Energy Characteristics in the Flow Channel of the Shaft-Type Tubular Pumping Station Considering Tides
Abstract
1. Introduction
2. Numerical Simulation Methods
2.1. Governing Equations
2.2. Entropy Production Theory
2.3. Computational Domains
2.4. Grid Division
2.5. Boundary Condition Settings
2.6. Analysis Sections
3. Experimental Verifications
4. Results Analysis
4.1. Flow Pattern Analysis
4.2. Distribution of Flow Velocity and Pressure Characteristics of Impeller
4.3. Energy Entropy Generation Characteristics
5. Conclusions
- (1)
- The flow in the shaft-type channel is smooth, and the overall flow pattern is rather uniform during the pumping condition. During the contraction section of the shaft-type flow channel, a low-pressure zone forms that extends to the center edge of the shaft. As the flow rate increases, this range does as well. There is a vortex in the center of the straight-type flow channel, which squeezes the water flow, while the flow pattern in the channel is disordered without the existence of a low-pressure zone. Under the generating condition, the straight-type flow channel is used as an inlet flow channel with a good flow pattern. Upon the water’s smooth passage into the shaft-type flow channel, a low-pressure area can be observed near to the constriction portion. The change in the trend is consistent with the pressure distribution region during advancement.
- (2)
- Compared with the pumping condition, the impeller’s flow velocity is higher during the generating condition. On the leading edge of the blade, there is a zone of high speed, and as the flow rate increases, the range gradually gets wider.
- (3)
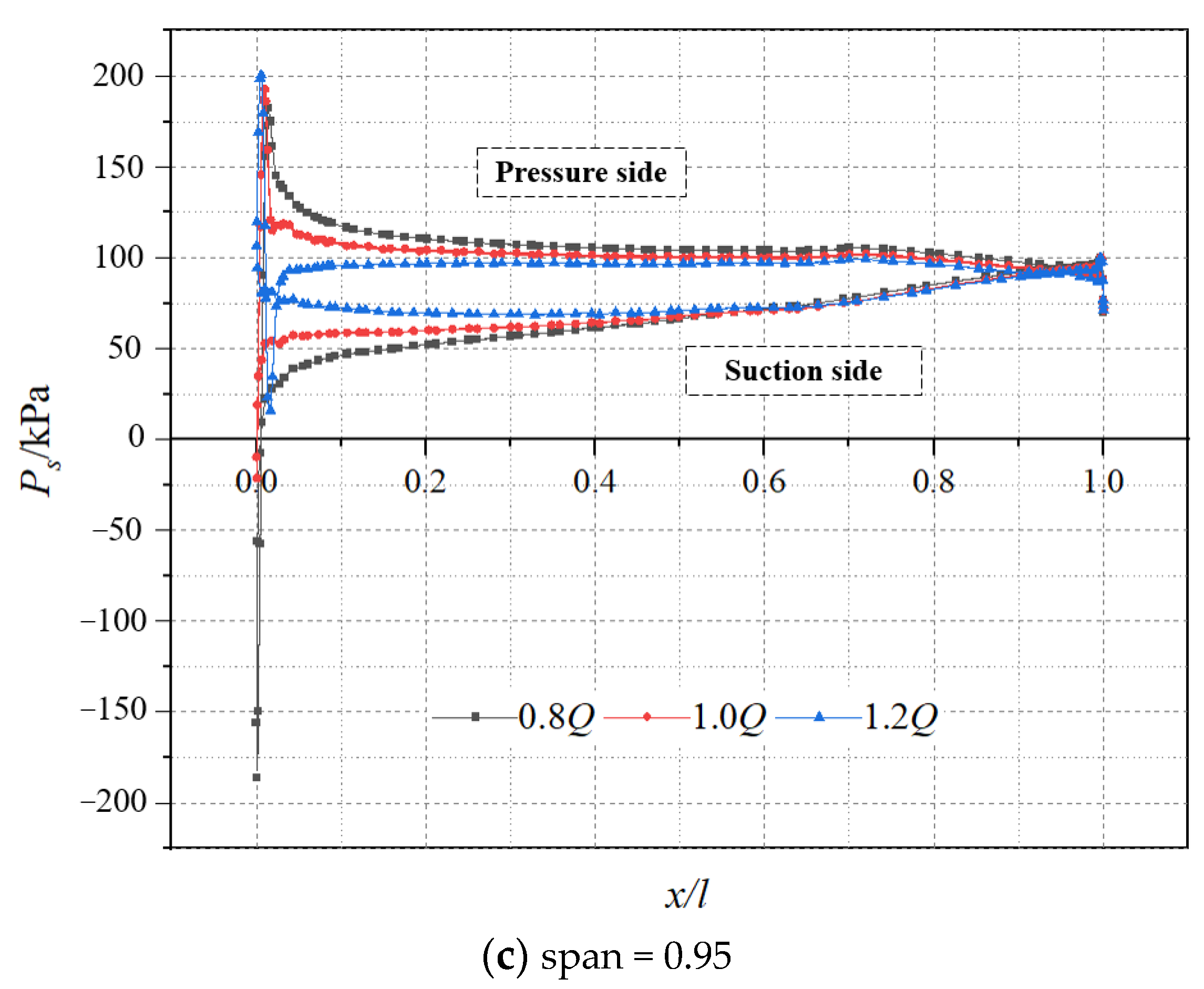
- As the flow rate increases, the static pressure differential between the impeller blade surface’s suction and pressure surfaces gets progressively reduced, enhancing the flow characteristics in the blade groove channel.
- (4)
- By analyzing the energy loss of the entire pumping station, it is found that the high-entropy production area is mainly centralized in the convergent section of the flow channel and the wall surface of the shaft-type when the shaft-type flow channel is used as the inlet and outlet flow channels, respectively. There is almost no energy loss when the straight-type flow channel is used as the inlet flow channel. When functioning as the outlet channel, a high-entropy production area emerges near the inlet surface, attributed to the turbulence of the water flow. Mainly at the impeller inlet and the blade groove channel during the pumping condition is the high-entropy generation rate location at the impeller. In addition, under the generating condition, the impeller outlet and the blade channel are the primary locations of the high-entropy generation region. With the increase in flow rate, this area gradually expands to cover 80% of the blade groove channel. Furthermore, when under pumping conditions, the guide vane’s zone of high entropy production is mostly focused on its inlet side; conversely, when operating in reverse, the region of high entropy production is primarily concentrated on its outlet side. The area expands and covers 50% of the blade groove channel under high-flow conditions.
Author Contributions
Funding
Institutional Review Board Statement
Informed Consent Statement
Data Availability Statement
Acknowledgments
Conflicts of Interest
References
- Liu, C. Researches and developments of axial-flow pump system. Nongye Jixie Xuebao/Trans. Chin. Soc. Agric. Mach. 2015, 46, 49–59. [Google Scholar] [CrossRef]
- Yang, J.; Fang, G.; Hu, D.; Cai, Z.; Zhai, J.; Zheng, Y.; Kan, K. Hydrodynamic and structura1 stabi1ity analysis for shaft type tubular pump unit. IOP Conf. Ser. Earth Environ. Sci. 2021, 647, 012038. [Google Scholar] [CrossRef]
- Jin, K.; Chen, Y.; Tang, F.; Shi, L.; Liu, H.; Zhang, W. Influence of shaft type location on hydraulic characteristics of bidirectional tubular pump systems. J. Hydroelectr. Eng. 2021, 40, 67–77. [Google Scholar] [CrossRef]
- Chen, S.; Yan, H.; Zhou, Z.; He, Z.; Wang, L. Three-dimensional turbulent numerical simulation and model test of front-shaft type tubular inlet conduit of pumping station. Trans. Chin. Soc. Agric. Eng. 2014, 30, 63–71. [Google Scholar] [CrossRef]
- Landvogt, B.; Osiecki, L.; Patrosz, P.; Zawistowski, T.; Zylinski, B. Numerical simulation of fluid-structure interaction in the design process for a new axial hydraulic pump. Prog. Comput. Fluid Dyn. Int. J. 2014, 14, 31–37. [Google Scholar] [CrossRef]
- Lucius, A.; Brenner, G. Numerical Simulation and Evaluation of Velocity Fluctuations During Rotating Stall of a Centrifugal Pump. J. Fluids Eng. 2011, 133, 081102. [Google Scholar] [CrossRef]
- Xu, L.; Lu, L.; Chen, W.; Wang, G. Flow pattern analysis on inlet and outlet conduit of shaft type tubular pump system of Pizhou pumping station in South-to-North Water Diversion Project. Trans. Chin. Soc. Agric. Eng. 2012, 28, 50–56. [Google Scholar] [CrossRef]
- Lu, W.; Zhang, X. Research on model test of hydraulic characteristics for super-low head shaft type well tubular pump unit. J. Irrig. Drain. 2012, 31, 103–106. [Google Scholar] [CrossRef]
- Yang, F.; Liu, C.; Tang, F.; Cheng, L.; Lv, D. Numerical simulation of 3D internal flow and performance analysis of the shaft type tubular pump system. J. Hydroelectr. Eng. 2014, 33, 178–184. [Google Scholar] [CrossRef]
- Yang, F.; Liu, C.; Tang, F.; Zhou, J. Shaft type shape evolution and analysis of its effect on the pumping system hydraulic performance. J. Basic Sci. Eng. 2014, 22, 129–139. [Google Scholar] [CrossRef]
- Shi, L.; Liu, X.; Tang, F.; Yao, Y.; Xie, R.; Zhang, W. Design optimization and experimental analysis of bidirectional shaft type tubular pumping station. Nongye Jixie Xuebao/Trans. Chin. Soc. Agric. Mach. 2016, 47, 85–91. [Google Scholar] [CrossRef]
- Lin, P.; Bai, Z.; Tang, F.; Zhang, Y.; Zhen, B.; Wang, Y. The influence of guide vanes on force imposed to bidirectional shaft type tubular pump. J. Irrig. Drain. 2023, 42, 82–89. [Google Scholar] [CrossRef]
- Zhang, R.; Tan, S.; Ding, X.; Xu, H.; Feng, J.; Mou, T.; Fei, Z. Flow loss characteristics of a shaft type tubular pump based on entropy production theory. Adv. Sci. Technol. Water Resour. 2022, 42, 6–12. [Google Scholar] [CrossRef]
- Qian, Z.; Zhou, X.; Jiao, H.; Xia, Z.; Chen, S. Research on the Channel and Front Guide Vane of the Shaft type Tubular Pump Unit Based on CFD. China Rural Water Hydropower 2022, 101–106+112. Available online: https://link.cnki.net/urlid/42.1419.tv.20211215.1529.026 (accessed on 24 February 2024).
- Luo, C.; Du, K.; Qi, W.; Cheng, L.; Huang, X.; Lu, J. Investigation on the effect of the shaft type transition form on the inflow pattern and hydrodynamic characteristics of the pre-shaft type tubular pumping station. Front. Energy Res. 2022, 10, 955492. [Google Scholar] [CrossRef]
- Cheng, K.; Li, S.; Cheng, L.; Sun, T.; Zhang, B.; Jiao, W. Experiment on Influence of Blade Angle on Hydraulic Characteristics of the Shaft type Tubular Pumping Device. Processes 2022, 10, 590. [Google Scholar] [CrossRef]
- Ji, D.; Lu, W.; Lu, L.; Xu, L.; Liu, J.; Shi, W.; Huang, G. Study on the Comparison of the Hydraulic Performance and Pressure Pulsation Characteristics of a Shaft type Front-Positioned and a Shaft type Rear-Positioned Tubular Pumping stations. J. Mar. Sci. Eng. 2022, 10, 8. [Google Scholar] [CrossRef]
- Jiao, H.; Sun, C.; Chen, S. Analysis of the influence of inlet guide vanes on the performance of shaft type tubular pumps. Shock Vib. 2021, 2021, 5177313. [Google Scholar] [CrossRef]
- Xu, L.; Lv, F.; Li, F.; Ji, D.; Shi, W.; Lu, W.; Lu, L. Comparison of energy performance of shaft type tubular pumping station at two guide vane inlet angles. Processes 2022, 10, 1054. [Google Scholar] [CrossRef]
- Lin, Z.; Yang, F.; Guo, J.; Jian, H.; Sun, S.; Jin, X. Leakage Flow Characteristics in Blade Tip of Shaft type Tubular Pump. J. Mar. Sci. Eng. 2023, 11, 1139. [Google Scholar] [CrossRef]
- Meng, F.; Li, Y.; Pei, J. Energy characteristics of full tubular pumping station with different backflow clearances based on entropy production. Appl. Sci. 2021, 11, 3376. [Google Scholar] [CrossRef]
- Chen, J.; Su, Z.; Wang, M.; Pu, J.; Chen, S. Numerical analysis of hydraulic characteristics of shaft tubular pump set. China Rural Water Hydropower 2018, 7, 152–157. [Google Scholar]
- Wang, F. Analysis Method of Flow in Pumps and Pumping Stations; China Water Power Press: Beijing, China, 2020. [Google Scholar]
- Kock, F.; Herwig, H. Local entropy production in turbulent shear flows: A high-Reynolds number model with wall functions. Int. J. Heat Mass Transf. 2004, 47, 2205–2215. [Google Scholar] [CrossRef]
- Zhao, W.; Zhang, J.; Yu, X.; Zhou, D.; Calamak, M. Multiobjective optimization of a tubular pump to improve the applicable operating head and hydraulic performance. Proc. Inst. Mech. Eng. Part C J. Mech. Eng. Sci. 2021, 235, 1555–1566. [Google Scholar] [CrossRef]
- Gu, Y.; Sun, H.; Wang, C.; Lu, R.; Liu, B.; Ge, J. Effect of Trimmed Rear Shroud on Performance and Axial Thrust of Multi-Stage Centrifugal Pump With Emphasis on Visualizing Flow Losses. J. Fluids Eng. 2024, 146, 011204. [Google Scholar] [CrossRef]
- Celik, I.; Ghia, U.; Roache, P.; Freitas, C. Procedure for estimation and reporting of uncertainty due to discretization in CFD applications. J. Fluids Eng. 2008, 130, 078001. [Google Scholar] [CrossRef]
- Guo, Q. Study on the Characteristics of the Blade Tip Leakage Vortex Flow and the Cavitating Flow Field. Ph.D. Thesis, China Agricultural University, Beijing, China, 2017. [Google Scholar]






















| Parameter | Impeller Diameter D (mm) | Rotation Speed n (rev/min) | Design Flow Rate Q (L/s) | Blade Number |
|---|---|---|---|---|
| Value | 300 | 1000 | 210 | 3 |
| Total Number of Grid Nodes | ||||
|---|---|---|---|---|
| 1,087,016 (N1) | 0.76340 | |||
| 2,645,892 (N2) | 1.35 | 0.76380 | 0.00482085 | 0.454037116 |
| 6,478,458 (N3) | 1.35 | 0.76750 | 0.00052370 | 0.049807763 |
| Flow condition | 0.7Q | 0.8Q | 0.9Q | 1.0Q | 1.1Q | 1.2Q |
| Experimental head (m) | 2.64 | 2.39 | 2.12 | 1.79 | 1.41 | 1.08 |
| Numerical head (m) | 2.81 | 2.60 | 2.31 | 2.00 | 1.53 | 0.95 |
| MAPE (%) | 9.1 | |||||
| Experimental efficiency (%) | 66.22 | 73.12 | 74.54 | 77.89 | 77.55 | 69.81 |
| Numerical efficiency (%) | 65.40 | 71.78 | 75.11 | 78.23 | 77.22 | 70.85 |
| MAPE (%) | 1.0 | |||||
Disclaimer/Publisher’s Note: The statements, opinions and data contained in all publications are solely those of the individual author(s) and contributor(s) and not of MDPI and/or the editor(s). MDPI and/or the editor(s) disclaim responsibility for any injury to people or property resulting from any ideas, methods, instructions or products referred to in the content. |
© 2024 by the authors. Licensee MDPI, Basel, Switzerland. This article is an open access article distributed under the terms and conditions of the Creative Commons Attribution (CC BY) license (https://creativecommons.org/licenses/by/4.0/).
Share and Cite
He, Y.; Luo, C.; Cheng, L.; Gu, Y.; Gu, B. Energy Characteristics in the Flow Channel of the Shaft-Type Tubular Pumping Station Considering Tides. J. Mar. Sci. Eng. 2024, 12, 607. https://doi.org/10.3390/jmse12040607
He Y, Luo C, Cheng L, Gu Y, Gu B. Energy Characteristics in the Flow Channel of the Shaft-Type Tubular Pumping Station Considering Tides. Journal of Marine Science and Engineering. 2024; 12(4):607. https://doi.org/10.3390/jmse12040607
Chicago/Turabian StyleHe, Yufan, Can Luo, Li Cheng, Yandong Gu, and Bin Gu. 2024. "Energy Characteristics in the Flow Channel of the Shaft-Type Tubular Pumping Station Considering Tides" Journal of Marine Science and Engineering 12, no. 4: 607. https://doi.org/10.3390/jmse12040607
APA StyleHe, Y., Luo, C., Cheng, L., Gu, Y., & Gu, B. (2024). Energy Characteristics in the Flow Channel of the Shaft-Type Tubular Pumping Station Considering Tides. Journal of Marine Science and Engineering, 12(4), 607. https://doi.org/10.3390/jmse12040607
