Dynamic Analysis of a Moored Spar Platform in a Uniform Current: Fluid Load Prediction Using a Surrogate Model
Abstract
1. Introduction
- The current velocity is uniform across the water depth.
- Wave-induced loads and vortex-induced vibrations are ignored.
- The hydrodynamic loads are expressed by using the Morison formula, and the influence of the structure on the current is ignored.
- The three chains used in FOWTS are simplified as three slender ropes herein.
2. Numerical Model
2.1. Spar Model
2.2. Cable Model
2.3. Connection Model
2.3.1. Spherical Joint
2.3.2. Spring Force
2.4. Environment Loads Model
2.4.1. Current Model
2.4.2. Wind Model
3. Surrogate Model
3.1. Data Acquisition
3.2. Artificial Neural Network Prediction
3.2.1. Neural Network Structure
3.2.2. Establishment of Neural Networks
4. Verification
4.1. Coupled Model
4.2. Without Wind
4.3. Constant Wind
4.4. Sinusoidal Wind
5. Conclusions
- (1)
- The surrogate model, based on artificial neural networks (ANN), effectively predicts the viscous drag force acting on the spar. Small root mean square error (RMSE) and errors in the coupled model indicate that the surrogate model exhibits excellent performance in predicting the fluid loads on the spar in uniform currents.
- (2)
- An efficient and reasonable method of database establishment is proposed, integrating two parts of the database including large fluctuation and steady-state fluctuation. The random function is used to acquire the distribution of input variables in the database based on the numerical model.
- (3)
- The additional mass inertia matrix should be calculated separately so that the acceleration items can be calculated easily.
- (4)
- Due to the mooring system, errors in one direction affect the accuracy of the surrogate model in other directions. Therefore, the coupled model is convergent when errors of the surrogate model in all directions are acceptable.
- (5)
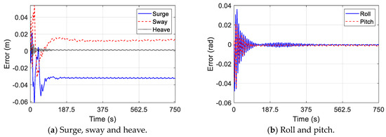
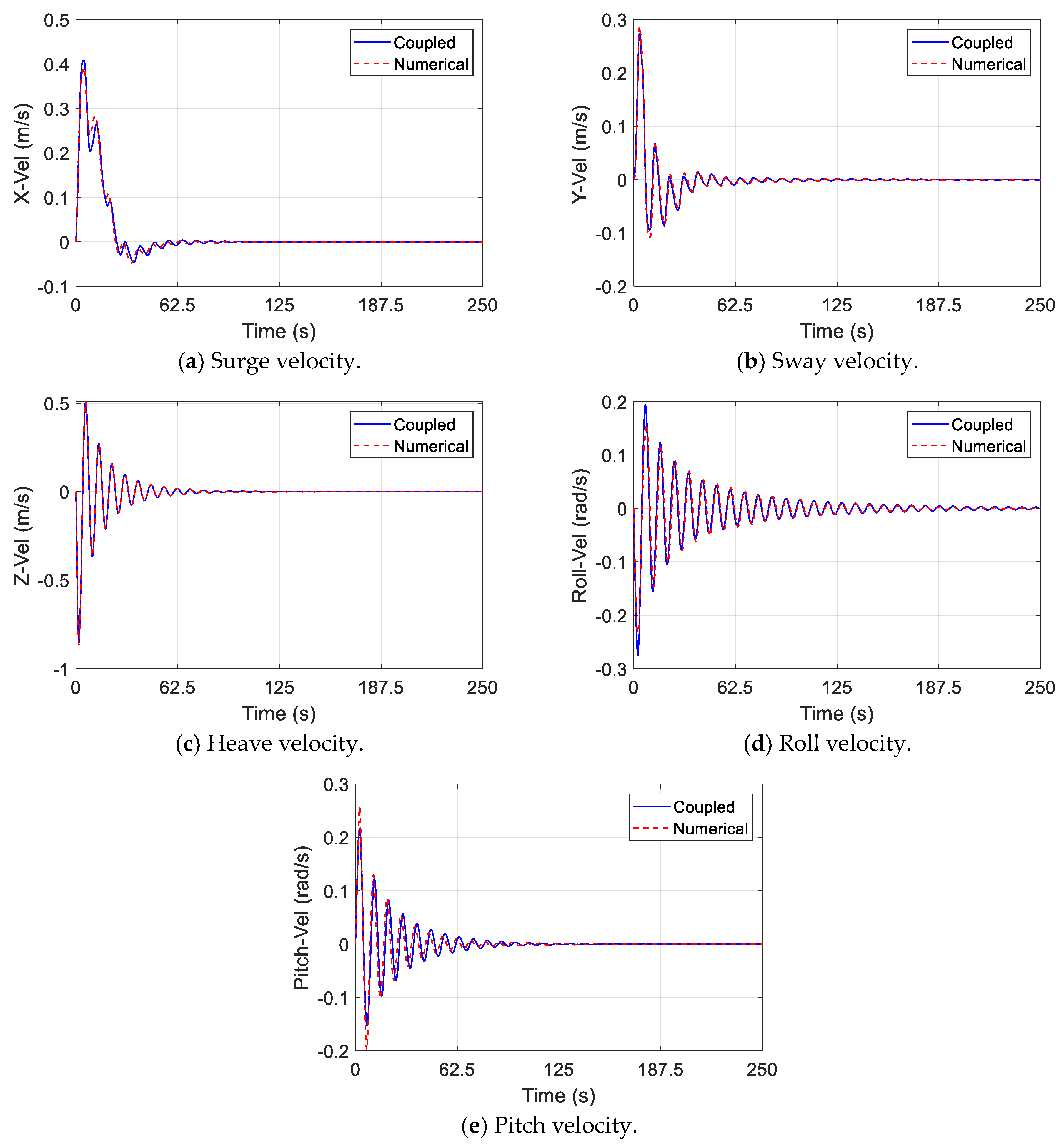
- The errors in the numerical–surrogate coupled model have been analyzed to demonstrate the performance of the coupled model in different wind styles. Comparing the errors of the coupled model in three wind styles, it is observed that the errors in the heave, surge velocity and sway velocities decrease to zero with time. Steady-state errors exist in surge and sway, and these errors are equal to the integral of the errors in the surge and sway velocities. Although the errors in roll and pitch imported into the coupled model are generated by the surrogate model, these errors do not diverge. The error analysis indicates that the surrogate model has potential application value in predicting complex external forces of mechanical systems operating in various environments.
Author Contributions
Funding
Institutional Review Board Statement
Informed Consent Statement
Data Availability Statement
Acknowledgments
Conflicts of Interest
References
- Kiuru, P.; D’Auria, M.V.; Muller, C.D.; Tammela, P.; Vuorela, H.; Yli-Kauhaluoma, J. Exploring marine resources for bioactive compounds. Planta Med. 2014, 80, 1234–1246. [Google Scholar] [CrossRef] [PubMed]
- Selvaraju, S.; Ilaiyavel, S. Applications of composites in marine industry. J. Eng. Res. Stud. 2011, 2, 89–91. [Google Scholar]
- Chen, J. Development of offshore wind power in China. Renew. Sustain. Energy Rev. 2011, 15, 5013–5020. [Google Scholar] [CrossRef]
- Sun, X.; Huang, D.; Wu, G. The current state of offshore wind energy technology development. Energy 2012, 41, 298–312. [Google Scholar] [CrossRef]
- Barooni, M.; Ashuri, T.; Velioglu Sogut, D.; Wood, S.; Ghaderpour Taleghani, S. Floating Offshore Wind Turbines: Current Status and Future Prospects. Energies 2022, 16, 2. [Google Scholar] [CrossRef]
- Breton, S.-P.; Moe, G. Status, plans and technologies for offshore wind turbines in Europe and North America. Renew. Energy 2009, 34, 646–654. [Google Scholar] [CrossRef]
- Jonkman, J.M. Dynamics Modeling and Loads Analysis of an Offshore Floating Wind Turbine; University of Colorado at Boulder: Boulder, CO, USA, 2007. [Google Scholar]
- Jonkman, J.M. Dynamics of offshore floating wind turbines—Model development and verification. Wind Energy Int. J. Prog. Appl. Wind Power Convers. Technol. 2009, 12, 459–492. [Google Scholar] [CrossRef]
- Hashemi, A.; Orzechowski, G.; Mikkola, A.; McPhee, J. Multibody dynamics and control using machine learning. Multibody Syst. Dyn. 2023, 58, 397–431. [Google Scholar] [CrossRef]
- Yang, J.; He, Y.P.; Zhao, Y.S.; Yang, X.Y.; Zhang, G.R. Coupled dynamic response analysis of multi-column floating offshore wind turbine with low center of gravity. J. Ocean Eng. Sci. 2024, 9, 25–39. [Google Scholar] [CrossRef]
- Zhang, Z.; Wang, X.; Zhang, X.; Zhou, C.; Wang, X. Dynamic responses and mooring line failure analysis of the fully submersible platform for floating wind turbine under typhoon. Eng. Struct. 2024, 301, 117334. [Google Scholar] [CrossRef]
- Neisi, A.; Ghassemi, H.; Iranmanesh, M. Effect of the multi-segment mooring system failure on the dynamic motions of the floating platform. Ocean Eng. 2023, 290, 116371. [Google Scholar] [CrossRef]
- Yin, D.; Passano, E.; Jiang, F.; Lie, H.; Wu, J.; Ye, N.; Sævik, S.; Leira, B.J. State-of-the-art review of vortex-induced motions of floating offshore wind turbine structures. J. Mar. Sci. Eng. 2022, 10, 1021. [Google Scholar] [CrossRef]
- Gonçalves, R.T.; Chame, M.E.; Silva, L.S.; Koop, A.; Hirabayashi, S.; Suzuki, H. Experimental flow-induced motions of a FOWT semi-submersible type (OC4 phase II floater). J. Offshore Mech. Arct. Eng. 2021, 143, 012004. [Google Scholar] [CrossRef]
- Goncalves, R.T.; Meneghini, J.R.; Fujarra, A.L. Vortex-induced vibration of floating circular cylinders with very low aspect ratio. Ocean Eng. 2018, 154, 234–251. [Google Scholar] [CrossRef]
- Carlson, D.W.; Modarres-Sadeghi, Y. Vortex-induced vibration of spar platforms for floating offshore wind turbines. Wind Energy 2018, 21, 1169–1176. [Google Scholar] [CrossRef]
- Chen, C.; Zhou, J.W.; Li, F.M.; Gong, D.H. Nonlinear vortex-induced vibration of wind turbine towers: Theory and experimental validation. Mech. Syst. Signal Process. 2023, 204, 110772. [Google Scholar] [CrossRef]
- Zhu, X.; Wang, Y.; Yoo, W.-S.; Nicoll, R.; Ren, H. Stability analysis of spar platform with four mooring cables in consideration of cable dynamics. Ocean Eng. 2021, 236, 109522. [Google Scholar] [CrossRef]
- Zhu, X.; Yoo, W.-S. Numerical modeling of a spar platform tethered by a mooring cable. Chin. J. Mech. Eng. 2015, 28, 785–792. [Google Scholar] [CrossRef]
- Hwang, J.T.; Martins, J.R. A fast-prediction surrogate model for large datasets. Aerosp. Sci. Technol. 2018, 75, 74–87. [Google Scholar] [CrossRef]
- Wortmann, T.; Costa, A.; Nannicini, G.; Schroepfer, T. Advantages of surrogate models for architectural design optimization. AI EDAM 2015, 29, 471–481. [Google Scholar] [CrossRef]
- Zhu, X.; Li, X.; Pei, Y.; Ren, H.; Choi, J.-H. An efficient surrogate model-based method for deep-towed seismic system optimization. Ocean Eng. 2023, 268, 113463. [Google Scholar] [CrossRef]
- Li, X.; Zhu, X.; Sun, M.; Qu, Y.; Liu, K.; Pei, Y.; Choi, J.-H. Surrogate model-based optimization of drogue dimensions and towing operations to straighten deep-towed nonuniform arrays. Ocean Eng. 2024, 299, 117321. [Google Scholar] [CrossRef]
- Li, Y.F.; Ng, S.H.; Xie, M.; Goh, T.N. A systematic comparison of metamodeling techniques for simulation optimization in Decision Support Systems. Appl. Soft Comput. 2010, 10, 1257–1273. [Google Scholar] [CrossRef]
- Guo, X.X.; Zhang, X.T.; Tian, X.L.; Li, X.; Lu, W.Y. Predicting heave and surge motions of a semi-submersible with neural networks. Appl. Ocean Res. 2021, 112, 102708. [Google Scholar] [CrossRef]
- Liu, Y.C.; Duan, W.Y.; Huang, L.M.; Duan, S.L.; Ma, X.W. The input vector space optimization for LSTM deep learning model in real-time prediction of ship motions. Ocean Eng. 2020, 213, 107681. [Google Scholar] [CrossRef]
- Kleijnen, J.P.C. Kriging metamodeling in simulation: A review. Eur. J. Oper. Res. 2009, 192, 707–716. [Google Scholar] [CrossRef]
- Majdisova, Z.; Skala, V. Radial basis function approximations: Comparison and applications. Appl. Math. Model. 2017, 51, 728–743. [Google Scholar] [CrossRef]
- Pendharkar, P.C. A Radial Basis Function Neural Network for Stochastic Frontier Analyses of General Multivariate Production and Cost Functions. Neural Process. Lett. 2023, 55, 6247–6268. [Google Scholar] [CrossRef] [PubMed]
- Yu, Y.; Yao, H.; Liu, Y. Aircraft dynamics simulation using a novel physics-based learning method. Aerosp. Sci. Technol. 2019, 87, 254–264. [Google Scholar] [CrossRef]
- Chojaczyk, A.A.; Teixeira, A.P.; Neves, L.C.; Cardoso, J.B.; Soares, C.G. Review and application of Artificial Neural Networks models in reliability analysis of steel structures. Struct. Saf. 2015, 52, 78–89. [Google Scholar] [CrossRef]
- Brunton, S.L.; Noack, B.R.; Koumoutsakos, P. Machine Learning for Fluid Mechanics. Annu. Rev. Fluid Mech. 2020, 52, 477–508. [Google Scholar] [CrossRef]
- Zhu, X.; Sun, M.; He, T.; Yu, K.; Zong, L.; Choi, J.-H. Study of the cone-shaped drogue for a deep-towed multi-channel seismic survey system based on data-driven simulations. J. Mar. Sci. Eng. 2021, 9, 1367. [Google Scholar] [CrossRef]
- DNV. Recommended Practice DNV-RP-C205 on Environmental Conditions and Environmental Loads; Det Norske Veritas: Høvik, Norway, 2010. [Google Scholar]
- Zhu, X.Q.; Yoo, W.S.; Bauchau, O.A. Dynamic analysis of mooring cable fastening a floating sphere on the ocean. In Proceedings of the International Design Engineering Technical Conferences and Computers and Information in Engineering Conference, Portland, OR, USA, 4–7 August 2013; p. V07AT10A029. [Google Scholar]
- Zhu, X.Q.; Yoo, W.S. New construction of reference frame for underwater cable. In Proceedings of the International Conference on Offshore Mechanics and Arctic Engineering, San Francisco, CA, USA, 8–13 June 2014; p. V04BT02A028. [Google Scholar]
- Zhu, X.; Yoo, W.S. Suggested new element reference frame for dynamic analysis of marine cables. Nonlinear Dyn. 2017, 87, 489–501. [Google Scholar] [CrossRef]
- Nikravesh, P.E. Computer-Aided Analysis of Mechanical Systems; Prentice-Hall, Inc.: Englewood Cliffs, NJ, USA, 1988. [Google Scholar]
- Shabana, A.A. Computational Dynamics; John Wiley & Sons: Hoboken, NJ, USA, 2009. [Google Scholar]
- Greenwood, D.T. Principles of Dynamics; Prentice-Hall: Englewood Cliffs, NJ, USA, 1988; Volume 21. [Google Scholar]
- Böhning, D. Multinomial logistic regression algorithm. Ann. Inst. Stat. Math. 1992, 44, 197–200. [Google Scholar] [CrossRef]
- Stulp, F.; Sigaud, O. Many regression algorithms, one unified model: A review. Neural Netw. 2015, 69, 60–79. [Google Scholar] [CrossRef] [PubMed]
- Bourquin, J.; Schmidli, H.; van Hoogevest, P.; Leuenberger, H. Advantages of Artificial Neural Networks (ANNs) as alternative modelling technique for data sets showing non-linear relationships using data from a galenical study on a solid dosage form. Eur. J. Pharm. Sci. 1998, 7, 5–16. [Google Scholar] [CrossRef] [PubMed]
- Livingstone, D.J.; Manallack, D.T.; Tetko, I.V. Data modelling with neural networks: Advantages and limitations. J. Comput.-Aided Mol. Des. 1997, 11, 135–142. [Google Scholar] [CrossRef]
- Mijwel, M.M. Artificial neural networks advantages and disadvantages. Mesopotamian J. Big Data 2021, 2021, 29–31. [Google Scholar] [CrossRef]
- Tu, J.V. Advantages and disadvantages of using artificial neural networks versus logistic regression for predicting medical outcomes. J. Clin. Epidemiol. 1996, 49, 1225–1231. [Google Scholar] [CrossRef]
- Bolcskei, H.; Grohs, P.; Kutyniok, G.; Petersen, P. Optimal approximation with sparsely connected deep neural networks. SIAM J. Math. Data Sci. 2019, 1, 8–45. [Google Scholar] [CrossRef]
- Hornik, K.; Stinchcombe, M.; White, H. Multilayer feedforward networks are universal approximators. Neural Netw. 1989, 2, 359–366. [Google Scholar] [CrossRef]
- Li, X.; Liu, G. The improvement of BP algorithm and its application. J.-Sichuan Univ. Eng. Sci. Ed. 2000, 32, 105–109. [Google Scholar]
- Shen, H.; Wang, Z.; Gao, C.; Qin, J.; Yao, F.; Xu, W. Determining the number of BP neural network hidden layer units. J. Tianjin Univ. Technol. 2008, 24, 13. [Google Scholar]
- Ge, Z.; Sun, Z. Neural Network Theory and MATLAB7 Implementation; Publishing House of Electronics Industry: Beijing, China, 2005. [Google Scholar]



















| Parameter | Value |
|---|---|
| Diameter Db/m | 1.0 |
| Mass Mb/kg | 6000 |
| Length Lb/m | 12 |
| Center of mass CM/m | −4 |
| 1.1 | |
| Added-mass coefficient | 0.8 |
| Cross-area Ab/m2 | 0.785 |
| Parameter | Value |
|---|---|
| /m | 0.05 |
| /(kg·m–3) | 3570 |
| Elastic modulus E/GPa | 2.38 |
| /(N·s·m–1) | −10,000 |
| Transversal drag coef. Cn | 1.15 |
| Longitudinal drag coef. Cf | 0.001 |
| Added-mass coef. | 1 |
| /m /m /m | (1, 0, −1.4531) (−2.5, 0.433, −1.4531) (−2.5, −0.433, −1.4531) |
| /m /m /m | (120, 0, −50) (−60, 103.923, −50) (−60, −103.923, −50) |
| Single cable length S/m | 142.5 |
| Parameter | Value |
|---|---|
| Stiffness coef. ks/(MN·m–1) | 87.8 |
| Damping coef. cs/(MN·s·m–1) | 3.3 |
| Parameter | Value Range |
|---|---|
| X-direction current velocity/(m/s) | [−0.1, 0.4] |
| Y-direction current velocity/(m/s) | [−0.1, 0.2] |
| Z-direction displacement/(m) | [−3.9, 1.1] |
| Roll/(rad) | [−0.35, 0.35] |
| Pitch/(rad) | [−0.5, 0.5] |
| X-direction velocity/(m/s) | [−0.6, 0.6] |
| Y-direction velocity/(m/s) | [−0.5, 0.5] |
| Z-direction velocity/(m/s) | [−1.5, 1.5] |
| Roll angular velocity (rad/s) | [−0.4, 0.4] |
| Pitch angular velocity (rad/s) | [−0.4, 0.4] |
| Parameter | Value Range |
|---|---|
| X-direction current velocity/(m/s) | [−0.1, 0.4] |
| Y-direction current velocity/(m/s) | [−0.1, 0.2] |
| Z-direction displacement/(m) | [−1.9, −0.9] |
| Roll/(rad) | [−0.05, 0.05] |
| Pitch/(rad) | [−0.1, 0.1] |
| X-direction velocity/(m/s) | [−0.05, 0.05] |
| Y-direction velocity/(m/s) | [−0.03, 0.03] |
| Z-direction velocity/(m/s) | [−0.05, 0.05] |
| Roll angular velocity (rad/s) | [−0.05, 0.05] |
| Pitch angular velocity (rad/s) | [−0.05, 0.05] |
| Items | No. of Hidden Layers | No. of Nodes per Layer |
|---|---|---|
| Fx | 6 | 32 |
| Fy | 10 | 50 |
| Fz | 10 | 32 |
| Mx | 6 | 50 |
| My | 10 | 32 |
| Items | Net Structure | Initial Learn Rate | Attenuation Factor | Period | Epoch | RMSE |
|---|---|---|---|---|---|---|
| Fx | Input-32nodes × 6layers-output | 0.01 | 0.99 | 300 | 40,000 | 0.008434 |
| Fy | Input-50nodes × 10layers-output | 0.01 | 0.99 | 300 | 40,000 | 0.009267 |
| Fz | Input-32nodes × 10layers-output | 0.01 | 0.99 | 300 | 40,000 | 0.001079 |
| Mx | Input-50nodes × 6layers-output | 0.01 | 0.9 | 300 | 40,000 | 0.009808 |
| My | Input-32nodes × 10layers-output | 0.01 | 0.99 | 300 | 40,000 | 0.007135 |
| Parameter | Value |
|---|---|
| X-direction displacement/(m) | 0 |
| Y-direction displacement/(m) | 0 |
| Z-direction displacement/(m) | 0 |
| Roll/(rad) | pi/6 |
| Pitch/(rad) | −pi/9 |
| Yaw/(rad) | 0 |
| X-direction current velocity/(m/s) | 0.2 |
| Y-direction current velocity/(m/s) | 0.1 |
Disclaimer/Publisher’s Note: The statements, opinions and data contained in all publications are solely those of the individual author(s) and contributor(s) and not of MDPI and/or the editor(s). MDPI and/or the editor(s) disclaim responsibility for any injury to people or property resulting from any ideas, methods, instructions or products referred to in the content. |
© 2024 by the authors. Licensee MDPI, Basel, Switzerland. This article is an open access article distributed under the terms and conditions of the Creative Commons Attribution (CC BY) license (https://creativecommons.org/licenses/by/4.0/).
Share and Cite
Wei, X.; Zhu, X.; Cao, R.; Wang, J.; Li, X.; Li, Q.; Choi, J.-H. Dynamic Analysis of a Moored Spar Platform in a Uniform Current: Fluid Load Prediction Using a Surrogate Model. J. Mar. Sci. Eng. 2024, 12, 792. https://doi.org/10.3390/jmse12050792
Wei X, Zhu X, Cao R, Wang J, Li X, Li Q, Choi J-H. Dynamic Analysis of a Moored Spar Platform in a Uniform Current: Fluid Load Prediction Using a Surrogate Model. Journal of Marine Science and Engineering. 2024; 12(5):792. https://doi.org/10.3390/jmse12050792
Chicago/Turabian StyleWei, Xinming, Xiangqian Zhu, Ruiyang Cao, Jinglei Wang, Xinyu Li, Qing’an Li, and Jin-Hwan Choi. 2024. "Dynamic Analysis of a Moored Spar Platform in a Uniform Current: Fluid Load Prediction Using a Surrogate Model" Journal of Marine Science and Engineering 12, no. 5: 792. https://doi.org/10.3390/jmse12050792
APA StyleWei, X., Zhu, X., Cao, R., Wang, J., Li, X., Li, Q., & Choi, J.-H. (2024). Dynamic Analysis of a Moored Spar Platform in a Uniform Current: Fluid Load Prediction Using a Surrogate Model. Journal of Marine Science and Engineering, 12(5), 792. https://doi.org/10.3390/jmse12050792

