Analysis of Factors Affecting Vacuum Formation and Drainage in the Siphon-Vacuum Drainage Method for Marine Reclamation
Abstract
1. Introduction
2. Qualitative Analysis of Vacuum Pressure and Drainage
2.1. Calculation Method
2.1.1. Cylindrical Model
2.1.2. Calculation Equations
2.2. Results and Discussion of Vacuum Pressure and Drainage
2.2.1. Vacuum Pressure
2.2.2. Drainage
2.3. Results and Discussion on the Impact of Factors
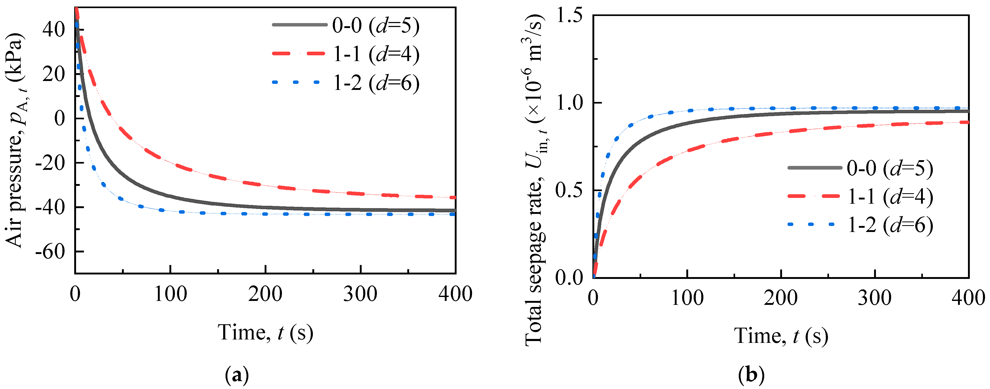
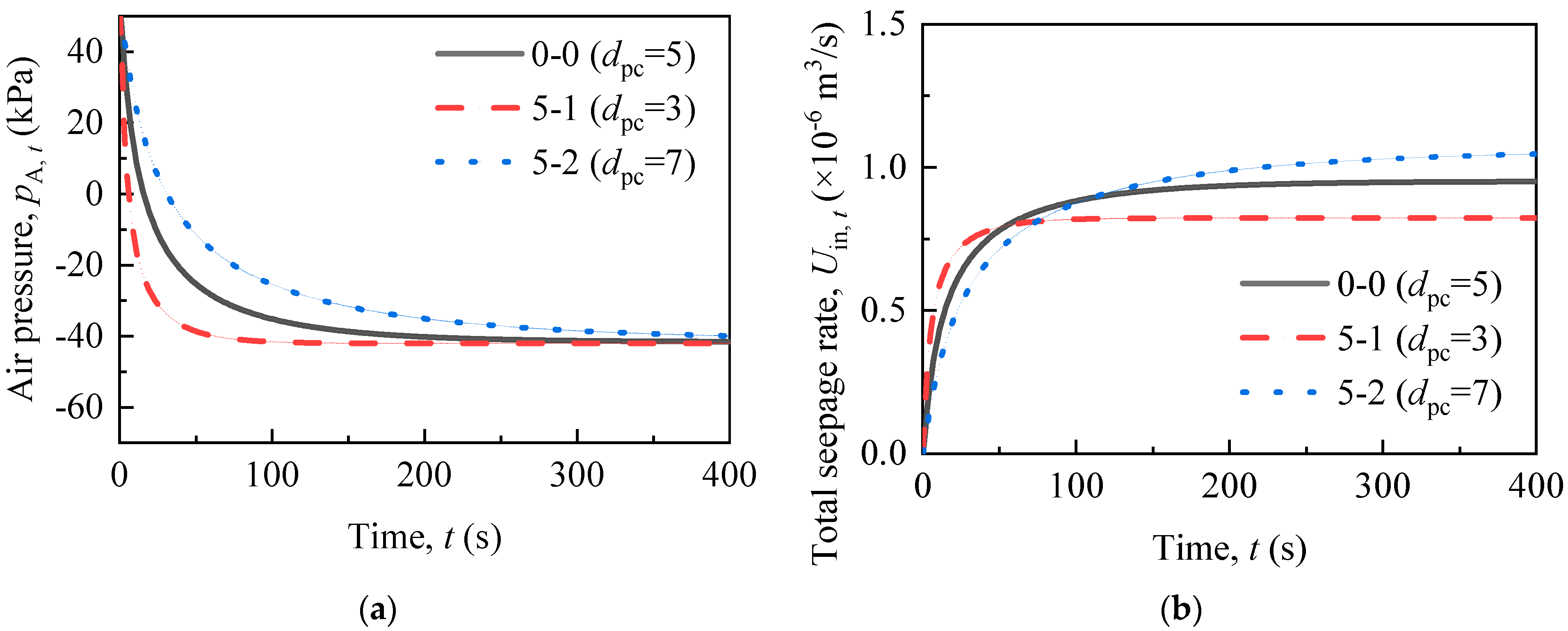
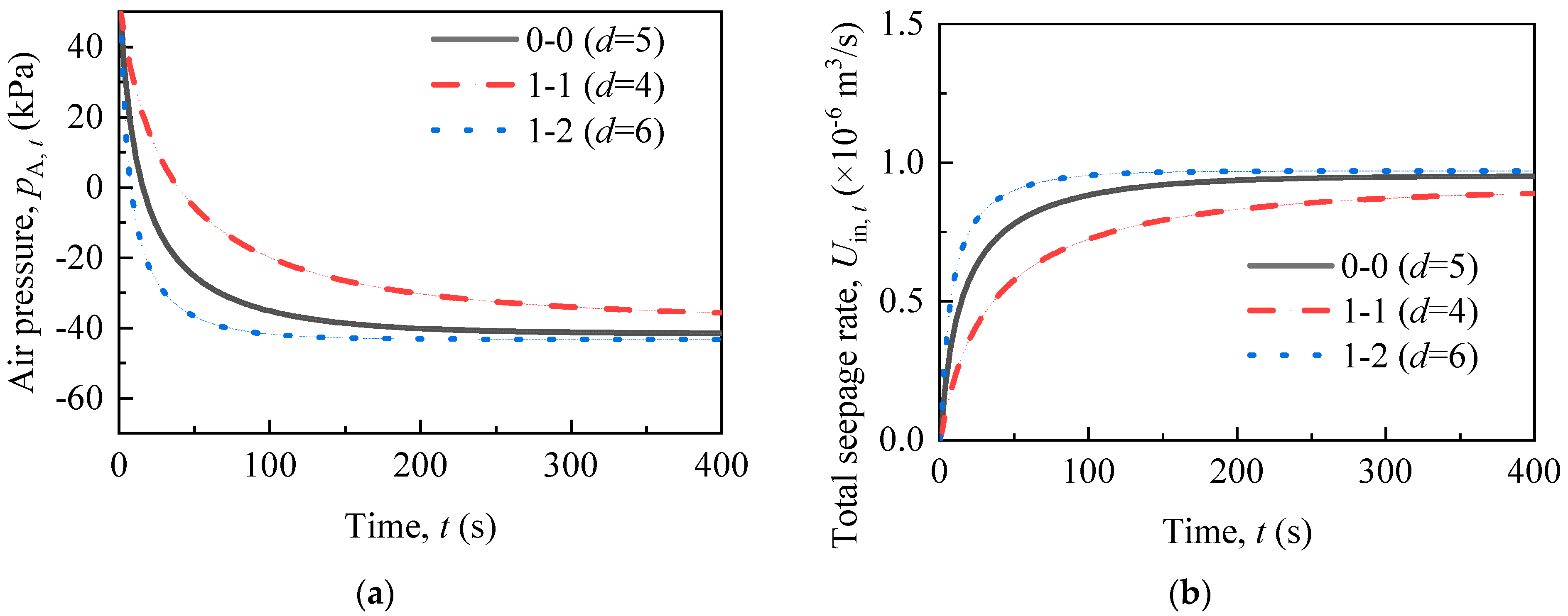
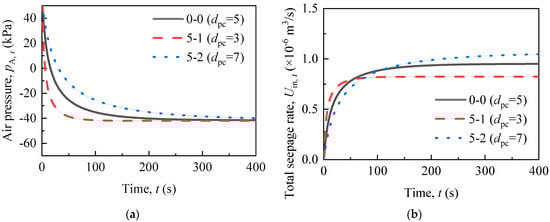
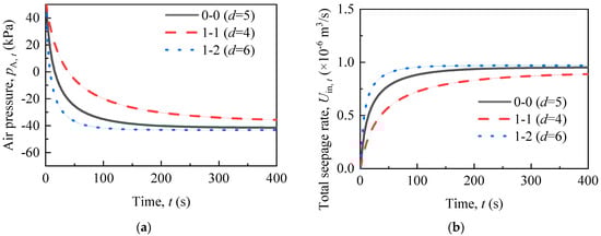
2.3.1. Diameter of Siphon Pipe
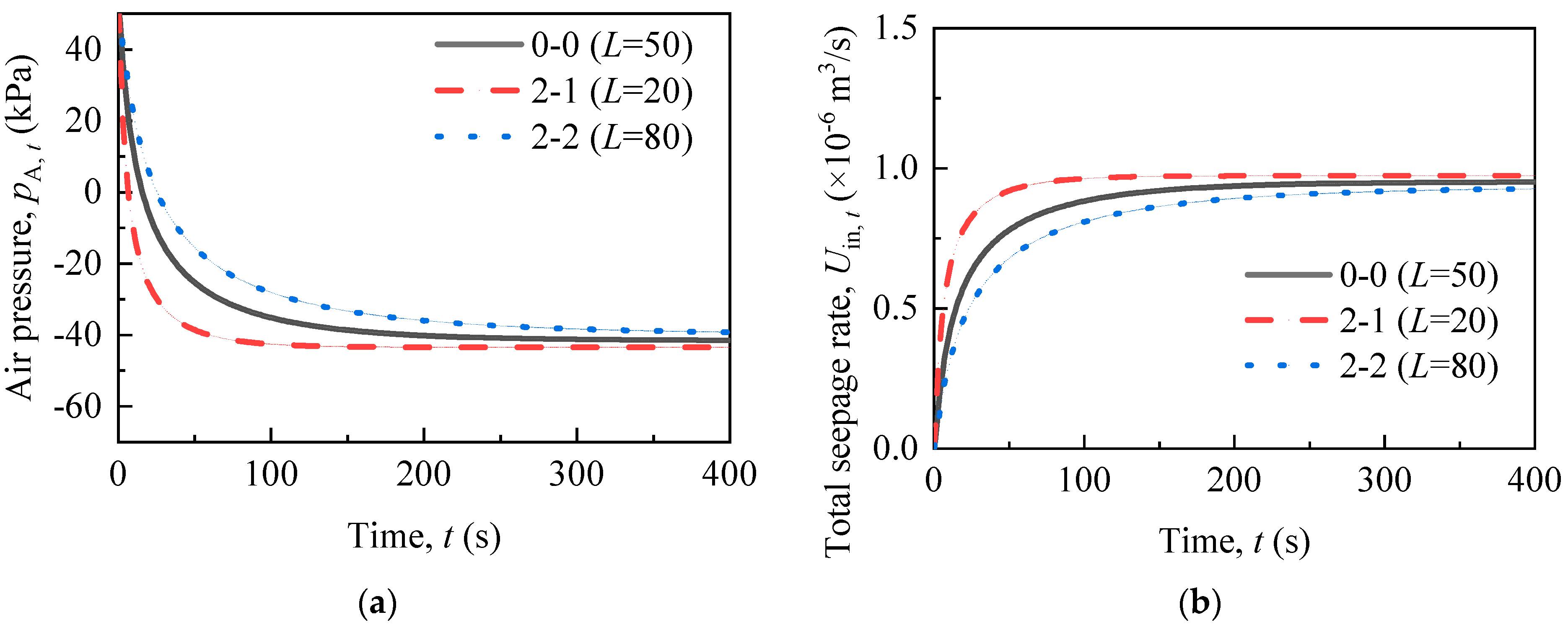
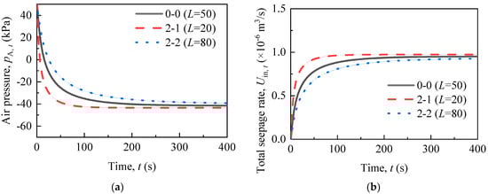
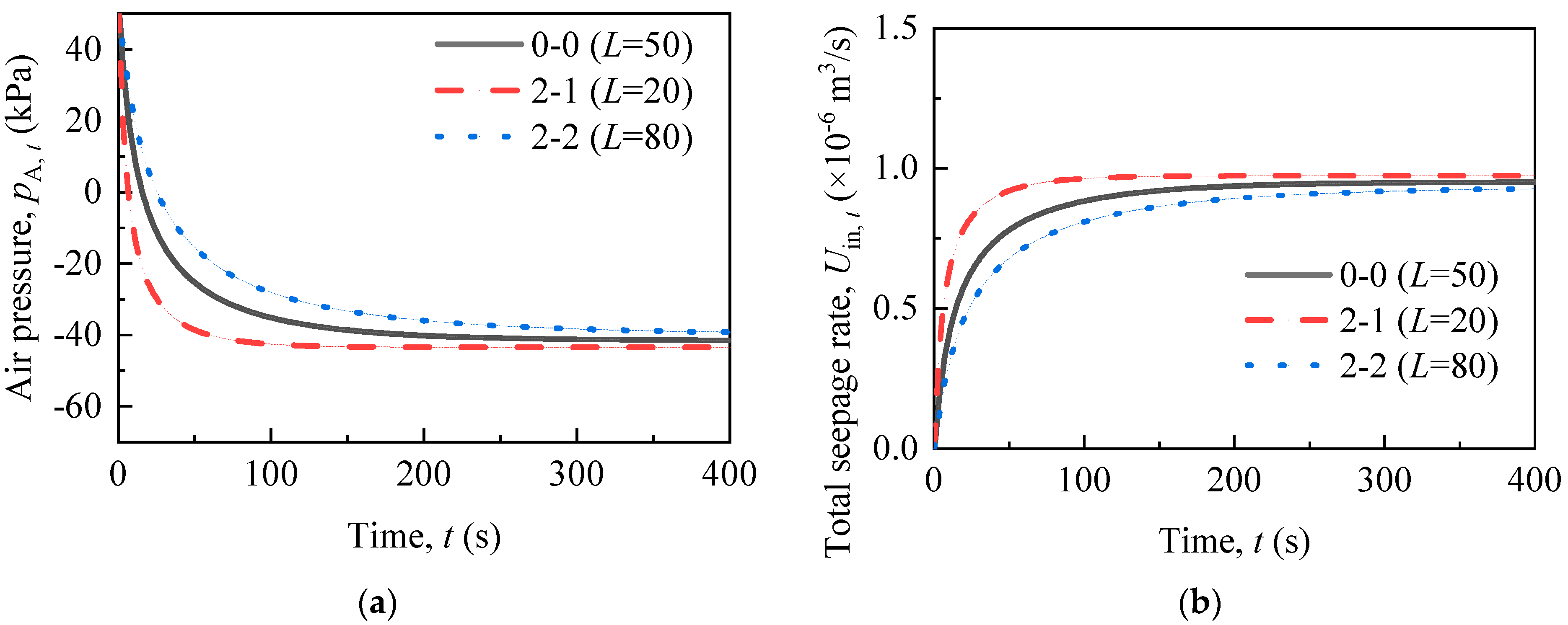
2.3.2. Length of Siphon Pipe
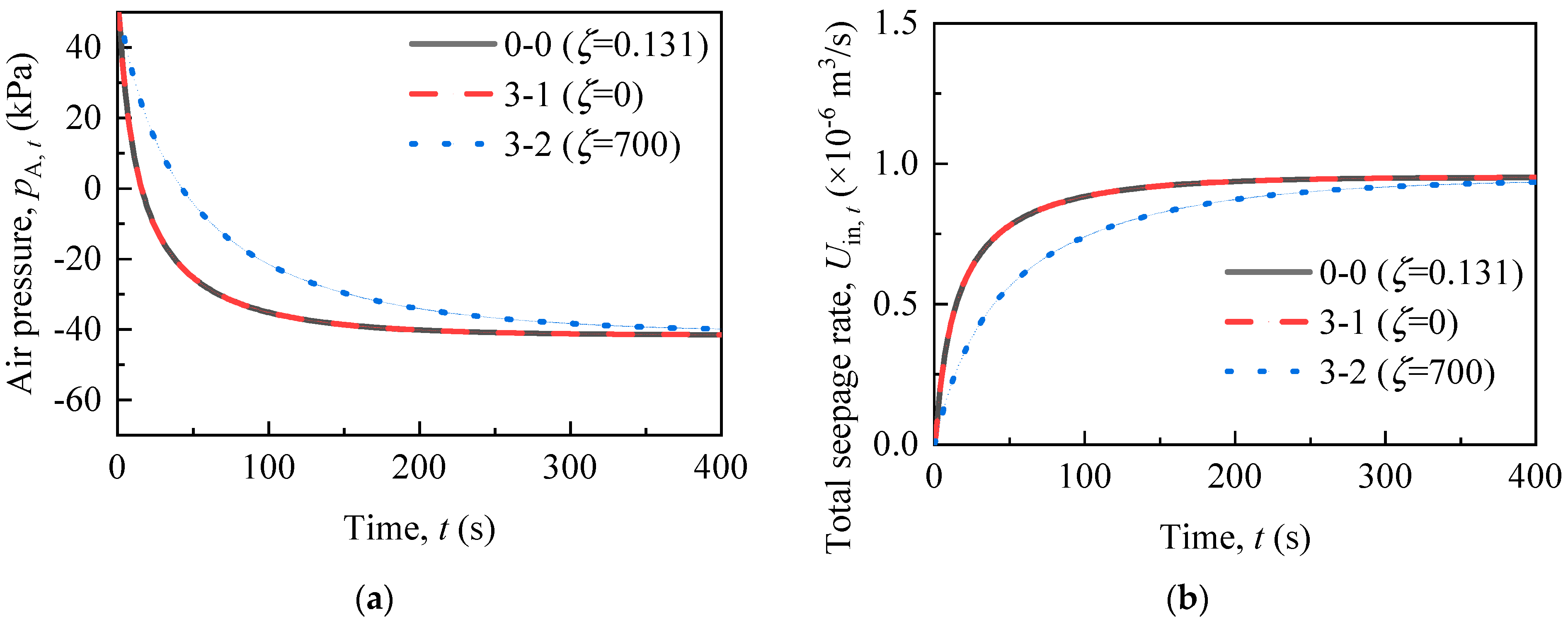
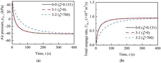
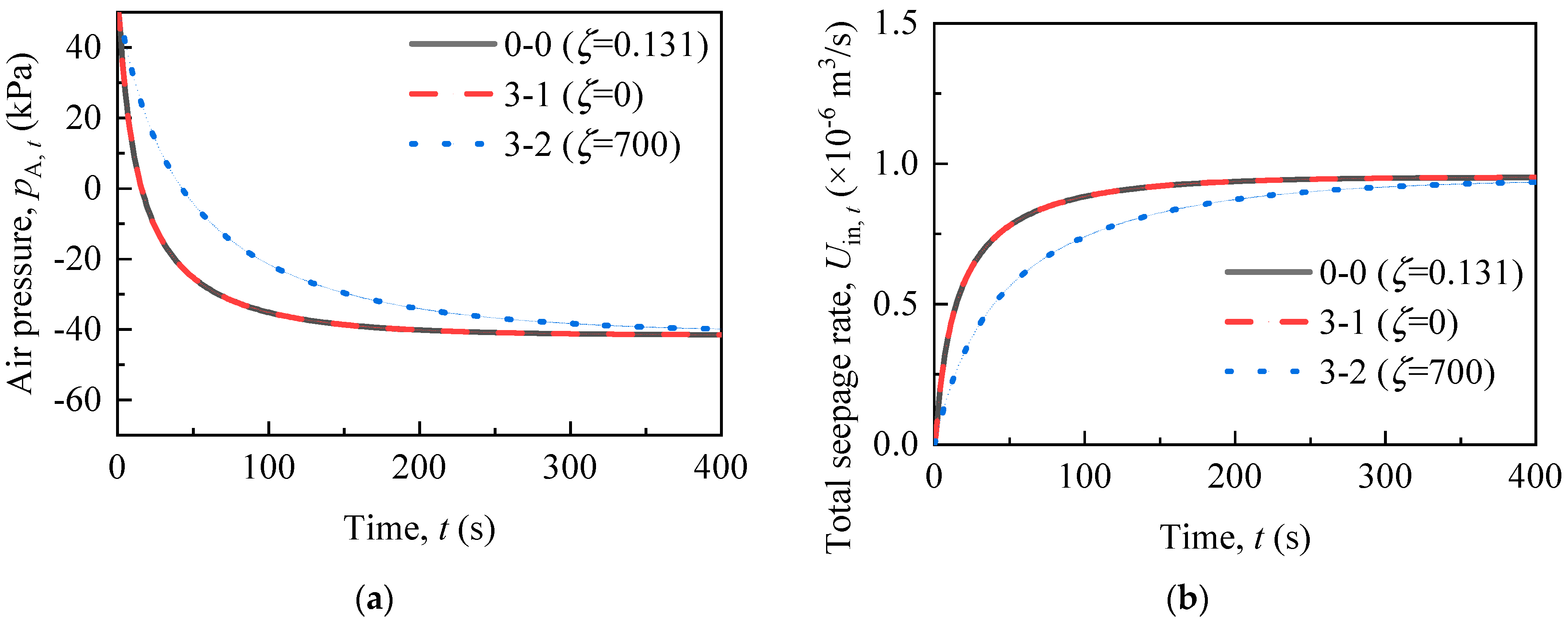
2.3.3. Local Resistance Coefficient of Siphon Pipe
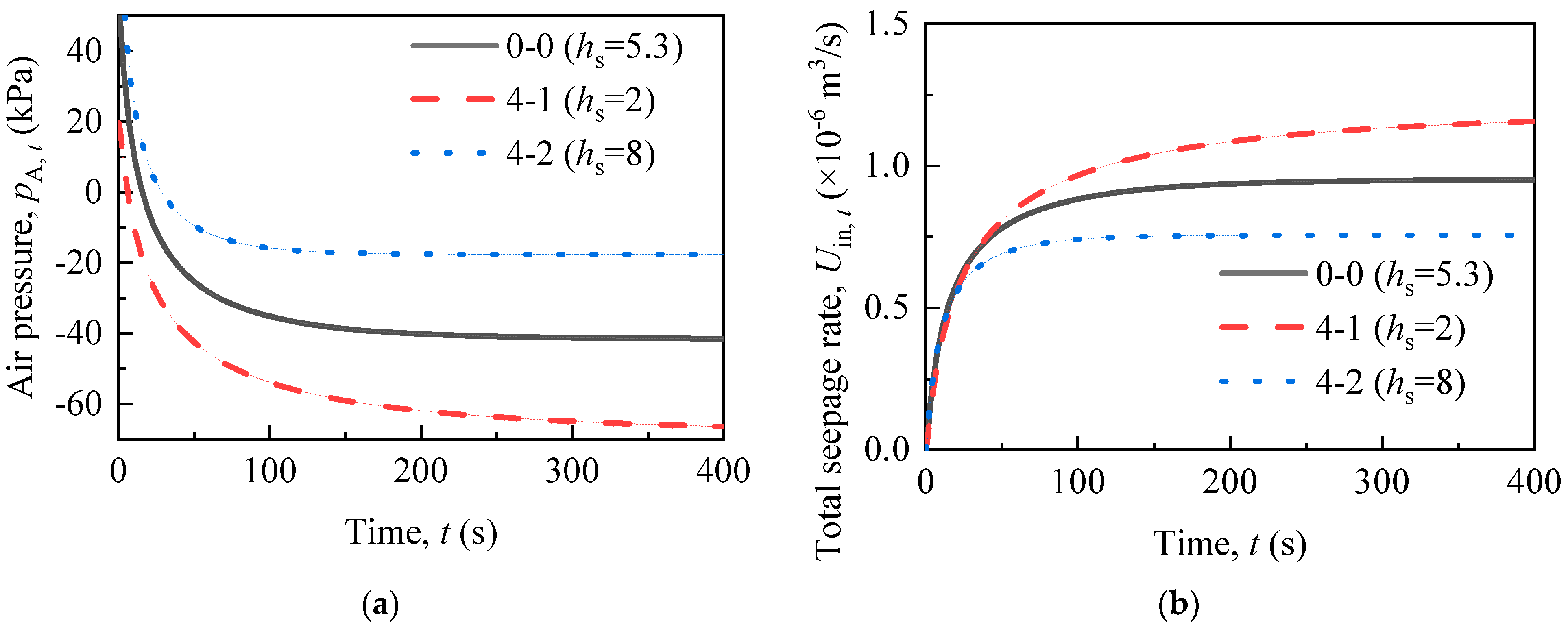
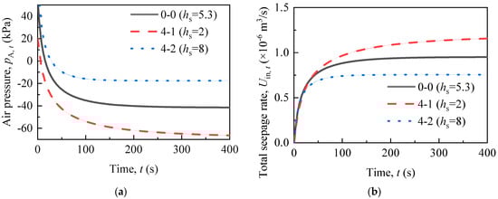
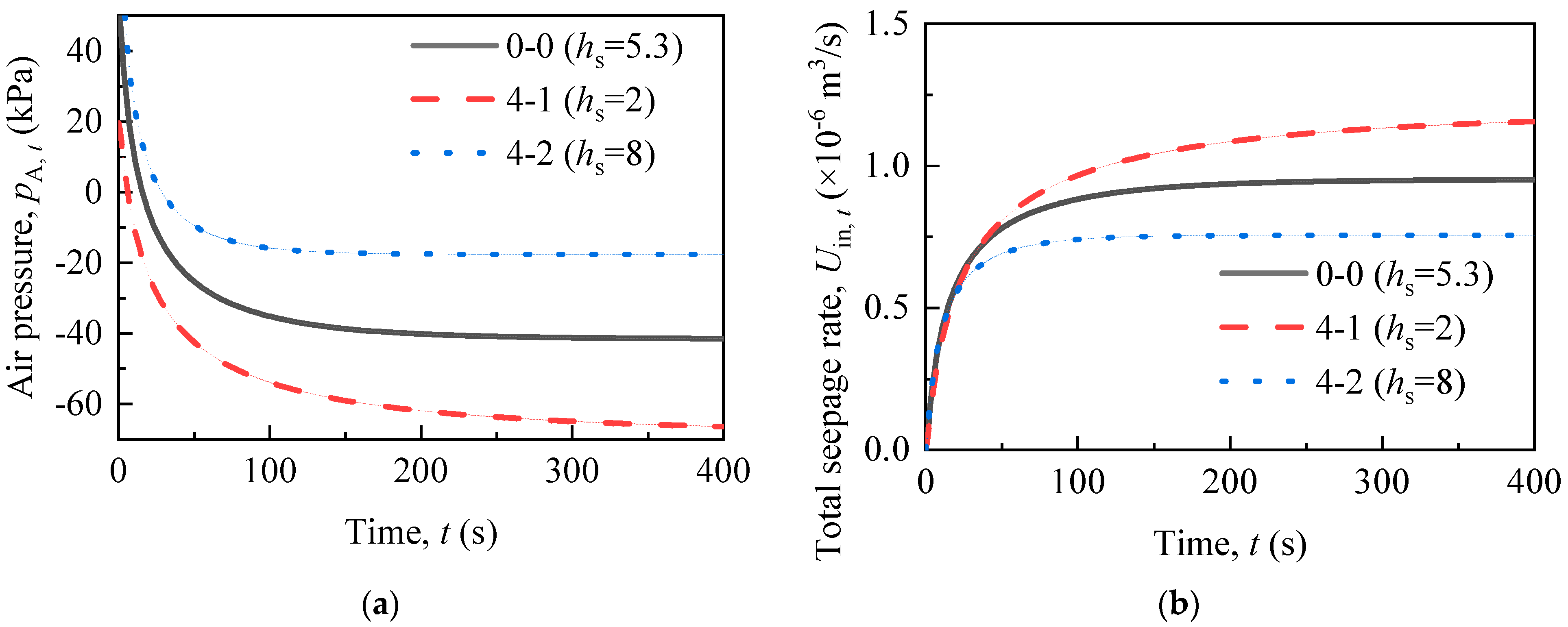
2.3.4. Thickness of Sealing Soil Column
2.3.5. Diameter of Permeable Chamber
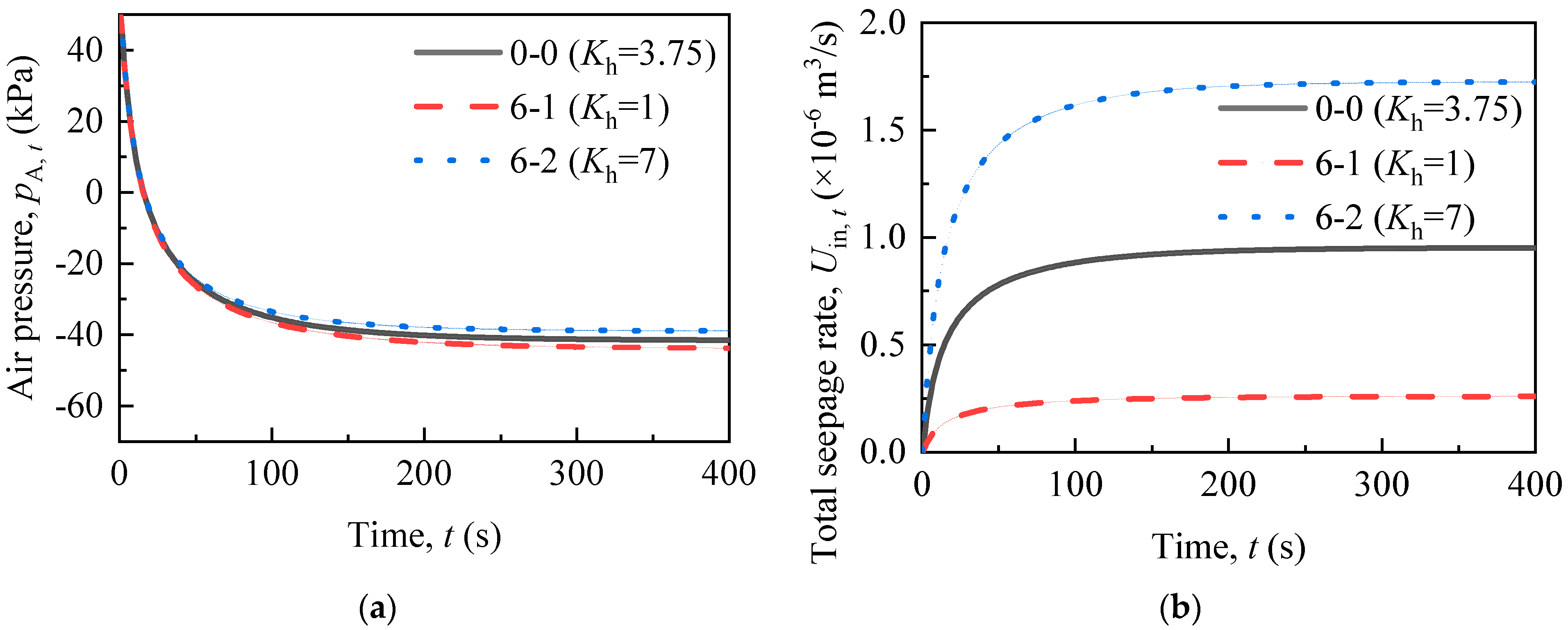
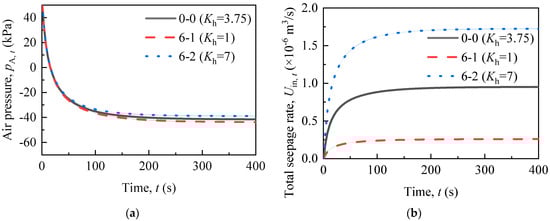
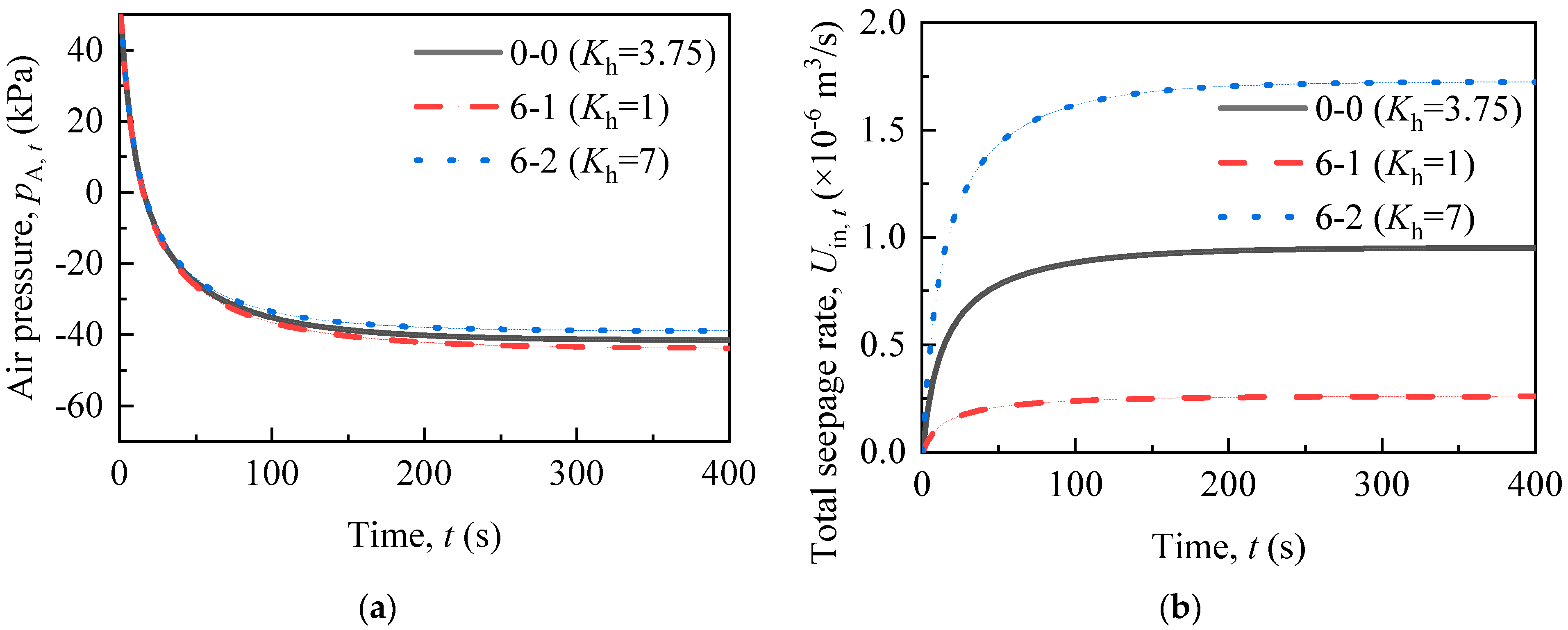
2.3.6. Horizontal Hydraulic Conductivity
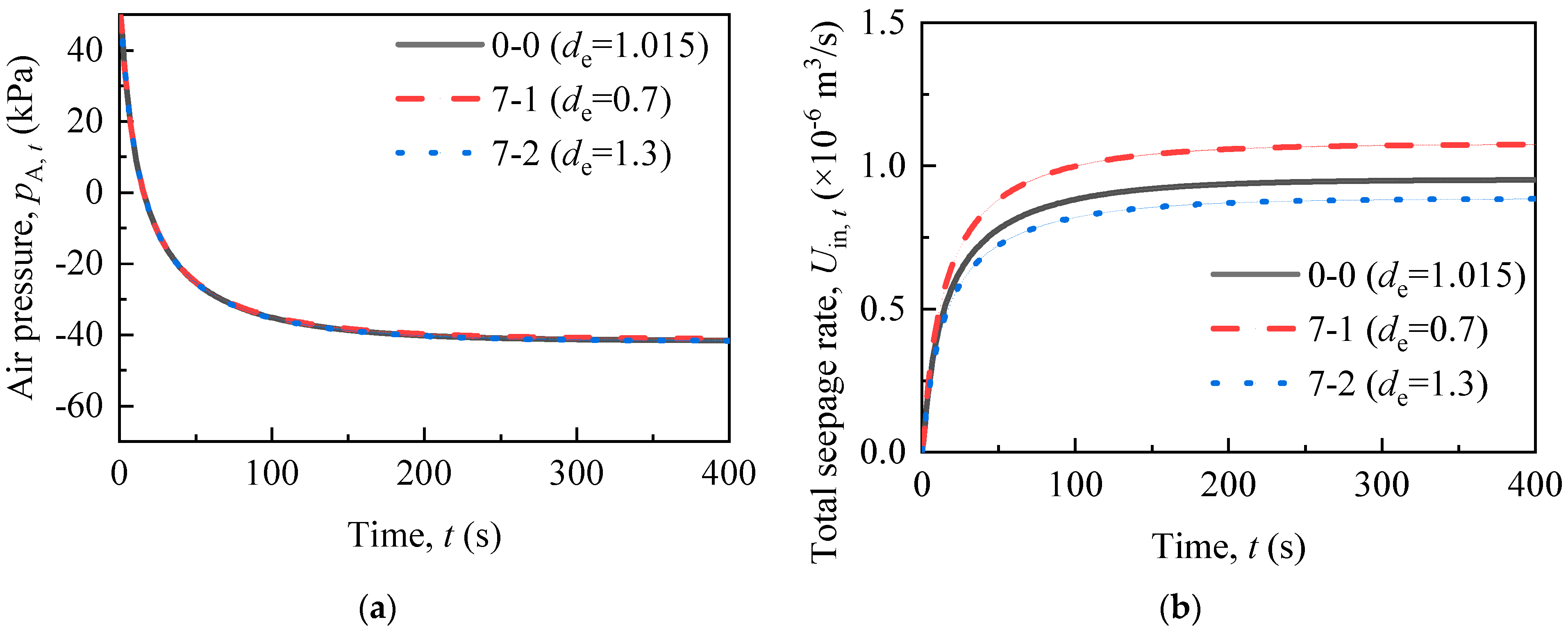
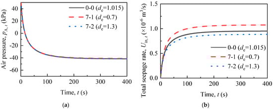
2.3.7. Cylinder Diameter
3. Global Sensitivity Analysis
3.1. Global Sensitivity Analysis Method
3.2. Results and Discussion
4. Calculation of Maximum Vacuum Degree
5. Conclusions
- After the SVD is started, a vacuum gradually forms inside the permeable chamber. The duration of the vacuum formation process is generally less than 400 s. During this process, the seepage drainage rate gradually increases. The siphon rate (Uout, t) initially rises rapidly and then decreases slowly, gradually approaching the seepage rate (Uin, t). The siphon drainage plays a dominant role in the water storage change within the permeable chamber during the early stages.
- The length (L), local resistance coefficient (ζ), and diameter of the siphon pipe (d) influence the early stages of vacuum formation and drainage by affecting the siphon. Increasing the siphon rate (Uout, t) can lead to a greater vacuum degree and drainage rate. Reducing the thickness of the sealing soil column (hs) can create a larger vacuum degree, resulting in a larger cross-sectional area and drainage rate. The diameter of the permeable chamber (dpc) primarily affects the drainage rate through the cross-sectional area.
- The first-order sensitivity indices are as follows: 0.7772 (the sealing soil column thickness, hs), 0.0731 (the siphon pipe diameter, d), 0.0618 (the siphon pipe length, L), 0.0419 (the horizontal hydraulic conductivity, Kh), 0.0196 (the permeable chamber diameter, dpc), 0.0024 (the cylinder diameter, de), and 0.0018 (the local resistance coefficient, ζ). The sealing soil column thickness (hs) has an extremely high impact on the vacuum degree, accounting for 79.48%. The combined impact of the cylinder diameter (de) and local resistance coefficient (ζ) on the vacuum degree accounts for only 0.43%.
- A fitting curve was obtained that describes the relationship between the maximum vacuum degree (Max|pA, t|) and different sealing soil column thicknesses (hs). Calculations indicate that the maximum vacuum degree (Max|pA, t|) can exceed 80 kPa. Reducing the sealing soil column thickness (hs) can also shorten the path for pore water in the upper soil to seep into the vertical drainage well. Therefore, using the smallest possible sealing soil column thickness (hs) while ensuring sealing can enhance the improvement effect.
Author Contributions
Funding
Institutional Review Board Statement
Informed Consent Statement
Data Availability Statement
Conflicts of Interest
References
- Liu, J.J.; Li, J.K.; Lei, H.Y.; Zheng, G.; Jin, Y.W. Ground Improvement of Dredged Fills with Two Improved Vacuum Preloading Methods: Case Study. J. Geotech. Geoenviron. Eng. 2022, 148, 05022008. [Google Scholar] [CrossRef]
- Malekzadeh, M.; Sivakugan, N. One-dimensional electrokinetic stabilization of dredged mud. Mar. Georesources Geotechnol. 2017, 35, 603–609. [Google Scholar] [CrossRef]
- Shinsha, H.; Kumagai, T. Material properties of solidified soil grains produced from dredged marine clay. Soils Found. 2018, 58, 678–688. [Google Scholar] [CrossRef]
- Dahal, B.K.; Zheng, J.J.; Zhang, R.J.; Song, D.B. Enhancing the mechanical properties of marine clay using cement solidification. Mar. Georesources Geotechnol. 2019, 37, 755–764. [Google Scholar] [CrossRef]
- Karunaratne, G.P. Prefabricated and electrical vertical drains for consolidation of soft clay. Geotext. Geomembr. 2011, 29, 391–401. [Google Scholar] [CrossRef]
- Mesri, G.; Khan, A.Q. Ground Improvement Using Vacuum Loading Together with Vertical Drains. J. Geotech. Geoenvironmental Eng. 2012, 138, 680–689. [Google Scholar] [CrossRef]
- Li, J.F.; Chen, H.E.; Yuan, X.Q.; Shan, W.C. Analysis of the Effectiveness of the Step Vacuum Preloading Method: A Case Study on High Clay Content Dredger Fill in Tianjin, China. J. Mar. Sci. Eng. 2020, 8, 38. [Google Scholar] [CrossRef]
- Xia, C.Q.; Deng, Y.B.; Zhu, M.; Niu, J.J.; Zheng, L.K.; Chen, X.S. One-Dimensional Solar Energy Thermal Consolidation Model Testing and Analytical Calculation for Marine Soft Clays. J. Mar. Sci. Eng. 2022, 10, 1634. [Google Scholar] [CrossRef]
- Spross, J.; Larsson, S. Probabilistic observational method for design of surcharges on vertical drains. Geotechnique 2021, 71, 226–238. [Google Scholar] [CrossRef]
- Ge, S.Q.; Jiang, W.H.; Zheng, L.W.; Xie, X.Y.; Xie, K.H.; Feng, G.H.; Zhang, X.L. Theoretical analysis and experimental verification of large deformation electro-osmosis consolidation treatment of dredged slurry. Eng. Geol. 2023, 312, 106924. [Google Scholar] [CrossRef]
- Ge, S.Q.; Ma, Y.; Wang, K.; Zheng, L.W.; Xie, X.Y.; Chen, X.H.; Yu, H.S. Unsaturated hydro-mechanical-electro-chemical coupling based on mixture-coupling theory: A unified model. Int. J. Eng. Sci. 2023, 191, 103914. [Google Scholar] [CrossRef]
- Lei, H.Y.; Feng, S.X.; Wang, L.; Jin, Y.W. Field instrumentation and settlement prediction of ground treated with straight-line vacuum preloading. Geomech. Eng. 2019, 19, 447–462. [Google Scholar] [CrossRef]
- Indraratna, B.; Rujikiatkamjorn, C.; Baral, P.; Ameratunga, J. Performance of marine clay stabilised with vacuum pressure: Based on Queensland experience. J. Rock Mech. Geotech. Eng. 2019, 11, 598–611. [Google Scholar] [CrossRef]
- Lam, K.P.; Wu, S.F.; Chu, J. Field trial of a membraneless vacuum preloading system for soft soil improvement. Proc. Inst. Civ. Eng. -Ground Improv. 2020, 173, 40–50. [Google Scholar] [CrossRef]
- Zheng, G.; Liu, J.J.; Lei, H.Y.; Rahman, M.S.; Tan, Z.K. Improvement of very soft ground by a high-efficiency vacuum preloading method: A case study. Mar. Georesources Geotechnol. 2017, 35, 631–642. [Google Scholar] [CrossRef]
- Lei, H.Y.; Lu, H.B.; Liu, J.J.; Zheng, G. Experimental Study of the Clogging of Dredger Fills under Vacuum Preloading. Int. J. Geomech. 2017, 17, 04017117. [Google Scholar] [CrossRef]
- Orlove, B.; Lazrus, H.; Hovelsrud, G.K.; Giannini, A. Recognitions and Responsibilities On the Origins and Consequences of the Uneven Attention to Climate Change around the World. Curr. Anthropol. 2014, 55, 249–275. [Google Scholar] [CrossRef]
- Khan, S.A.R.; Ponce, P.; Yu, Z. Technological innovation and environmental taxes toward a carbon-free economy: An empirical study in the context of COP-21. J. Environ. Manag. 2021, 298, 113418. [Google Scholar] [CrossRef]
- Garrett, R.E. Principles of Siphons. J. World Aquac. Soc. 1991, 22, 1–9. [Google Scholar] [CrossRef]
- Cai, Y.L.; Sun, H.Y.; Shang, Y.Q.; Xiong, X.L. An investigation of flow characteristics in slope siphon drains. J. Zhejiang Univ. Sci. A 2014, 15, 22–30. [Google Scholar] [CrossRef]
- Sun, H.Y.; Wu, G.; Liang, X.; Yan, X.; Wang, D.F.; Wei, Z.L. Laboratory modeling of siphon drainage combined with surcharge loading consolidation for soft ground treatment. Mar. Georesources Geotechnol. 2018, 36, 940–949. [Google Scholar] [CrossRef]
- Shen, Q.S.; Wang, J.; Sun, H.Y.; Shu, J.W.; Shang, Y.Q. Analysis of the influence of siphon hole spacing on soft-soil drainage effect. Proc. Inst. Civ. Eng. -Geotech. Eng. 2023. ahead of print. [Google Scholar] [CrossRef]
- Qian, J.H.; Zhao, W.B.; Cheung, Y.K.; Lee, P.K.K. The theory and practice of vacuum preloading. Comput. Geotech. 1992, 13, 103–118. [Google Scholar] [CrossRef]
- Shu, J.W.; Sun, H.Y.; An, N. Theoretical and field investigation into the vacuum formation in the siphon-vacuum drainage system for soft ground improvement. Can. Geotech. J. 2024. [Google Scholar] [CrossRef]
- Zhang, C.; Chu, J.G.; Fu, G.T. Sobol’s sensitivity analysis for a distributed hydrological model of Yichun River Basin, China. J. Hydrol. 2013, 480, 58–68. [Google Scholar] [CrossRef]
- Rohmer, J.; Loschetter, A.; Raucoules, D.; de Michele, M.; Raffard, D.; Le Gallo, Y. Revealing the surface deformation induced by deep CO<sub>2</sub> injection in vegetated/agricultural areas: The combination of corner-reflectors, reservoir simulations and spatio-temporal statistics. Eng. Geol. 2015, 197, 188–197. [Google Scholar] [CrossRef]
- Ghasemizade, M.; Baroni, G.; Abbaspour, K.; Schirmer, M. Combined analysis of time-varying sensitivity and identifiability indices to diagnose the response of a complex environmental model. Environ. Model. Softw. 2017, 88, 22–34. [Google Scholar] [CrossRef]
- Hamdia, K.M.; Silani, M.; Zhuang, X.Y.; He, P.F.; Rabczuk, T. Stochastic analysis of the fracture toughness of polymeric nanoparticle composites using polynomial chaos expansions. Int. J. Fract. 2017, 206, 215–227. [Google Scholar] [CrossRef]
- Ke, H.; Hu, J.; Xu, X.B.; Wu, X.W.; Li, Y.C.; Lan, J.W. Analytical solution of leachate flow to vertical wells in municipal solid waste landfills using a dual-porosity model. Eng. Geol. 2018, 239, 27–40. [Google Scholar] [CrossRef]
- Sobol, I. On sensitivity Estimation for Nonlinear Mathematical Models; Keldysh Applied Mathematics Institute: Moscow, Russia, 1990; pp. 112–118. [Google Scholar]















| Parameters | Values |
|---|---|
| Thickness of sealing soil column, hs (m) | 5.3 |
| Length of siphon pipe, L (m) | 50 |
| Distance between the inlet of the siphon pipe and the bottom of the permeable chamber, hc (m) | 1 |
| Depth of the permeable chamber, H0 (m) | 18 |
| Horizontal hydraulic conductivity, Kh (m/s) | 3.75 × 10−9 |
| Cylinder diameter, de (m) | 1.015 |
| Diameter of permeable chamber, dpc (m) | 5 × 10−2 |
| Diameter of siphon pipe, d (m) | 5 × 10−3 |
| Time interval, Δt (s) | 0.01 |
| Local resistance coefficient of siphon pipe, ζi | 0.131 |
| Number | Factor | Diameter of Siphon Pipe, d (mm) | Length of Siphon Pipe, L (m) | Local Resistance Coefficient of Siphon Pipe, ζ | Thickness of Sealing Soil Column, hs (m) | Diameter of Permeable Chamber, dpc (cm) | Horizontal Hydraulic Conductivity, Kh (×10−9 m/s) | Cylinder Diameter, de (m) |
|---|---|---|---|---|---|---|---|---|
| 0-0 | / | 5 | 50 | 0.131 | 5.3 | 5 | 3.75 | 1.015 |
| 1-1 | d | 4 | 50 | 0.131 | 5.3 | 5 | 3.75 | 1.015 |
| 1-2 | 6 | 50 | 0.131 | 5.3 | 5 | 3.75 | 1.015 | |
| 2-1 | L | 5 | 20 | 0.131 | 5.3 | 5 | 3.75 | 1.015 |
| 2-2 | 5 | 80 | 0.131 | 5.3 | 5 | 3.75 | 1.015 | |
| 3-1 | ζ | 5 | 50 | 0 | 5.3 | 5 | 3.75 | 1.015 |
| 3-2 | 5 | 50 | 700 | 5.3 | 5 | 3.75 | 1.015 | |
| 4-1 | hs | 5 | 50 | 0.131 | 2 | 5 | 3.75 | 1.015 |
| 4-2 | 5 | 50 | 0.131 | 8 | 5 | 3.75 | 1.015 | |
| 5-1 | dpc | 5 | 50 | 0.131 | 5.3 | 3 | 3.75 | 1.015 |
| 5-2 | 5 | 50 | 0.131 | 5.3 | 7 | 3.75 | 1.015 | |
| 6-1 | Kh | 5 | 50 | 0.131 | 5.3 | 5 | 1 | 1.015 |
| 6-2 | 5 | 50 | 0.131 | 5.3 | 5 | 7 | 1.015 | |
| 7-1 | de | 5 | 50 | 0.131 | 5.3 | 5 | 3.75 | 0.7 |
| 7-2 | 5 | 50 | 0.131 | 5.3 | 5 | 3.75 | 1.3 |
| Factor | Diameter of Siphon Pipe, d (mm) | Length of Siphon Pipe, L (m) | Local Resistance Coefficient of Siphon Pipe, ζ | Thickness of Sealing Soil Column, hs (m) | Diameter of Permeable Chamber, dpc (cm) | Horizontal Hydraulic Conductivity, Kh (×10−9 m/s) | Cylinder Diameter, de (m) |
|---|---|---|---|---|---|---|---|
| Maximum value | 6 | 200 | 700 | 9 | 8 | 10 | 1.5 |
| Minimum value | 4 | 20 | 0 | 1 | 3 | 1 | 0.5 |
| Factor | Diameter of Siphon Pipe, d (mm) | Length of Siphon Pipe, L (m) | Local Resistance Coefficient of Siphon Pipe, ζ | Thickness of Sealing Soil Column, hs (m) | Diameter of Permeable Chamber, dpc (cm) | Horizontal Hydraulic Conductivity, Kh (×10−9 m/s) | Cylinder Diameter, de (m) |
|---|---|---|---|---|---|---|---|
| Si | 0.0731 | 0.0618 | 0.0018 | 0.7772 | 0.0196 | 0.0419 | 0.0024 |
| ΣSi | 0.9779 | ||||||
| Si/ΣSi | 7.48% | 6.32% | 0.18% | 79.48% | 2.00% | 4.28% | 0.25% |
| SiT | 0.0861 | 0.0749 | 0.0024 | 0.7825 | 0.0273 | 0.0483 | 0.0027 |
| ΣSiT | 1.0242 | ||||||
| SiT/ΣSiT | 8.41% | 7.31% | 0.23% | 76.40% | 2.67% | 4.72% | 0.26% |
Disclaimer/Publisher’s Note: The statements, opinions and data contained in all publications are solely those of the individual author(s) and contributor(s) and not of MDPI and/or the editor(s). MDPI and/or the editor(s) disclaim responsibility for any injury to people or property resulting from any ideas, methods, instructions or products referred to in the content. |
© 2024 by the authors. Licensee MDPI, Basel, Switzerland. This article is an open access article distributed under the terms and conditions of the Creative Commons Attribution (CC BY) license (https://creativecommons.org/licenses/by/4.0/).
Share and Cite
Shu, J.; Wang, J.; Chen, K.; Shen, Q.; Sun, H. Analysis of Factors Affecting Vacuum Formation and Drainage in the Siphon-Vacuum Drainage Method for Marine Reclamation. J. Mar. Sci. Eng. 2024, 12, 430. https://doi.org/10.3390/jmse12030430
Shu J, Wang J, Chen K, Shen Q, Sun H. Analysis of Factors Affecting Vacuum Formation and Drainage in the Siphon-Vacuum Drainage Method for Marine Reclamation. Journal of Marine Science and Engineering. 2024; 12(3):430. https://doi.org/10.3390/jmse12030430
Chicago/Turabian StyleShu, Junwei, Jun Wang, Kexing Chen, Qingsong Shen, and Hongyue Sun. 2024. "Analysis of Factors Affecting Vacuum Formation and Drainage in the Siphon-Vacuum Drainage Method for Marine Reclamation" Journal of Marine Science and Engineering 12, no. 3: 430. https://doi.org/10.3390/jmse12030430
APA StyleShu, J., Wang, J., Chen, K., Shen, Q., & Sun, H. (2024). Analysis of Factors Affecting Vacuum Formation and Drainage in the Siphon-Vacuum Drainage Method for Marine Reclamation. Journal of Marine Science and Engineering, 12(3), 430. https://doi.org/10.3390/jmse12030430

