Study on the Flame Transition Characteristics of a Gas Turbine Combustor
Abstract
1. Introduction
2. Experimental
2.1. Full-Scale High-Pressure Test Rig
2.2. Combustor
2.3. Measurement Apparatus
2.4. Experimental Results and Analysis
3. Numerical Simulation
3.1. Simulation Setting
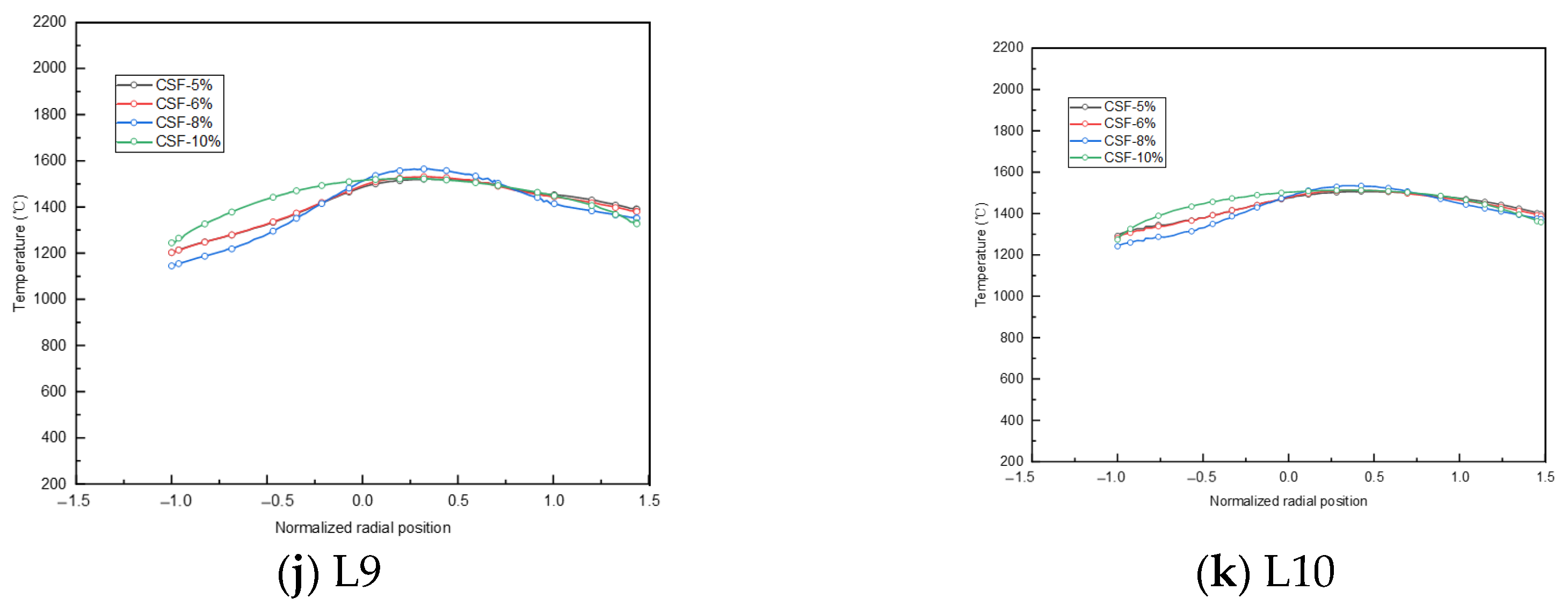
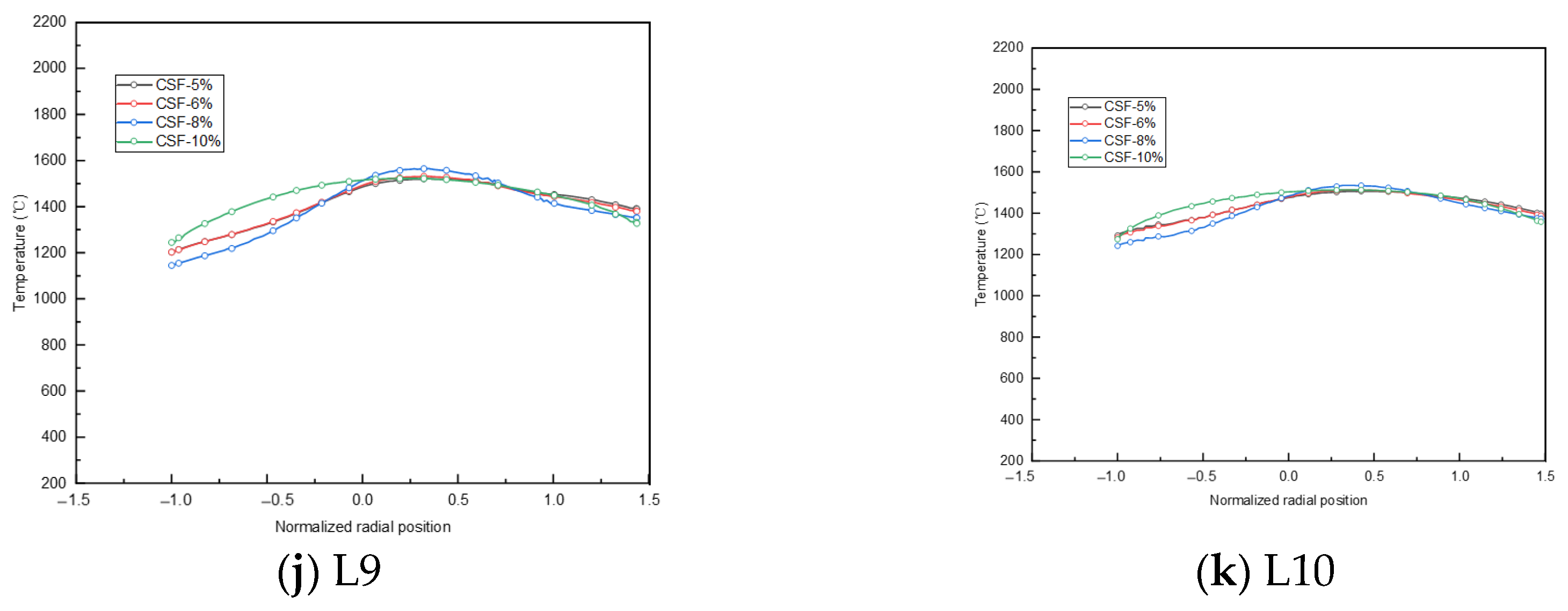
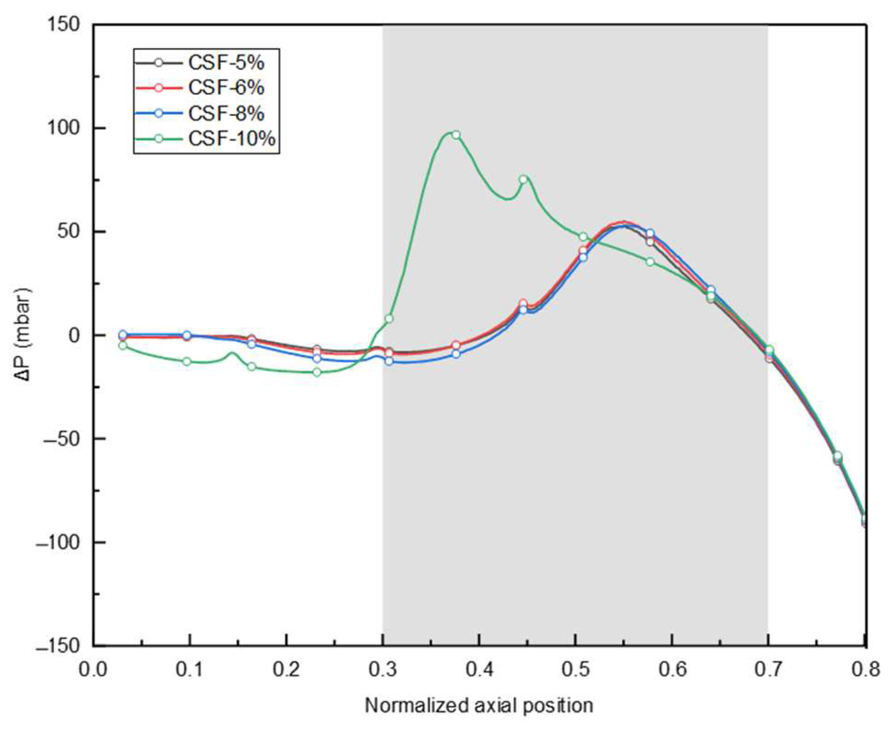
3.2. Simulated Results and Analysis
4. Conclusions
Author Contributions
Funding
Data Availability Statement
Conflicts of Interest
References
- Strantzali, E.; Aravossis, K.; Livanos, G.A. Evaluation of future sustainable electricity generation alternatives: The case of a Greek island. Renew. Sustain. Energy Rev. 2017, 76, 775–787. [Google Scholar] [CrossRef]
- Lalor, G.; O’Malley, M. Frequency Control on an Island Power System with Increasing Proportions of Combined Cycle Gas Turbines. In Proceedings of the 2003 IEEE Bologna Power Tech Conference, Bologna, Italy, 23–26 June 2003; IEEE: Bologna, Italy, 2003; Volume 4, p. 7. [Google Scholar]
- Eulitz, F.; Kuesters, B.; Mildner, F.; Mittelbach, M.; Peters, A.; van den Toorn, B.; Waltke, U.; Rimmington, P.; Wasdell, D. Design and validation of a compressor for a new generation of heavy-duty gas turbines. In Proceedings of the ASME 2007 Power Conference, San Antonio, TX, USA, 17–19 July 2007; pp. 653–663. [Google Scholar]
- Vandervort, C. Advancements in H Class Gas Turbines and Combined Cycle Power Plants; Turbo Expo: Power for Land, Sea, and Air; American Society of Mechanical Engineers: New York, NY, USA, 2018; p. V003T08A007. [Google Scholar]
- Oliveira-Pinto, S.; Rosa-Santos, P.; Taveira-Pinto, F.J.E.C. Management, Electricity supply to offshore oil and gas platforms from renewable ocean wave energy: Overview and case study analysis. Energy Convers. Manag. 2019, 186, 556–569. [Google Scholar] [CrossRef]
- Bazaluk, O.; Havrysh, V.; Cherednichenko, O.; Nitsenko, V.J.S. Chemically Recuperated Gas Turbines for Offshore Platform: Energy and Environmental Performance. Sustainability 2021, 13, 12566. [Google Scholar] [CrossRef]
- Lv, X.; Ding, X.; Weng, Y.J.E.P. Performance analysis of island energy system of SOFC and GT with gasified biomass fuel. Energy Procedia 2019, 159, 406–411. [Google Scholar] [CrossRef]
- Nemitallah, M.A.; Rashwan, S.S.; Mansir, I.B.; Abdelhafez, A.A.; Habib, M.A. Review of novel combustion techniques for clean power production in gas turbines. Energy Fuels 2018, 32, 979–1004. [Google Scholar] [CrossRef]
- Funke, H.-W.; Beckmann, N.; Abanteriba, S. An overview on dry low NOx micromix combustor development for hydrogen-rich gas turbine applications. Int. J. Hydrogen Energy 2019, 44, 6978–6990. [Google Scholar] [CrossRef]
- Kurata, O.; Iki, N.; Inoue, T.; Matsunuma, T.; Tsujimura, T.; Furutani, H.; Kawano, M.; Arai, K.; Okafor, E.C.; Hayakawa, A. Development of a wide range-operable, rich-lean low-NOx combustor for NH3 fuel gas-turbine power generation. Proc. Combust. Inst. 2019, 37, 4587–4595. [Google Scholar] [CrossRef]
- Fentaye, A.D.; Baheta, A.T.; Gilani, S.I.; Kyprianidis, K.G. A review on gas turbine gas-path diagnostics: State-of-the-art methods, challenges and opportunities. Aerospace 2019, 6, 83. [Google Scholar] [CrossRef]
- Stefanizzi, M.; Capurso, T.; Filomeno, G.; Torresi, M.; Pascazio, G. Recent Combustion Strategies in Gas Turbines for Propulsion and Power Generation toward a Zero-Emissions Future: Fuels, Burners, and Combustion Techniques. Energies 2021, 14, 6694. [Google Scholar] [CrossRef]
- Emami, M.D.; Shahbazian, H.; Sunden, B. Effect of operational parameters on combustion and emissions in an industrial gas turbine combustor. J. Energy Resour. Technol. 2019, 141, 012202. [Google Scholar] [CrossRef]
- Zeng, G.; Xu, Z.; Zhang, Z.; Bai, H. Natural gas-hydrogen hybrid combustion retrofit method and practice for F-class heavy-duty combustion engines. Eng. Res. Express 2023, 5, 035061. [Google Scholar] [CrossRef]
- He, F.; Li, Z.; Liu, P.; Ma, L.; Pistikopoulos, E.N. Operation window and part-load performance study of a syngas fired gas turbine. Appl. Energy 2012, 89, 133–141. [Google Scholar] [CrossRef]
- Anisimov, V.V.; Chiarioni, A.; Rofi, L.; Ozzano, C.; Hermeth, S.; Hannebique, G.; Staffelbach, G.; Poinsot, T. Bi-Stable Flame Behaviour of Heavy Duty Gas Turbine Burner: RANS, LES and Experiment Comparison; Turbo Expo: Power for Land, Sea, and Air; American Society of Mechanical Engineers: New York, NY, USA, 2015; p. V04AT04A041. [Google Scholar]
- Wang, F.; Mi, J.; Li, P. Combustion regimes of a jet diffusion flame in hot co-flow. Energy Fuels 2013, 27, 3488–3498. [Google Scholar] [CrossRef]
- Liu, Y.; Sun, X.; Sethi, V.; Nalianda, D.; Li, Y.-G.; Wang, L. Review of modern low emissions combustion technologies for aero gas turbine engines. Prog. Aerosp. Sci. 2017, 94, 12–45. [Google Scholar] [CrossRef]
- Färber, J.; Koch, R.; Bauer, H.-J.; Hase, M.; Krebs, W. Effects of pilot fuel and liner cooling on the flame structure in a full scale swirl-stabilized combustion setup. Gas Turbines Power 2010, 132, 091501. [Google Scholar] [CrossRef]
- Hermsmeyer, H.; Prade, B.; Gruschka, U.; Schmitz, U.; Hoffmann, S.; Krebs, W. V64. 3A Gas Turbine Natural Gas Burner Development. In Proceedings of the ASME Turbo Expo 2002: Power for Land, Sea, and Air, Amsterdam, The Netherlands, 3–6 June 2002; pp. 689–695. [Google Scholar]
- Streb, H.; Prade, B.; Hahner, T.; Hoffmann, S. Advanced burner development for the VX4. 3A gas turbines. In Proceedings of the ASME Turbo Expo 2001: Power for Land, Sea, and Air, New Orleans, LA, USA, 4–7 June 2001; Citeseer: New Orleans, LA, USA, 2001; p. V002T02A044. [Google Scholar]
- Prade, B.; Streb, H.; Berenbrink, P.; Schetter, B.; Pyka, G. Development of an Improved Hybrid Burner: Initial Operating Experience in a Gas Turbine; American Society of Mechanical Engineers: New York, NY, USA, 1996; Volume 78743. [Google Scholar]
- Schildmacher, K.-U.; Koch, R. Experimental investigation of the interaction of unsteady flow with combustion. J. Eng. Gas Turbines Power 2005, 127, 295–300. [Google Scholar] [CrossRef]
- Huth, M.; Heilos, A. Fuel flexibility in gas turbine systems: Impact on burner design and performance. In Modern Gas Turbine Systems; Elsevier: Amsterdam, The Netherlands, 2013; pp. 635–684. [Google Scholar]
- Thomas, L.L.; Simons, D.W.; Popovic, P.; Romoser, C.E.; Vandale, D.D.; Citeno, J.V. E-class DLN technology advancements, DLN1+. In Proceedings of the ASME 2011 Turbo Expo: Turbine Technical Conference and Exposition, Vancouver, BC, Canada, 6–10 June 2011; pp. 835–845. [Google Scholar]
- Vandervort, C. 9 ppm NOx/CO Combustion System for “F” Class Industrial Gas Turbines. J. Eng. Gas Turbines Power 2001, 123, 317–321. [Google Scholar] [CrossRef]
- Venkataraman, K.; Lewis, S.E.; Natarajan, J.; Thomas, S.R.; Citeno, J.V. F-class DLN technology advancements: DLN2. 6. In Proceedings of the ASME 2011 Turbo Expo: Turbine Technical Conference and Exposition, Vancouver, BC, Canada, 6–10 June 2011; pp. 587–594. [Google Scholar]
- Joos, F.; Brunner, P.; Schulte-Werning, B.; Syed, K.; Eroglu, A. Development of the Sequential Combustion System for the ABB GT24/GT26 Gas Turbine Family; American Society of Mechanical Engineers: New York, NY, USA, 1996; Volume 78750. [Google Scholar]
- Guyot, D.; Tea, G.; Appel, C. Low NOx lean premix reheat combustion in Alstom GT24 gas turbines. J. Eng. Gas Turbines Power 2016, 138, 051503. [Google Scholar] [CrossRef]
- Kappis, W.; Florjancic, S.; Ruedel, U. Alstom gas turbine technology overview: Status 2014. In Proceedings of the ASME Turbo Expo 2015: Turbine Technical Conference and Exposition, Montreal, QC, Canada, 15–19 June 2015; Volume 56673, p. V003T08A010. [Google Scholar]
- Stuttaford, P.; Rizkalla, H.; Chen, Y.; Copley, B.; Faucett, T. Extended turndown, fuel flexible gas turbine combustion system. In Proceedings of the ASME Turbo Expo 2010: Power for Land, Sea, and Air, Glasgow, UK, 14–18 June 2010; pp. 483–492. [Google Scholar]
- Eroglu, A.; Flohr, P.; Brunner, P.; Hellat, J. Combustor design for low emissions and long lifetime requirements. In Proceedings of the ASME Turbo Expo 2009: Power for Land, Sea, and Air, Orlando, FL, USA, 8–12 June 2009; pp. 435–444. [Google Scholar]
- Eroglu, A.; Döbbeling, K.; Joos, F.; Brunner, P. Vortex generators in lean-premix combustion. J. Eng. Gas Turbines Power 2001, 123, 41–49. [Google Scholar] [CrossRef]
- Hughes, M.J.; Berry, J.D.; Zhao, W.; Crawley, B.; Onyima, T.; Feiz, H.; Paasche, E.; Cretegny, L.; Hong, S.-H.; Genova, T. DLN Evo Combustion Technology Development for a High-Hydrogen Flexible F-Class Retrofit. In Proceedings of the ASME Turbo Expo 2023: Turbomachinery Technical Conference and Exposition, Boston, MA, USA, 26–30 June 2023; American Society of Mechanical Engineers: New York, NY, USA, 2023; p. V03AT04A040. [Google Scholar]
- Karim, H.; Natarajan, J.; Narra, V.; Cai, J.; Rao, S.; Kegley, J.; Citeno, J. Staged combustion system for improved emissions operability and flexibility for 7HA class heavy duty gas turbine engine. In Proceedings of the ASME Turbo Expo 2017: Turbomachinery Technical Conference and Exposition, Charlotte, CA, USA, 26–30 June 2017; American Society of Mechanical Engineers: New York, NY, USA, 2017; p. V04AT04A062. [Google Scholar]
- Krebs, W.; Schulz, A.; Witzel, B.; Johnson, C.; Laster, W.; Pent, J.; Schilp, R.; Wasif, S.; Weaver, A. Advanced Combustion System for High Efficiency (ACE) of the New SGT5/6-9000HL Gas Turbine. In Proceedings of the ASME Turbo Expo 2022: Turbomachinery Technical Conference and Exposition, Rotterdam, The Netherlands, 13–17 June 2022; American Society of Mechanical Engineers: New York, NY, USA, 2022; p. V03BT04A018. [Google Scholar]
- Pennell, D.; Tay-Wo-Chong, L.; Smith, R.; Sierra Sanchez, P.; Ciani, A. GT36 First Stage Development Enabling Load and Fuel (H2) Flexibility With Low Emissions. In Proceedings of the ASME Turbo Expo 2023: Turbomachinery Technical Conference and Exposition, Boston, MA, USA, 26–30 June 2023; American Society of Mechanical Engineers: New York, NY, USA, 2023; p. V03BT04A045. [Google Scholar]
- Rofi, L.; Anisimov, V.; Chiarioni, A.; Ozzano, C.; Daccà, F. Bi-stable flame behaviour of heavy duty gas turbine burner. In Proceedings of the ASME Turbo Expo 2014: Turbine Technical Conference and Exposition, Düsseldorf, Germany, 16–20 June 2014; American Society of Mechanical Engineers: New York, NY, USA, 2014; p. V04AT04A040. [Google Scholar]























Disclaimer/Publisher’s Note: The statements, opinions and data contained in all publications are solely those of the individual author(s) and contributor(s) and not of MDPI and/or the editor(s). MDPI and/or the editor(s) disclaim responsibility for any injury to people or property resulting from any ideas, methods, instructions or products referred to in the content. |
© 2024 by the authors. Licensee MDPI, Basel, Switzerland. This article is an open access article distributed under the terms and conditions of the Creative Commons Attribution (CC BY) license (https://creativecommons.org/licenses/by/4.0/).
Share and Cite
Chen, M.; Wang, L.; Huang, X.; Zhao, M.; Zeng, L.; Zheng, H.; Deng, F. Study on the Flame Transition Characteristics of a Gas Turbine Combustor. J. Mar. Sci. Eng. 2024, 12, 719. https://doi.org/10.3390/jmse12050719
Chen M, Wang L, Huang X, Zhao M, Zeng L, Zheng H, Deng F. Study on the Flame Transition Characteristics of a Gas Turbine Combustor. Journal of Marine Science and Engineering. 2024; 12(5):719. https://doi.org/10.3390/jmse12050719
Chicago/Turabian StyleChen, Mingmin, Li Wang, Xinbo Huang, Minwei Zhao, Lingwei Zeng, Hongtao Zheng, and Fuquan Deng. 2024. "Study on the Flame Transition Characteristics of a Gas Turbine Combustor" Journal of Marine Science and Engineering 12, no. 5: 719. https://doi.org/10.3390/jmse12050719
APA StyleChen, M., Wang, L., Huang, X., Zhao, M., Zeng, L., Zheng, H., & Deng, F. (2024). Study on the Flame Transition Characteristics of a Gas Turbine Combustor. Journal of Marine Science and Engineering, 12(5), 719. https://doi.org/10.3390/jmse12050719
