Effect of Wavelength on Turbine Performances and Vortical Wake Flows for Various Submersion Depths
Abstract
1. Introduction
2. Methodology
2.1. Governing Equations
2.2. Wave Theory
3. Computational Methods
3.1. Three-Dimensional Computational Domain and Boundary Conditions
3.2. Numerical Methods
3.3. Mesh
3.4. Validation for Waves and Turbine Performance
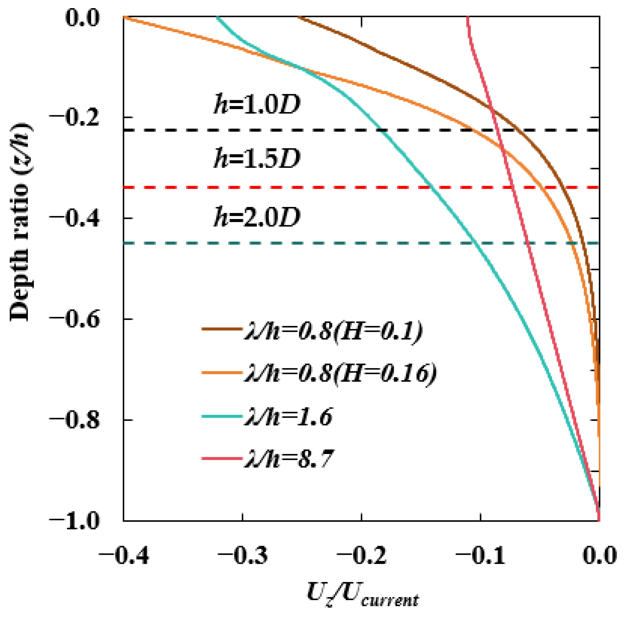
4. Results and Discussion
5. Concluding Remarks
Author Contributions
Funding
Institutional Review Board Statement
Informed Consent Statement
Data Availability Statement
Conflicts of Interest
References
- King, J.; Tryfonas, T. Tidal stream power technology–state of the art. In Proceedings of the OCEANS 2009-EUROPE, Bremen, Germany, 11–14 May 2009; pp. 1–8. [Google Scholar]
- Afgan, I.; McNaughton, J.; Rolfo, S.; Apsley, D.D.; Stallard, T.; Stansby, P. Turbulent flow and loading on a tidal stream turbine by LES and RANS. Int. J. Heat Fluid Flow 2013, 43, 96–108. [Google Scholar] [CrossRef]
- Tian, W.; VanZwieten, J.H.; Pyakurel, P.; Li, Y. Influences of yaw angle and turbulence intensity on the performance of a 20 kW in-stream hydrokinetic turbine. Energy 2016, 111, 104–116. [Google Scholar] [CrossRef]
- Marsh, P.; Ranmuthugala, D.; Penesis, I.; Thomas, G. Three-dimensional numerical simulations of straight-bladed vertical axis tidal turbines investigating power output, torque ripple and mounting forces. Renew. Energy 2015, 83, 67–77. [Google Scholar] [CrossRef]
- Tian, W.; Mao, Z.; Ding, H. Design, test and numerical simulation of a low-speed horizontal axis hydrokinetic turbine. Int. J. Nav. Archit. Ocean Eng. 2018, 10, 782–793. [Google Scholar] [CrossRef]
- Ng, K.-W.; Lam, W.-H.; Ng, K.-C. 2002–2012: 10 Years of Research Progress in Horizontal-Axis Marine Current Turbines. Energies 2013, 6, 1497–1526. [Google Scholar] [CrossRef]
- Morandi, B.; Di Felice, F.; Costanzo, M.; Romano, G.P.; Dhomé, D.; Allo, J.C. Experimental investigation of the near wake of a horizontal axis tidal current turbine. Int. J. Mar. Energy 2016, 14, 229–247. [Google Scholar] [CrossRef]
- Wang, S.-Q.; Li, C.-Y.; Zhang, Y.; Jing, F.-M.; Chen, L.-F. Influence of pitching motion on the hydrodynamic performance of a horizontal axis tidal turbine considering the surface wave. Renew. Energy 2022, 189, 1020–1032. [Google Scholar] [CrossRef]
- Ahmadi, M.H.B. Influence of upstream turbulence on the wake characteristics of a tidal stream turbine. Renew. Energy 2019, 132, 989–997. [Google Scholar] [CrossRef]
- Lust, E.E.; Luznik, L.; Flack, K.A.; Walker, J.M.; Van Benthem, M.C. The influence of surface gravity waves on marine current turbine performance. Int. J. Mar. Energy 2013, 3–4, 27–40. [Google Scholar] [CrossRef]
- Gaurier, B.; Davies, P.; Deuff, A.; Germain, G. Flume tank characterization of marine current turbine blade behaviour under current and wave loading. Renew. Energy 2013, 59, 1–12. [Google Scholar] [CrossRef]
- Galloway, P.W.; Myers, L.E.; Bahaj, A.S. Quantifying wave and yaw effects on a scale tidal stream turbine. Renew. Energy 2014, 63, 297–307. [Google Scholar] [CrossRef]
- Guo, X.; Yang, J.; Gao, Z.; Moan, T.; Lu, H. The surface wave effects on the performance and the loading of a tidal turbine. Ocean Eng. 2018, 156, 120–134. [Google Scholar] [CrossRef]
- Draycott, S.; Payne, G.; Steynor, J.; Nambiar, A.; Sellar, B.; Venugopal, V. An experimental investigation into non-linear wave loading on horizontal axis tidal turbines. J. Fluids Struct. 2019, 84, 199–217. [Google Scholar] [CrossRef]
- Zang, W.; Zheng, Y.; Zhang, Y.; Zhang, J.; Fernandez-Rodriguez, E. Experiments on the mean and integral characteristics of tidal turbine wake in the linear waves propagating with the current. Ocean Eng. 2019, 173, 1–11. [Google Scholar] [CrossRef]
- Kolekar, N.; Banerjee, A. Performance characterization and placement of a marine hydrokinetic turbine in a tidal channel under boundary proximity and blockage effects. Appl. Energy 2015, 148, 121–133. [Google Scholar] [CrossRef]
- Sufian, S.F.; Li, M.; O’Connor, B.A. 3D modelling of impacts from waves on tidal turbine wake characteristics and energy output. Renew. Energy 2017, 114, 308–322. [Google Scholar] [CrossRef]
- Schleicher, W.C.; Riglin, J.D.; Oztekin, A. Numerical characterization of a preliminary portable micro-hydrokinetic turbine rotor design. Renew. Energy 2015, 76, 234–241. [Google Scholar] [CrossRef]
- Tian, W.; Ni, X.; Mao, Z.; Zhang, T. Influence of surface waves on the hydrodynamic performance of a horizontal axis ocean current turbine. Renew. Energy 2020, 158, 37–48. [Google Scholar] [CrossRef]
- Liu, B.; Park, S. CFD Simulations of the Effects of Wave and Current on Power Performance of a Horizontal Axis Tidal Stream Turbine. J. Mar. Sci. Eng. 2023, 11, 425. [Google Scholar] [CrossRef]
- Scarlett, G.T.; Sellar, B.; van den Bremer, T.; Viola, I.M. Unsteady hydrodynamics of a full-scale tidal turbine operating in large wave conditions. Renew. Energy 2019, 143, 199–213. [Google Scholar] [CrossRef]
- Li, Q.; Venugopal, V.; Barltrop, N. Modelling dynamic loadings of a tidal stream turbine in combined wave-current-turbulence environment. Sustain. Energy Technol. Assess. 2022, 50, 101795. [Google Scholar] [CrossRef]
- Holst, M.A.; Dahlhaug, O.G.; Faudot, C. CFD Analysis of Wave-Induced Loads on Tidal Turbine Blades. IEEE J. Ocean. Eng. 2015, 40, 506–521. [Google Scholar] [CrossRef]
- Higuera, P. Enhancing active wave absorption in RANS models. Appl. Ocean Res. 2020, 94, 102000. [Google Scholar] [CrossRef]
- del Jesus, M.; Lara, J.L.; Losada, I.J. Three-dimensional interaction of waves and porous coastal structures. Coast. Eng. 2012, 64, 57–72. [Google Scholar] [CrossRef]
- Rusche, H. Computational Fluid Dynamics of Dispersed Two-Phase Flows at High Phase Fractions. Ph.D. Thesis, Imperial College London, University of London, London, UK, 2003. [Google Scholar]
- Higuera, P.; Lara, J.L.; Losada, I.J. Realistic wave generation and active wave absorption for Navier–Stokes models. Coast. Eng. 2013, 71, 102–118. [Google Scholar] [CrossRef]
- Fenton John, D. A Fifth-Order Stokes Theory for Steady Waves. J. Waterw. Port Coast. Ocean Eng. 1985, 111, 216–234. [Google Scholar] [CrossRef]
- Dean, R.G.; Dalrymple, R.A. Water Wave Mechanics for Engineers and Scientists; World Scientific Publishing Company: Singapore, 1991; Volume 2. [Google Scholar]
- Ng’aru, J.M.; Park, S. Computational Analysis of Cavitating Flows around a Marine Propeller Using Incompressible, Isothermal Compressible, and Fully Compressible Flow Solvers. J. Mar. Sci. Eng. 2023, 11, 2199. [Google Scholar] [CrossRef]
- Menter, F.R. Two-equation eddy-viscosity turbulence models for engineering applications. AIAA J. 1994, 32, 1598–1605. [Google Scholar] [CrossRef]
- Ng’aru, J.M.; Park, S. CFD Simulations of the Effect of Equalizing Duct Configurations on Cavitating Flow around a Propeller. J. Mar. Sci. Eng. 2022, 10, 1865. [Google Scholar] [CrossRef]
- Jeon, W.; Park, S.; Cho, S. Moored motion prediction of a semi-submersible offshore platform in waves using an OpenFOAM and MoorDyn coupled solver. Int. J. Nav. Archit. Ocean Eng. 2023, 15, 100544. [Google Scholar] [CrossRef]
- ITTC. Recommended Procedures and Guidelines; Resistance Test; 2011. Available online: https://ittc.info/media/1403/index.pdf (accessed on 24 March 2024).
- Zhang, Y.; Wei, W.; Zheng, J.; Peng, B.; Qian, Y.; Li, C.; Zheng, Y.; Fernandez-Rodriguez, E.; Yu, A. Quantifying the surge-induced response of a floating tidal stream turbine under wave-current flows. Energy 2023, 283, 129072. [Google Scholar] [CrossRef]
- Chen, G.; Liang, X.-F.; Li, X.-B. Modelling of wake dynamics and instabilities of a floating horizontal-axis wind turbine under surge motion. Energy 2022, 239, 122110. [Google Scholar] [CrossRef]


















| Wavelength and Depth Ratio (λ/h) [-] | Wave Period (T) [s] | Wavelength (λ) [m] | Wave Height (H) [m] |
|---|---|---|---|
| 0.8 | 1.4 | 3.2 | 0.1 |
| 0.8 | 1.4 | 3.2 | 0.16 |
| 1.6 | 2.0 | 3.3 | 0.16 |
| 8.7 | 6.0 | 34.8 | 0.16 |
Disclaimer/Publisher’s Note: The statements, opinions and data contained in all publications are solely those of the individual author(s) and contributor(s) and not of MDPI and/or the editor(s). MDPI and/or the editor(s) disclaim responsibility for any injury to people or property resulting from any ideas, methods, instructions or products referred to in the content. |
© 2024 by the authors. Licensee MDPI, Basel, Switzerland. This article is an open access article distributed under the terms and conditions of the Creative Commons Attribution (CC BY) license (https://creativecommons.org/licenses/by/4.0/).
Share and Cite
Liu, B.; Park, S. Effect of Wavelength on Turbine Performances and Vortical Wake Flows for Various Submersion Depths. J. Mar. Sci. Eng. 2024, 12, 560. https://doi.org/10.3390/jmse12040560
Liu B, Park S. Effect of Wavelength on Turbine Performances and Vortical Wake Flows for Various Submersion Depths. Journal of Marine Science and Engineering. 2024; 12(4):560. https://doi.org/10.3390/jmse12040560
Chicago/Turabian StyleLiu, Bohan, and Sunho Park. 2024. "Effect of Wavelength on Turbine Performances and Vortical Wake Flows for Various Submersion Depths" Journal of Marine Science and Engineering 12, no. 4: 560. https://doi.org/10.3390/jmse12040560
APA StyleLiu, B., & Park, S. (2024). Effect of Wavelength on Turbine Performances and Vortical Wake Flows for Various Submersion Depths. Journal of Marine Science and Engineering, 12(4), 560. https://doi.org/10.3390/jmse12040560

