The Characteristics of Submesoscale Eddies near the Coastal Regions of Eastern Japan: Insights from Sentinel-1 Imagery
Abstract
1. Introduction
2. Materials and Methods
2.1. Study Area
- Kuroshio meandering;
- Kuroshio–Oyashio Extension region;
- The Oyashio Current near the Tohoku Region;
- The Tsugaru Strait;
- The Tsushima Warm Current;
- The Kuril Islands (Russia);
- The northern coast of Hokkaido;
- The western coast of Hokkaido;
2.2. Sentinel-1 SAR Imagery
2.3. Methods of the Eddy Feature Extraction
2.4. Other Supplementary Datasets
3. Results
3.1. Typical Signatures of Submesoscale Eddies near the Coastal Regions of Eastern Japan
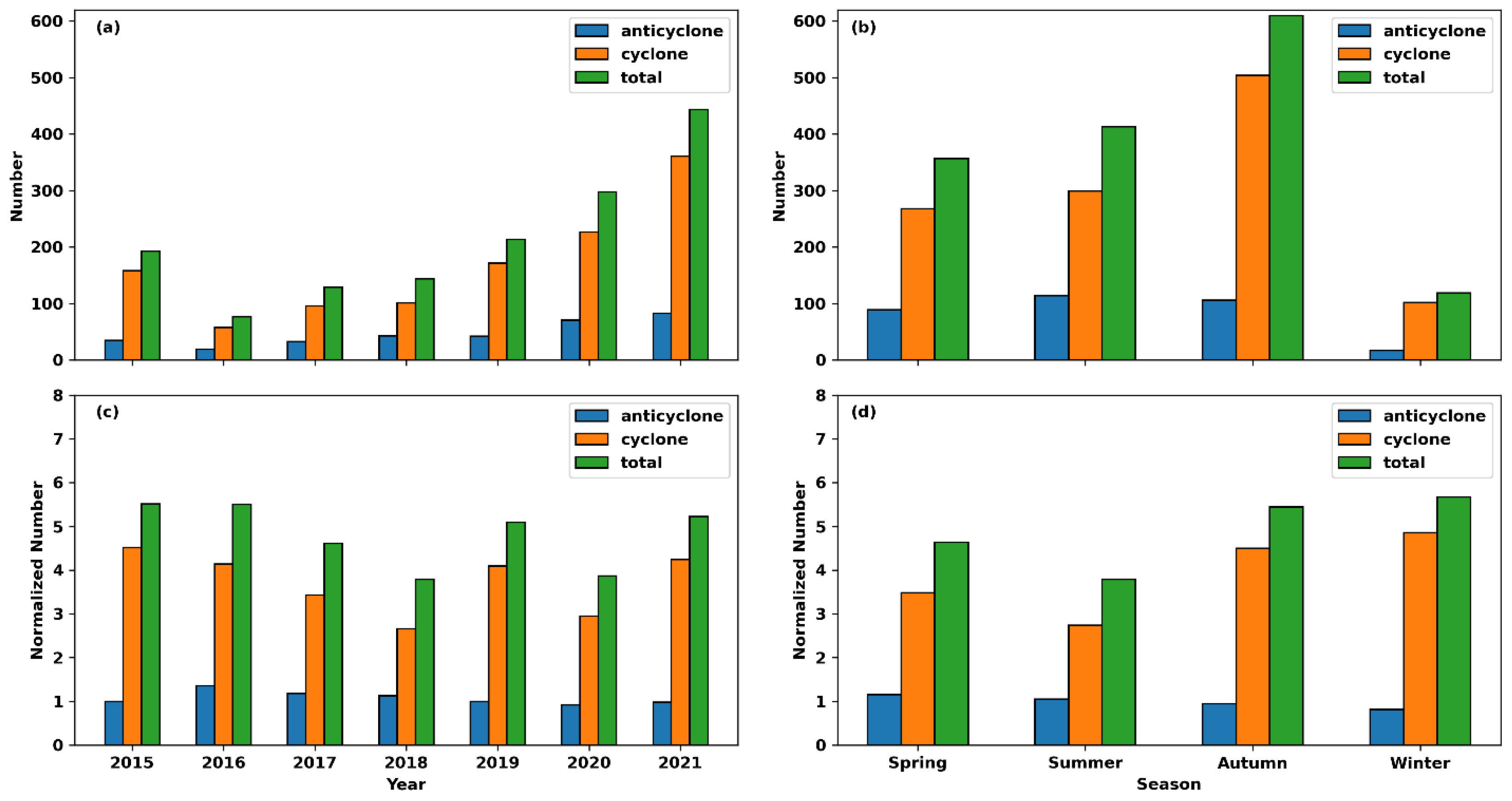
3.2. Spatial Scale and Spatial–Temporal Distributions of Submesoscale Eddies
4. Discussion: Generation Mechanisms
5. Conclusions
Author Contributions
Funding
Institutional Review Board Statement
Informed Consent Statement
Data Availability Statement
Acknowledgments
Conflicts of Interest
References
- Sun, W.; Liu, Y.; Chen, G.; Tan, W.; Lin, X.; Guan, Y.; Dong, C. Three-dimensional properties of mesoscale cyclonic warm-core and anticyclonic cold-core eddies in the South China Sea. Acta Oceanol. Sin. 2021, 40, 17–29. [Google Scholar] [CrossRef]
- Sun, W.; Yang, J.; Tan, W.; Liu, Y.; Zhao, B.; He, Y.; Dong, C. Eddy diffusivity and coherent mesoscale eddy analysis in the Southern Ocean. Acta Oceanol. Sin. 2021, 40, 1–16. [Google Scholar] [CrossRef]
- Ueno, H.; Bracco, A.; Barth, J.A.; Budyansky, M.V.; Hasegawa, D.; Itoh, S.; Kim, S.Y.; Ladd, C.; Lin, X.; Park, Y.-G.; et al. Review of oceanic mesoscale processes in the North Pacific: Physical and biogeochemical impacts. Prog. Oceanogr. 2023, 212, 102955. [Google Scholar] [CrossRef]
- Thomas, L.N.; Tandon, A.; Mahadevan, A. Submesoscale processes and dynamics. In Ocean Modeling in an Eddying Regime; Geophysical Monograph Series; American Geophysical Union: Washington, DC, USA, 2008; pp. 17–38. [Google Scholar]
- Zhang, Z.; Zhang, X.; Qiu, B.; Zhao, W.; Zhou, C.; Huang, X.; Tian, J. Submesoscale Currents in the Subtropical Upper Ocean Observed by Long-Term High-Resolution Mooring Arrays. J. Phys. Oceanogr. 2021, 51, 187–206. [Google Scholar] [CrossRef]
- Brett, G.J.; Whitt, D.B.; Long, M.C.; Bryan, F.O.; Feloy, K.; Richards, K.J. Submesoscale Effects on Changes to Export Production Under Global Warming. Glob. Biogeochem. Cycles 2023, 37, e2022GB007619. [Google Scholar] [CrossRef]
- Taylor, J.R.; Thompson, A.F. Submesoscale Dynamics in the Upper Ocean. Annu. Rev. Fluid Mech. 2023, 55, 103–127. [Google Scholar] [CrossRef]
- Zhang, Z.; Liu, Y.; Qiu, B.; Luo, Y.; Cai, W.; Yuan, Q.; Liu, Y.; Zhang, H.; Liu, H.; Miao, M.; et al. Submesoscale inverse energy cascade enhances Southern Ocean eddy heat transport. Nat. Commun. 2023, 14, 1335. [Google Scholar] [CrossRef] [PubMed]
- Takahashi, D.; Endo, H.; Minegishi, Y.; Gomi, Y.; Kaneko, K. Wind- and density-driven circulation in a bay on the Sanriku ria coast, Japan: Study of Shizugawa Bay facing the Pacific Ocean. J. Oceanogr. 2018, 74, 81–100. [Google Scholar] [CrossRef]
- Tsujino, H.; Nishikawa, S.; Sakamoto, K.; Usui, N.; Nakano, H.; Yamanaka, G. Effects of large-scale wind on the Kuroshio path south of Japan in a 60-year historical OGCM simulation. Clim. Dyn. 2013, 41, 2287–2318. [Google Scholar] [CrossRef]
- Masunaga, E.; Uchiyama, Y.; Zhang, X.; Kimura, W.; Kosako, T. Modulation of submesoscale motions due to tides and a shallow ridge along the Kuroshio. Deep Sea Res. Part I Oceanogr. Res. Pap. 2022, 186, 103828. [Google Scholar] [CrossRef]
- Yang, Y.; San Liang, X. On the Seasonal Eddy Variability in the Kuroshio Extension. J. Phys. Oceanogr. 2018, 48, 1675–1689. [Google Scholar] [CrossRef]
- Bashmachnikov, I.L.; Kozlov, I.E.; Petrenko, L.A.; Glok, N.I.; Wekerle, C. Eddies in the North Greenland Sea and Fram Strait From Satellite Altimetry, SAR and High-Resolution Model Data. J. Geophys. Res. Ocean. 2020, 125, e2019JC015832. [Google Scholar] [CrossRef]
- Hamze-Ziabari, S.M.; Foroughan, M.; Lemmin, U.; Barry, D.A. Monitoring Mesoscale to Submesoscale Processes in Large Lakes with Sentinel-1 SAR Imagery: The Case of Lake Geneva. Remote Sens. 2022, 14, 4967. [Google Scholar] [CrossRef]
- Ji, Y.; Xu, G.; Dong, C.; Yang, J.; Xia, C. Submesoscale eddies in the East China Sea detected from SAR images. Acta Oceanol. Sin. 2021, 40, 18–26. [Google Scholar] [CrossRef]
- Xia, L.; Chen, G.; Chen, X.; Ge, L.; Huang, B. Submesoscale oceanic eddy detection in SAR images using context and edge association network. Front. Mar. Sci. 2022, 9, 1023624. [Google Scholar] [CrossRef]
- Lin, H.; Liu, Z.; Hu, J.; Menemenlis, D.; Huang, Y. Characterizing meso- to submesoscale features in the South China Sea. Prog. Oceanogr. 2020, 188, 102420. [Google Scholar] [CrossRef]
- Mukherjee, S.; Wilson, D.; Jobsis, P.; Habtes, S. Numerical modeling of internal tides and submesoscale turbulence in the US Caribbean regional ocean. Sci. Rep. 2023, 13, 1091. [Google Scholar] [CrossRef]
- Itoh, S.; Tsutsumi, E.; Masunaga, E.; Sakamoto, T.T.; Ishikawa, K.; Yanagimoto, D.; Hoshiba, Y.; Kaneko, H.; Hasegawa, D.; Tanaka, K.; et al. Seasonal Cycle of the Confluence of the Tsugaru Warm, Oyashio, and Kuroshio Currents East of Japan. J. Geophys. Res. Ocean. 2022, 127, e2022JC018556. [Google Scholar] [CrossRef]
- Li, C.; Zhang, Z.; Zhao, W.; Tian, J. A statistical study on the subthermocline submesoscale eddies in the northwestern Pacific Ocean based on Argo data. J. Geophys. Res. Ocean. 2017, 122, 3586–3598. [Google Scholar] [CrossRef]
- Nagano, A.; Hasegawa, T.; Ariyoshi, K.; Iinuma, T.; Fukuda, T.; Fujii, N.; Tomita, F.; Hino, R. USV-Observed Turbulent Heat Flux Induced by Late Spring Cold Dry Air Incursion over Sub-Mesoscale Warm Regions off Sanriku, Japan. Sensors 2022, 22, 9695. [Google Scholar] [CrossRef]
- Nakamura, T.; Matthews, J.P.; Awaji, T.; Mitsudera, H. Submesoscale eddies near the Kuril Straits: Asymmetric generation of clockwise and counterclockwise eddies by barotropic tidal flow. J. Geophys. Res. Ocean. 2012, 117, C12014. [Google Scholar] [CrossRef]
- Takikawa, T.; Morimoto, A.; Onitsuka, G. Subsurface nutrient maximum and submesoscale structures in the southwestern Japan Sea. J. Oceanogr. 2016, 72, 529–540. [Google Scholar] [CrossRef]
- Wang, Y.; Yang, J.; Wu, K.; Hou, M.; Chen, G. A Submesoscale Eddy Identification Dataset Derived from GOCI I Chlorophyll–a Data based on Deep Learning. Earth Syst. Sci. Data Discuss. 2023, 2023, 1–23. [Google Scholar] [CrossRef]
- Atadzhanova, O.; Zimin, A.; Romanenkov, D.; Kozlov, I. Satellite radar observations of small eddies in the White, Barents and Kara Seas. Phys. Oceanogr. 2017, 2, 75–83. [Google Scholar] [CrossRef]
- Hamze-Ziabari, S.M.; Razmi, A.M.; Lemmin, U.; Barry, D.A. Detecting Submesoscale Cold Filaments in a Basin-Scale Gyre in Large, Deep Lake Geneva (Switzerland/France). Geophys. Res. Lett. 2022, 49, e2021GL096185. [Google Scholar] [CrossRef]
- Johannessen, J.A.; Kudryavtsev, V.; Akimov, D.; Eldevik, T.; Winther, N.; Chapron, B. On radar imaging of current features: 2. Mesoscale eddy and current front detection. J. Geophys. Res. Ocean. 2005, 110, C07017. [Google Scholar] [CrossRef]
- Kudryavtsev, V.; Akimov, D.; Johannessen, J.; Chapron, B. On radar imaging of current features: 1. Model and comparison with observations. J. Geophys. Res. Ocean. 2005, 110, C07016. [Google Scholar] [CrossRef]
- Kudryavtsev, V.; Myasoedov, A.; Chapron, B.; Johannessen, J.A.; Collard, F. Imaging mesoscale upper ocean dynamics using synthetic aperture radar and optical data. J. Geophys. Res. Ocean. 2012, 117, C04029. [Google Scholar] [CrossRef]
- Kostianoy, A.G.; Ginzburg, A.I.; Lavrova, O.Y.; Mityagina, M.I. Satellite Remote Sensing of Submesoscale Eddies in the Russian Seas. In The Ocean in Motion: Circulation, Waves, Polar Oceanography; Velarde, M.G., Tarakanov, R.Y., Marchenko, A.V., Eds.; Springer International Publishing: Cham, Switzerland, 2018; pp. 397–413. [Google Scholar]
- Kozlov, I.E.; Plotnikov, E.V.; Manucharyan, G.E. Brief Communication: Mesoscale and submesoscale dynamics in the marginal ice zone from sequential synthetic aperture radar observations. Cryosphere 2020, 14, 2941–2947. [Google Scholar] [CrossRef]
- Karimova, S. Spiral eddies in the Baltic, Black and Caspian seas as seen by satellite radar data. Adv. Space Res. 2012, 50, 1107–1124. [Google Scholar] [CrossRef]
- DiGiacomo, P.M.; Holt, B. Satellite observations of small coastal ocean eddies in the Southern California Bight. J. Geophys. Res. Ocean. 2001, 106, 22521–22543. [Google Scholar] [CrossRef]
- Johannessen, J.A.; Shuchman, R.A.; Digranes, G.; Lyzenga, D.R.; Wackerman, C.; Johannessen, O.M.; Vachon, P.W. Coastal ocean fronts and eddies imaged with ERS 1 synthetic aperture radar. J. Geophys. Res. Ocean. 1996, 101, 6651–6667. [Google Scholar] [CrossRef]
- Shu, S.; Yang, J.; Yang, C.; Hu, H.; Jing, W.; Hu, Y.; Li, Y. Performance Analysis of Ocean Eddy Detection and Identification by L-Band Compact Polarimetric Synthetic Aperture Radar. Remote Sens. 2021, 13, 4905. [Google Scholar] [CrossRef]
- Kozlov, I.E.; Artamonova, A.V.; Manucharyan, G.E.; Kubryakov, A.A. Eddies in the Western Arctic Ocean From Spaceborne SAR Observations Over Open Ocean and Marginal Ice Zones. J. Geophys. Res. Ocean. 2019, 124, 6601–6616. [Google Scholar] [CrossRef]
- Karimova, S.; Gade, M. Improved statistics of sub-mesoscale eddies in the Baltic Sea retrieved from SAR imagery. Int. J. Remote Sens. 2016, 37, 2394–2414. [Google Scholar] [CrossRef]
- Liu, Z.; Gan, J.; Hu, J.; Wu, H.; Cai, Z.; Deng, Y. Progress of Studies on Circulation Dynamics in the East China Sea: The Kuroshio Exchanges With the Shelf Currents. Front. Mar. Sci. 2021, 8, 620910. [Google Scholar] [CrossRef]
- Nakamura, H. Changing Kuroshio and Its Affected Shelf Sea: A Physical View. In Changing Asia-Pacific Marginal Seas; Chen, C.-T.A., Guo, X., Eds.; Springer: Singapore, 2020; pp. 265–305. [Google Scholar]
- Qu, T.; Tozuka, T.; Kida, S.; Guo, X.; Miyazawa, Y.; Liu, Q. Western Pacific and Marginal Sea Processes. In Indo-Pacific Climate Variability and Predictability; World Scientific Series on Asia-Pacific Weather and Climate; World Scientific: Singapore, 2016; Volume 7, pp. 151–186. [Google Scholar]
- Steele, J.H.; Thorpe, S.A.; Turekian, K.K. Ocean Currents; Academic Press: Cambridge, MA, USA, 2010. [Google Scholar]
- Sugimoto, S.; Qiu, B.; Schneider, N. Local Atmospheric Response to the Kuroshio Large Meander Path in Summer and Its Remote Influence on the Climate of Japan. J. Clim. 2021, 34, 3571–3589. [Google Scholar] [CrossRef]
- Matsuta, T.; Masumoto, Y. Modified View of Energy Budget Diagram and Its Application to the Kuroshio Extension Region. J. Phys. Oceanogr. 2021, 51, 1163–1175. [Google Scholar] [CrossRef]
- Isobe, A.; Ando, M.; Watanabe, T.; Senjyu, T.; Sugihara, S.; Manda, A. Freshwater and temperature transports through the Tsushima-Korea Straits. J. Geophys. Res. Ocean. 2002, 107, 2-1–2-20. [Google Scholar] [CrossRef]
- Ito, M.; Morimoto, A.; Watanabe, T.; Katoh, O.; Takikawa, T. Tsushima Warm Current paths in the southwestern part of the Japan Sea. Prog. Oceanogr. 2014, 121, 83–93. [Google Scholar] [CrossRef]
- Mitsudera, H.; Uchimoto, K.; Nakamura, T. Rotating Stratified Barotropic Flow over Topography: Mechanisms of the Cold Belt Formation off the Soya Warm Current along the Northeastern Coast of Hokkaido. J. Phys. Oceanogr. 2011, 41, 2120–2136. [Google Scholar] [CrossRef]
- Choi, J.; Park, Y.G.; Kim, W.; Kim, Y.H. Characterization of Submesoscale Turbulence in the East/Japan Sea Using Geostationary Ocean Color Satellite Images. Geophys. Res. Lett. 2019, 46, 8214–8223. [Google Scholar] [CrossRef]
- Fayman, P.; Ostrovskii, A.; Lobanov, V.; Park, J.-H.; Park, Y.-G.; Sergeev, A. Submesoscale eddies in Peter the Great Bay of the Japan/East Sea in winter. Ocean. Dyn. 2019, 69, 443–462. [Google Scholar] [CrossRef]
- Yoon, J.-H.; Kim, Y.-J. Review on the seasonal variation of the surface circulation in the Japan/East Sea. J. Mar. Syst. 2009, 78, 226–236. [Google Scholar] [CrossRef]
- Aleskerova, A.; Kubryakov, A.; Stanichny, S.; Medvedeva, A.; Plotnikov, E.; Mizyuk, A.; Verzhevskaia, L. Characteristics of topographic submesoscale eddies off the Crimea coast from high-resolution satellite optical measurements. Ocean. Dyn. 2021, 71, 655–677. [Google Scholar] [CrossRef]
- Kawabe, M. Variations of Current Path, Velocity, and Volume Transport of the Kuroshio in Relation with the Large Meander. J. Phys. Oceanogr. 1995, 25, 3103–3117. [Google Scholar] [CrossRef]
- Yang, Y.; San Liang, X. New Perspectives on the Generation and Maintenance of the Kuroshio Large Meander. J. Phys. Oceanogr. 2019, 49, 2095–2113. [Google Scholar] [CrossRef]
- Liu, X.; Mu, M.; Wang, Q. The Nonlinear Optimal Triggering Perturbation of the Kuroshio Large Meander and Its Evolution in a Regional Ocean Model. J. Phys. Oceanogr. 2018, 48, 1771–1786. [Google Scholar] [CrossRef]
- Itoh, S.; Yasuda, I. Characteristics of Mesoscale Eddies in the Kuroshio–Oyashio Extension Region Detected from the Distribution of the Sea Surface Height Anomaly. J. Phys. Oceanogr. 2010, 40, 1018–1034. [Google Scholar] [CrossRef]
- Sakurai, Y. An overview of the Oyashio ecosystem. Deep Sea Res. Part II Top. Stud. Oceanogr. 2007, 54, 2526–2542. [Google Scholar] [CrossRef]
- Kaneko, H.; Tanaka, T.; Abe, H.; Wakita, M.; Sasaki, K.; Miyazawa, Y.; Okunishi, T.; Watanabe, S.; Tatamisashi, S.; Sato, Y. Subinertial frequency variations in the axis of the Tsugaru Warm Current east of the Tsugaru Strait. Prog. Earth Planet. Sci. 2022, 9, 53. [Google Scholar] [CrossRef]
- Uchimoto, K.; Mitsudera, H.; Ebuchi, N.; Miyazawa, Y. Anticyclonic eddy caused by the Soya Warm Current in an Okhotsk OGCM. J. Oceanogr. 2007, 63, 379–391. [Google Scholar] [CrossRef]
- Appen, W.-J.; Wekerle, C.; Hehemann, L.; Schourup-Kristensen, V.; Konrad, C.; Iversen, M.H. Observations of a Submesoscale Cyclonic Filament in the Marginal Ice Zone. Geophys. Res. Lett. 2018, 45, 6141–6149. [Google Scholar] [CrossRef]
- Kozlov, I.E.; Atadzhanova, O.A. Eddies in the Marginal Ice Zone of Fram Strait and Svalbard from Spaceborne SAR Observations in Winter. Remote Sens. 2022, 14, 134. [Google Scholar] [CrossRef]
- Srinivasan, K.; McWilliams, J.C.; Molemaker, M.J.; Barkan, R. Submesoscale Vortical Wakes in the Lee of Topography. J. Phys. Oceanogr. 2019, 49, 1949–1971. [Google Scholar] [CrossRef]
- Cigna, F.; Tapete, D. Present-day land subsidence rates, surface faulting hazard and risk in Mexico City with 2014–2020 Sentinel-1 IW InSAR. Remote Sens. Environ. 2021, 253, 112161. [Google Scholar] [CrossRef]
- Yagüe-Martínez, N.; Prats-Iraola, P.; González, F.R.; Brcic, R.; Shau, R.; Geudtner, D.; Eineder, M.; Bamler, R. Interferometric Processing of Sentinel-1 TOPS Data. IEEE Trans. Geosci. Remote Sens. 2016, 54, 2220–2234. [Google Scholar] [CrossRef]
- Lavrova, O.; Serebryany, A.; Bocharova, T.; Mityagina, M. Investigation of fine spatial structure of currents and submesoscale eddies based on satellite radar data and concurrent acoustic measurements. In Remote Sensing of the Ocean, Sea Ice, Coastal Waters, and Large Water Regions 2012; SPIE: Edinburgh, UK, 2012; pp. 155–168. [Google Scholar] [CrossRef]
- Filipponi, F. Sentinel-1 GRD Preprocessing Workflow. Proceedings 2019, 18, 11. [Google Scholar] [CrossRef]
- Zuiderveld, K. Contrast limited adaptive histogram equalization. Graph. Gems 1994, IV, 474–485. [Google Scholar]
- Xu, J.; Pan, X.; Jia, B.; Wu, X.; Liu, P.; Li, B. Oil Spill Detection Using LBP Feature and K-Means Clustering in Shipborne Radar Image. J. Mar. Sci. Eng. 2021, 9, 65. [Google Scholar] [CrossRef]
- Stuhlmacher, A.; Gade, M. Statistical analyses of eddies in the Western Mediterranean Sea based on Synthetic Aperture Radar imagery. Remote Sens. Environ. 2020, 250, 112023. [Google Scholar] [CrossRef]
- Dong, C.; McWilliams, J.C.; Shchepetkin, A.F. Island Wakes in Deep Water. J. Phys. Oceanogr. 2007, 37, 962–981. [Google Scholar] [CrossRef]
- Zheng, Q. Satellite SAR Detection of Sub-Mesoscale Ocean Dynamic Processes; World Scientific: Singapore, 2017; Volume 44. [Google Scholar]
- Shcherbina, A.Y.; D’Asaro, E.A.; Lee, C.M.; Klymak, J.M.; Molemaker, M.J.; McWilliams, J.C. Statistics of vertical vorticity, divergence, and strain in a developed submesoscale turbulence field. Geophys. Res. Lett. 2013, 40, 4706–4711. [Google Scholar] [CrossRef]
- Brannigan, L.; Marshall, D.P.; Naveira Garabato, A.C.; Nurser, A.J.G.; Kaiser, J. Submesoscale Instabilities in Mesoscale Eddies. J. Phys. Oceanogr. 2017, 47, 3061–3085. [Google Scholar] [CrossRef]
- Manucharyan, G.E.; Thompson, A.F. Submesoscale Sea Ice-Ocean Interactions in Marginal Ice Zones. J. Geophys. Res. Ocean. 2017, 122, 9455–9475. [Google Scholar] [CrossRef]
- Elkin, D.N.; Zatsepin, A.G. Laboratory study of a shear instability of an alongshore sea current. Oceanology 2014, 54, 576–582. [Google Scholar] [CrossRef]
- Callendar, W.; Klymak, J.M.; Foreman, M.G.G. Tidal generation of large sub-mesoscale eddy dipoles. Ocean. Sci. 2011, 7, 487–502. [Google Scholar] [CrossRef]
- McWilliams, J.C. Submesoscale currents in the ocean. Proc. R. Soc. A Math. Phys. Eng. Sci. 2016, 472, 32. [Google Scholar] [CrossRef] [PubMed]
- Thompson, A.F.; Lazar, A.; Buckingham, C.; Naveira Garabato, A.C.; Damerell, G.M.; Heywood, K.J. Open-Ocean Submesoscale Motions: A Full Seasonal Cycle of Mixed Layer Instabilities from Gliders. J. Phys. Oceanogr. 2016, 46, 1285–1307. [Google Scholar] [CrossRef]
- Cao, Y.; Dong, C.; Qiu, Z.; Bethel, B.J.; Shi, H.; Lü, H.; Cheng, Y. Corrections of Mesoscale Eddies and Kuroshio Extension Surface Velocities Derived from Satellite Altimeters. Remote Sens. 2023, 15, 184. [Google Scholar] [CrossRef]
- Liu, F.; Liu, Y.; Tang, S.; Li, Q. Oceanic Kármán Vortex Streets in the Luzon Strait in the Lee of Didicas Island from Multiple Satellite Missions. Remote Sens. 2022, 14, 4136. [Google Scholar] [CrossRef]
- Tomczak, M. Island wakes in deep and shallow water. J. Geophys. Res. Ocean. 1988, 93, 5153–5154. [Google Scholar] [CrossRef]
- Ni, Q.; Zhai, X.; Wilson, C.; Chen, C.; Chen, D. Submesoscale Eddies in the South China Sea. Geophys. Res. Lett. 2021, 48, e2020GL091555. [Google Scholar] [CrossRef]
- Zhang, Y.; Hu, C.; Liu, Y.; Weisberg, R.H.; Kourafalou, V.H. Submesoscale and Mesoscale Eddies in the Florida Straits: Observations from Satellite Ocean Color Measurements. Geophys. Res. Lett. 2019, 46, 13262–13270. [Google Scholar] [CrossRef]









| Year | Spring | Summer | Autumn | Winter | Total |
|---|---|---|---|---|---|
| 2015 | 14 | 14 | 5 | 2 | 35 |
| 2016 | 5 | 7 | 2 | 0 | 14 |
| 2017 | 7 | 7 | 10 | 4 | 28 |
| 2018 | 9 | 10 | 16 | 3 | 38 |
| 2019 | 8 | 16 | 17 | 1 | 42 |
| 2020 | 17 | 26 | 27 | 7 | 77 |
| 2021 | 17 | 29 | 35 | 4 | 85 |
| Total | 77 | 109 | 112 | 21 | 319 |
Disclaimer/Publisher’s Note: The statements, opinions and data contained in all publications are solely those of the individual author(s) and contributor(s) and not of MDPI and/or the editor(s). MDPI and/or the editor(s) disclaim responsibility for any injury to people or property resulting from any ideas, methods, instructions or products referred to in the content. |
© 2024 by the authors. Licensee MDPI, Basel, Switzerland. This article is an open access article distributed under the terms and conditions of the Creative Commons Attribution (CC BY) license (https://creativecommons.org/licenses/by/4.0/).
Share and Cite
Li, G.; He, Y.; Wen, J.; Liu, G.; Kudryavtsev, V.; Lu, X.; Perrie, W. The Characteristics of Submesoscale Eddies near the Coastal Regions of Eastern Japan: Insights from Sentinel-1 Imagery. J. Mar. Sci. Eng. 2024, 12, 761. https://doi.org/10.3390/jmse12050761
Li G, He Y, Wen J, Liu G, Kudryavtsev V, Lu X, Perrie W. The Characteristics of Submesoscale Eddies near the Coastal Regions of Eastern Japan: Insights from Sentinel-1 Imagery. Journal of Marine Science and Engineering. 2024; 12(5):761. https://doi.org/10.3390/jmse12050761
Chicago/Turabian StyleLi, Gang, Yijun He, Jinghan Wen, Guoqiang Liu, Vladimir Kudryavtsev, Xiaojie Lu, and William Perrie. 2024. "The Characteristics of Submesoscale Eddies near the Coastal Regions of Eastern Japan: Insights from Sentinel-1 Imagery" Journal of Marine Science and Engineering 12, no. 5: 761. https://doi.org/10.3390/jmse12050761
APA StyleLi, G., He, Y., Wen, J., Liu, G., Kudryavtsev, V., Lu, X., & Perrie, W. (2024). The Characteristics of Submesoscale Eddies near the Coastal Regions of Eastern Japan: Insights from Sentinel-1 Imagery. Journal of Marine Science and Engineering, 12(5), 761. https://doi.org/10.3390/jmse12050761

