Impact of Oxygen Content on Flame Dynamics in a Non-Premixed Gas Turbine Model Combustor
Abstract
1. Introduction
2. Numerical Calculations
2.1. Model Structure
2.2. Meshing
2.3. Numerical Method
2.4. Model Verification
2.5. Boundary Conditions
3. Results and Discussion
3.1. Flow Field Analysis
3.1.1. Time-Averaged Structure
3.1.2. Transient Structure
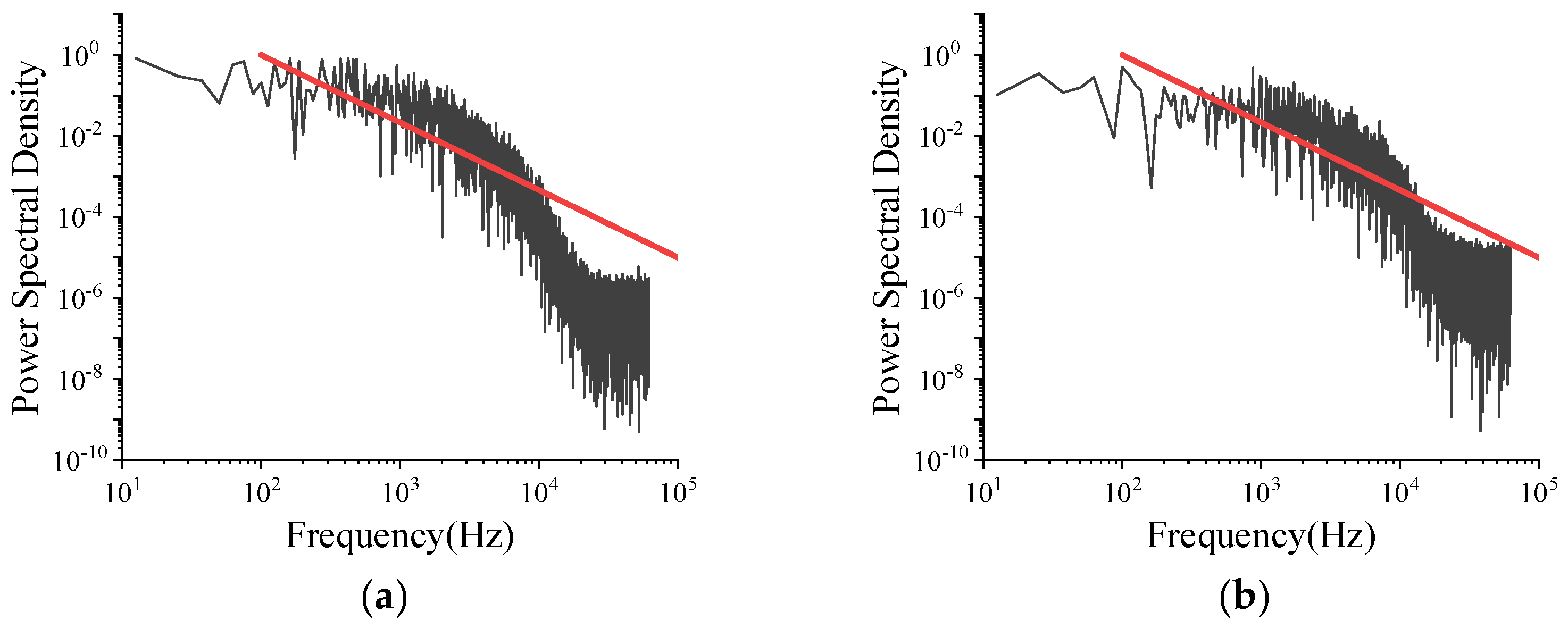
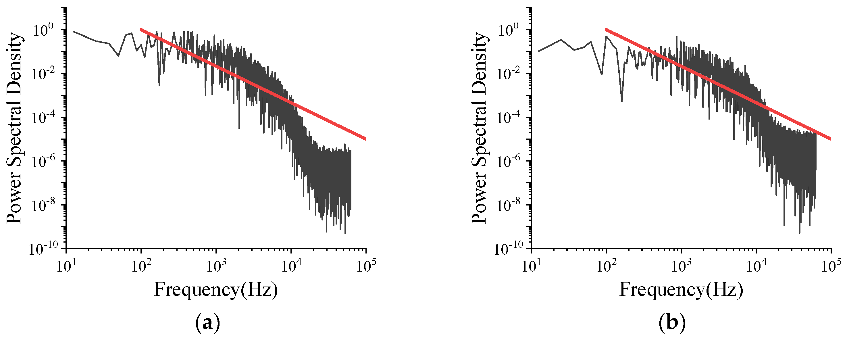
3.2. Spectrum Analysis
3.3. POD Analysis
4. Conclusions
Author Contributions
Funding
Institutional Review Board Statement
Informed Consent Statement
Data Availability Statement
Conflicts of Interest
References
- Prashanth, P.; Speth, R.L.; Eastham, S.D.; Sabnis, J.S.; Barrett, S.R.H. Post-combustion emissions control in aero-gas turbine engines. Energy Environ. Sci. 2021, 14, 916–930. [Google Scholar] [CrossRef]
- Cecere, D.; Giacomazzi, E.; Di Nardo, A.; Calchetti, G. Gas turbine combustion technologies for hydrogen blends. Energies 2023, 16, 6829. [Google Scholar] [CrossRef]
- Liu, Y.; Sun, X.; Sethi, V.; Nalianda, D.; Li, Y.-G.; Wang, L. Review of modern low emissions combustion technologies for aero gas turbine engines. Prog. Aerosp. Sci. 2017, 94, 12–45. [Google Scholar] [CrossRef]
- Zhang, F.; Lei, F.; Feng, M.; Liao, G.; Jiaqiang, E. Investigation on the effect of the cooler design on the performance of onboard supercritical carbon dioxide power cycle for hypersonic vehicles. Appl. Therm. Eng. 2024, 236, 121854. [Google Scholar] [CrossRef]
- Khosravy el_Hossaini, M. Review of the new combustion technologies in modern gas turbines. Prog. Gas Turbine Perform. 2013, 953–978. [Google Scholar] [CrossRef]
- Arghode, V.K.; Gupta, A.K. Development of high intensity CDC combustor for gas turbine engines. Appl. Energy 2011, 88, 963–973. [Google Scholar] [CrossRef]
- Adamou, A.; Costall, A.; Turner, J.W.; Jones, A.; Copeland, C. Experimental performance and emissions of additively manufactured high-temperature combustion chambers for micro-gas turbines. Int. J. Engine Res. 2023, 24, 1273–1289. [Google Scholar] [CrossRef]
- Sadykova, S.B.; Dostiyarov, A.M.; Zhumagulov, M.G.; Kartjanov, N.R. Influence of turbulence on the efficiency and reliability of combustion chamber of the gas turbine. Therm. Sci. 2021, 25, 4321–4332. [Google Scholar] [CrossRef]
- Feng, M.; Dai, X.; Zhang, F.; Liao, G.; Jiaqiang, E. Numerical investigation on film cooling and aerodynamic performance for gas turbine endwalls with upstream vane-type and cascade-type slots. Aerosp. Sci. Technol. 2024, 145, 108857. [Google Scholar] [CrossRef]
- Srinivasan, S.; Ranjan, R.; Menon, S. Flame dynamics during combustion instability in a high-pressure, shear-coaxial injector combustor. Flow Turbul. Combust. 2015, 94, 237–262. [Google Scholar] [CrossRef]
- Cheng, Y.; Jin, T.; Luo, K.; Li, Z.; Wang, H.; Fan, J. Large eddy simulations of spray combustion instability in an aero-engine combustor at elevated temperature and pressure. Aerosp. Sci. Technol. 2021, 108, 106329. [Google Scholar] [CrossRef]
- Hashim, M.Y.; Bae, J.; Lee, J. Experimental and numerical studies of the effects of the contraction ratios on the swirling flow characteristics of the model combustor outlet in lean gas turbines. Appl. Therm. Eng. 2023, 218, 119371. [Google Scholar] [CrossRef]
- Nam, J.; Yoh, J.J. A numerical investigation of the effects of hydrogen addition on combustion instability inside a partially-premixed swirl combustor. Appl. Therm. Eng. 2020, 176, 115478. [Google Scholar] [CrossRef]
- Chen, Z.X.; Swaminathan, N.; Mazur, M.; Worth, N.A.; Zhang, G.; Li, L. Numerical investigation of azimuthal thermoacoustic instability in a gas turbine model combustor. Fuel 2023, 339, 127405. [Google Scholar] [CrossRef]
- Deng, F.; Huang, X.; Cheng, S.; Zhang, Y.; Huang, Z.; Tang, H.; Zheng, H.; Xiao, L. Experimental and modeling study of NO2 addition effects on autoignition behavior of propylene. Combust. Flame 2024, 262, 113371. [Google Scholar] [CrossRef]
- Zhou, L.; Zhu, Q.; Tse, K.; Ning, X.; Ai, Y.; Zhang, H. Flow pattern-and forces-susceptibility to small attack angles for a rectangular cylinder. Ocean. Eng. 2024, 300, 117376. [Google Scholar] [CrossRef]
- Liu, Z.; Zhou, L.; Tang, H.; Wang, Z.; Zhao, F.; Ji, X.; Zhang, H. Primary instability, sensitivity and active control of flow past two tandem circular cylinders. Ocean. Eng. 2024, 294, 116863. [Google Scholar] [CrossRef]
- Bai, X.; Cheng, P.; Li, Q.; Sheng, L.; Kang, Z. Effects of self-pulsation on combustion instability in a liquid rocket engine. Exp. Therm. Fluid Sci. 2020, 114, 110038. [Google Scholar] [CrossRef]
- Li, F.; Xu, L.; Yang, L.; Cao, Z. Experimental characterization of self-excited combustion pulsation in a thermoacoustic combustor. Fuel 2023, 334, 126423. [Google Scholar] [CrossRef]
- Valiev, D.M.; Zhu, M.; Bansal, G.; Kolla, H.; Law, C.K.; Chen, J.H. Pulsating instability of externally forced premixed counterflow flame. Combust. Flame 2013, 160, 285–294. [Google Scholar] [CrossRef]
- Deng, F.; Zhao, M.; Qin, S.; Wang, Z.; Xie, Y.; Zheng, H.; Liu, X.; Zhang, F. Numerical Simulation Study on the Dynamics of Bluff-Body Flames under Oxygen-Lean Conditions. Energies 2023, 17, 142. [Google Scholar] [CrossRef]
- Du, D.; He, E.; Huang, D.; Wang, G. Intense vibration mechanism analysis and vibration control technology for the combustion chamber of a liquid rocket engine. J. Sound Vib. 2018, 437, 53–67. [Google Scholar] [CrossRef]
- Poinsot, T. Prediction and control of combustion instabilities in real engines. Proc. Combust. Inst. 2017, 36, 1–28. [Google Scholar] [CrossRef]
- Can Altunlu, A.; van der Hoogt, P.J.; de Boer, A. Sensitivity of combustion driven structural dynamics and damage to thermo-acoustic instability: Combustion-acoustics-vibration. J. Eng. Gas Turbines Power 2014, 136, 051501. [Google Scholar] [CrossRef]
- Yilmaz, I.; Alabaş, B.; Taştan, M.; Tunç, G. Effect of oxygen enrichment on the flame stability and emissions during biogas combustion: An experimental study. Fuel 2020, 280, 118703. [Google Scholar] [CrossRef]
- Habib, M.A.; Nemitallah, M.A.; Ahmed, P.; Sharqawy, M.H.; Badr, H.M.; Muhammad, I.; Yaqub, M. Experimental analysis of oxygen-methane combustion inside a gas turbine reactor under various operating conditions. Energy 2015, 86, 105–114. [Google Scholar] [CrossRef]
- Rao, Z.; Li, R.; Zhang, B.; Wang, B.; Zhao, D.; Akhtar, M.S. Experimental investigations of equivalence ratio effect on nonlinear dynamics features in premixed swirl-stabilized combustor. Aerosp. Sci. Technol. 2021, 112, 106601. [Google Scholar] [CrossRef]
- Devi, S.; Sahoo, N.; Muthukumar, P. Experimental studies on biogas combustion in a novel double layer inert Porous Radiant Burner. Renew. Energy 2020, 149, 1040–1052. [Google Scholar] [CrossRef]
- Kutne, P.; Kapadia, B.K.; Meier, W.; Aigner, M. Experimental analysis of the combustion behaviour of oxyfuel flames in a gas turbine model combustor. Proc. Combust. Inst. 2011, 33, 3383–3390. [Google Scholar] [CrossRef]
- De Santis, A.; Ingham, D.B.; Ma, L.; Pourkashanian, M. CFD analysis of exhaust gas recirculation in a micro gas turbine combustor for CO2 capture. Fuel 2016, 173, 146–154. [Google Scholar] [CrossRef]
- Herraiz, L.; Fernández, E.S.; Palfi, E.; Lucquiaud, M. Selective exhaust gas recirculation in combined cycle gas turbine power plants with post-combustion CO2 capture. Int. J. Greenh. Gas Control 2018, 71, 303–321. [Google Scholar] [CrossRef]
- Belaissaoui, B.; Cabot, G.; Cabot, M.-S.; Willson, D.; Favre, E. An energetic analysis of CO2 capture on a gas turbine combining flue gas recirculation and membrane separation. Energy 2012, 38, 167–175. [Google Scholar] [CrossRef]
- Ditaranto, M.; Heggset, T.; Berstad, D. Concept of hydrogen fired gas turbine cycle with exhaust gas recirculation: Assessment of process performance. Energy 2020, 192, 116646. [Google Scholar] [CrossRef]
- Liuzzo, G.; Verdone, N.; Bravi, M. The benefits of flue gas recirculation in waste incineration. Waste Manag. 2007, 27, 106–116. [Google Scholar] [CrossRef] [PubMed]
- Kim, H.K.; Kim, Y.; Lee, S.M.; Ahn, K.Y. NO reduction in 0.03–0.2 MW oxy-fuel combustor using flue gas recirculation technology. Proc. Combust. Inst. 2007, 31, 3377–3384. [Google Scholar] [CrossRef]
- Guethe, F.; de la Cruz Garci’a, M.; Burdet, A. Flue gas recirculation in gas turbine: Investigation of combustion reactivity and NOx emission. In Proceedings of the Turbo Expo: Power for Land, Sea, and Air, Orlando, FL, USA, 8–12 June 2009; pp. 179–191. [Google Scholar]
- Pan, D.; Zhu, T.; Ji, C.; Ke, E. Effects of flue gas recirculation on self-excited combustion instability and NOx emission of a premixed flame. Therm. Sci. Eng. Prog. 2022, 30, 101252. [Google Scholar] [CrossRef]
- Røkke, P.; Hustad, J. Exhaust gas recirculation in gas turbines for reduction of CO2 emissions; combustion testing with focus on stability and emissions. Int. J. Thermodyn. 2005, 8, 167–173. [Google Scholar]
- Cha, J.; Kwon, J.; Cho, Y.; Park, S. The effect of exhaust gas recirculation (EGR) on combustion stability, engine performance and exhaust emissions in a gasoline engine. KSME Int. J. 2001, 15, 1442–1450. [Google Scholar] [CrossRef]
- Pope, S.B. Turbulent flows. Meas. Sci. Technol. 2001, 12, 2020–2021. [Google Scholar] [CrossRef]
- Shur, M.L.; Spalart, P.R.; Strelets, M.K.; Travin, A.K. A hybrid RANS-LES approach with delayed-DES and wall-modelled LES capabilities. Int. J. Heat Fluid Flow 2008, 29, 1638–1649. [Google Scholar] [CrossRef]
- Moin, P.; Ferziger, J. Model consistency in the large eddy simulation of turbulent channel flows. In Proceedings of the 19th AIAA, Fluid Dynamics, Plasma Dynamics, and Lasers Conference, Honolulu, HI, USA, 8–10 June 1987; p. 1446. [Google Scholar]
- Cordier, L.; Bergmann, M. Post-Processing of Experimental and Numerical Data; von Karman Institute for Fluid Dynamics: Sint-Genesius-Rode, Belgium, 2003; Volume 3. [Google Scholar]
- Holmes, P. Turbulence, Coherent Structures, Dynamical Systems and Symmetry; Cambridge University Press: Cambridge, UK, 2012. [Google Scholar]
- Chatterjee, A. An introduction to the proper orthogonal decomposition. Curr. Sci. 2000, 78, 808–817. [Google Scholar]
- Liu, K.; Haworth, D.C. Development and Assessment of POD for Analysis of Turbulent Flow in Piston Engines; 0148-7191; SAE Technical Paper; SAE International: Warrendale, PA, USA, 2011. [Google Scholar]
- Cai, J.; Jeng, S.-M.; Tacina, R. The structure of a swirl-stabilized reacting spray issued from an axial swirler. In Proceedings of the 43rd AIAA Aerospace Sciences Meeting and Exhibit, Reno, NV, USA, 10–13 January 2005; p. 1424. [Google Scholar]
- Kundu, K.; Penko, P.; VanOverbeke, T. A practical kinetic mechanism for computing combustion in gas turbine engines. In Proceedings of the 35th Joint Propulsion Conference and Exhibit, Los Angeles, CA, USA, 20–24 June 1999; p. 2218. [Google Scholar]











| Pressure (Pa) | Temperature (K) | Oxygen Content (wt%) | Equivalence Ratio | |
|---|---|---|---|---|
| Case1 | 1.01 × 106 | 770 | 11 | 0.36 |
| Case2 | 1.01 × 106 | 770 | 17 | 0.36 |
| Case3 | 1.01 × 106 | 770 | 23 | 0.36 |
Disclaimer/Publisher’s Note: The statements, opinions and data contained in all publications are solely those of the individual author(s) and contributor(s) and not of MDPI and/or the editor(s). MDPI and/or the editor(s) disclaim responsibility for any injury to people or property resulting from any ideas, methods, instructions or products referred to in the content. |
© 2024 by the authors. Licensee MDPI, Basel, Switzerland. This article is an open access article distributed under the terms and conditions of the Creative Commons Attribution (CC BY) license (https://creativecommons.org/licenses/by/4.0/).
Share and Cite
Chen, M.; Huang, X.; Wang, Z.; Zheng, H.; Deng, F. Impact of Oxygen Content on Flame Dynamics in a Non-Premixed Gas Turbine Model Combustor. J. Mar. Sci. Eng. 2024, 12, 621. https://doi.org/10.3390/jmse12040621
Chen M, Huang X, Wang Z, Zheng H, Deng F. Impact of Oxygen Content on Flame Dynamics in a Non-Premixed Gas Turbine Model Combustor. Journal of Marine Science and Engineering. 2024; 12(4):621. https://doi.org/10.3390/jmse12040621
Chicago/Turabian StyleChen, Mingmin, Xinbo Huang, Zhaokun Wang, Hongtao Zheng, and Fuquan Deng. 2024. "Impact of Oxygen Content on Flame Dynamics in a Non-Premixed Gas Turbine Model Combustor" Journal of Marine Science and Engineering 12, no. 4: 621. https://doi.org/10.3390/jmse12040621
APA StyleChen, M., Huang, X., Wang, Z., Zheng, H., & Deng, F. (2024). Impact of Oxygen Content on Flame Dynamics in a Non-Premixed Gas Turbine Model Combustor. Journal of Marine Science and Engineering, 12(4), 621. https://doi.org/10.3390/jmse12040621
