. Conclusions
Author Contributions
Funding
Institutional Review Board Statement
Informed Consent Statement
Data Availability Statement
Conflicts of Interest
References
- Arikan, E. Channel Combining and Splitting for Cutoff Rate Improvement. IEEE Trans. Inf. Theory 2006, 52, 628–639. [Google Scholar] [CrossRef]
- Chiu, M.-C. Analysis and Design of Polar-Coded Modulation. IEEE Trans. Commun. 2022, 70, 1508–1521. [Google Scholar] [CrossRef]
- Han, S.; Kim, B.; Ha, J. Rate-Compatible Punctured Polar Codes. IEEE Commun. Lett. 2022, 26, 753–757. [Google Scholar] [CrossRef]
- Shen, Y.; Zhou, W.; Huang, Y.; Zhang, Z.; You, X.; Zhang, C. Fast Iterative Soft-Output List Decoding of Polar Codes. IEEE Trans. Signal Process. 2022, 70, 1361–1376. [Google Scholar] [CrossRef]
- Chen, C.; Zhang, X.; Liu, Y.; Wang, W.; Zeng, Q. An Ultra-Low Comsplexity Early Stopping Criterion for Belief Propagation Polar Code Decoder. IEEE Commun. Lett. 2022, 26, 723–727. [Google Scholar] [CrossRef]
- Arikan, E. Channel Polarization: A Method for Constructing Capacity-Achieving Codes for Symmetric Binary-Input Memoryless Channels. IEEE Trans. Inf. Theory 2009, 55, 3051–3073. [Google Scholar] [CrossRef]
- Tal, I.; Vardy, A. List Decoding of Polar Codes. IEEE Trans. Inf. Theory 2015, 61, 2213–2226. [Google Scholar] [CrossRef]
- Niu, K.; Chen, K. CRC-Aided Decoding of Polar Codes. IEEE Commun. Lett. 2012, 16, 1668–1671. [Google Scholar] [CrossRef]
- Zhou, H.; Zhang, C.; Song, W.; Xu, S.; You, X. Segmented CRC-Aided SC List Polar Decoding. In Proceedings of the 2016 IEEE 83rd Vehicular Technology Conference (VTC Spring), Nanjing, China, 15–18 May 2016; pp. 1–5. [Google Scholar]
- Ercan, F.; Condo, C.; Hashemi, S.A.; Gross, W.J. On Error-Correction Performance and Implementation of Polar Code List Decoders for 5G. In Proceedings of the 2017 55th Annual Allerton Conference on Communication, Control, and Computing (Allerton), Monticello, IL, USA, 3–6 October 2017; pp. 443–449. [Google Scholar]
- Hashemi, S.A.; Condo, C.; Gross, W.J. Simplified Successive-Cancellation List Decoding of Polar Codes. In Proceedings of the 2016 IEEE International Symposium on Information Theory (ISIT), Barcelona, Spain, 10–15 July 2016; pp. 815–819. [Google Scholar]
- Hashemi, S.A.; Condo, C.; Gross, W.J. Fast Simplified Successive-Cancellation List Decoding of Polar Codes. In Proceedings of the 2017 IEEE Wireless Communications and Networking Conference Workshops (WCNCW), San Francisco, CA, USA, 19–22 March 2017; pp. 1–6. [Google Scholar]
- Li, B.; Shen, H.; Tse, D. An Adaptive Successive Cancellation List Decoder for Polar Codes with Cyclic Redundancy Check. IEEE Commun. Lett. 2012, 16, 2044–2047. [Google Scholar] [CrossRef]
- Trifonov, P. Efficient Design and Decoding of Polar Codes. IEEE Trans. Commun. 2012, 60, 3221–3227. [Google Scholar] [CrossRef]
- Kraidy, G.M. Performance Analysis of Low Density Parity-Check Codes over the Bernoulli-Gaussian Channel. In Proceedings of the 2019 16th Canadian Workshop on Information Theory (CWIT), Hamilton, ON, Canada, 2–5 June 2019; pp. 1–5. [Google Scholar]
- Balatsoukas-Stimming, A.; Parizi, M.B.; Burg, A. LLR-Based Successive Cancellation List Decoding of Polar Codes. IEEE Trans. Signal Process. 2015, 63, 5165–5179. [Google Scholar] [CrossRef]
- Wang, P.; Yang, Q.; Hu, Y.; Xiong, J.; Jia, Y.; Guo, D. A Novel Voting Model Based on Parity Check Equations for Blind Detection of M-Sequences. IEEE Access 2024, 12, 34131–34140. [Google Scholar] [CrossRef]
- Liu, S.; Zhou, Z.; Adhikary, A.R.; Yang, Y. New Supersets of Zadoff-Chu Sequences via the Weil Bound. Cryptogr. Commun. 2023, 16, 89–108. [Google Scholar] [CrossRef]
- Wu, L.; Yin, X.; Chen, H.; Chen, P.; Fang, Y. Differential Pulse-Position Modulation for Multi-User Chaotic Communication. IEEE Trans. Veh. Technol. 2024, 1–15. [Google Scholar] [CrossRef]
- Li, C.; Marzani, F.; Yang, F. Demodulation of Chaos Phase Modulation Spread Spectrum Signals Using Machine Learning Methods and Its Evaluation for Underwater Acoustic Communication. Sensors 2018, 18, 4217. [Google Scholar] [CrossRef] [PubMed]
- Umar, T.; Nadeem, M.; Anwer, F. Modified Chaotic Quadratic Map with Improved Robust Region. Int. J. Inf. Tecnol. 2024, 16, 131–136. [Google Scholar] [CrossRef]
- Rugini, L. Linear Equalization for Multicode MC-CDMA Downlink Channels. IEEE Commun. Lett. 2012, 16, 1353–1356. [Google Scholar] [CrossRef]
- Hara, S.; Prasad, R. Overview of Multicarrier CDMA. IEEE Commun. Mag. 1997, 35, 126–133. [Google Scholar] [CrossRef]
- Wang, R.; Liu, R. A Novel Puncturing Scheme for Polar Codes. IEEE Commun. Lett. 2014, 18, 2081–2084. [Google Scholar] [CrossRef]
- Rugini, L. SEP Bounds for MPSK With Low SNR. IEEE Commun. Lett. 2020, 24, 2473–2477. [Google Scholar] [CrossRef]






| Parameters | M = 2 | L = 4 | N = 1024 | M = 4 | L = 4 | N = 1024 |
|---|---|---|---|---|---|---|
| (Rmem)worst | 0.750 | 0.500 | ||||
| Rdelay | 0.725 | 0.592 | ||||
| Parameter | Value | Parameter | Value |
|---|---|---|---|
| codeword length N | 1024 | data subcarriers | 340 |
| code rate | 0.5 | symbol duration | 171 ms |
| sampling rate | 48 kHz | FFT length | 8192 |
| bandwidth | 4–8 kHz | cyclic prefix | 43 ms |
| pilot subcarriers | 340 | modulation | QPSK |
| Eb/N0 | 0 | 0.5 | 1 | 1.5 | 2 |
|---|---|---|---|---|---|
| CA-SCL (1, 8) | 16 | 16 | 16 | 16 | 16 |
| Proposed method (2, 4) | 14.46 | 14.71 | 9.23 | 5.15 | 1.99 |
| Proposed method (4, 2) | 14.59 | 14.04 | 7.38 | 3.22 | 1.43 |
| Decoding Method | Average Decoding BER | Average Decoding Paths | Average Decoding Delay (s) |
|---|---|---|---|
| SC | 3.14 × 10−3 | 1 | 0.0116 |
| CA-SCL | 7.56 × 10−4 | 16 | 0.0667 |
| The proposed method (4, 2) | 7.23 × 10−4 | 4.52 | 0.0234 |
Disclaimer/Publisher’s Note: The statements, opinions and data contained in all publications are solely those of the individual author(s) and contributor(s) and not of MDPI and/or the editor(s). MDPI and/or the editor(s) disclaim responsibility for any injury to people or property resulting from any ideas, methods, instructions or products referred to in the content. |
© 2024 by the authors. Licensee MDPI, Basel, Switzerland. This article is an open access article distributed under the terms and conditions of the Creative Commons Attribution (CC BY) license (https://creativecommons.org/licenses/by/4.0/).
Share and Cite
Sun, Y.; Hong, D.; Liu, D.; Lei, J. Chaotic Phase Modulation Direct-Sequence Spread Spectrum-Assisted Adaptive Serial Cancellation List Decoding Method for Underwater Acoustic Communication. J. Mar. Sci. Eng. 2024, 12, 948. https://doi.org/10.3390/jmse12060948
Sun Y, Hong D, Liu D, Lei J. Chaotic Phase Modulation Direct-Sequence Spread Spectrum-Assisted Adaptive Serial Cancellation List Decoding Method for Underwater Acoustic Communication. Journal of Marine Science and Engineering. 2024; 12(6):948. https://doi.org/10.3390/jmse12060948
Chicago/Turabian StyleSun, Yuan, Danyang Hong, Dong Liu, and Jinyu Lei. 2024. "Chaotic Phase Modulation Direct-Sequence Spread Spectrum-Assisted Adaptive Serial Cancellation List Decoding Method for Underwater Acoustic Communication" Journal of Marine Science and Engineering 12, no. 6: 948. https://doi.org/10.3390/jmse12060948
APA StyleSun, Y., Hong, D., Liu, D., & Lei, J. (2024). Chaotic Phase Modulation Direct-Sequence Spread Spectrum-Assisted Adaptive Serial Cancellation List Decoding Method for Underwater Acoustic Communication. Journal of Marine Science and Engineering, 12(6), 948. https://doi.org/10.3390/jmse12060948

