The Photoperiod Significantly Influences the Growth Rate, Digestive Efficiency, Immune Response, and Antioxidant Activities in the Juvenile Scalloped Spiny Lobster (Panulirus homarus)
Abstract
1. Introduction
2. Materials and Methods
2.1. Experimental Materials
2.2. Experimental Design
2.3. Calculation of Growth Performance
SGR = (lnWt − lnW0)/t × 100%
SR = Nf/Ni × 100%
MF = (Nm/Ns) × 100%
HSI = (Wg/W0) × 100%
MYP = (WS/Wt) × 100%
2.4. Sample Collection and Processing
2.5. Determination of Indicators of Enzyme Activity
2.6. Data Analysis
3. Results
3.1. Growth Performance
3.2. Digestive Properties
3.3. Immune Function
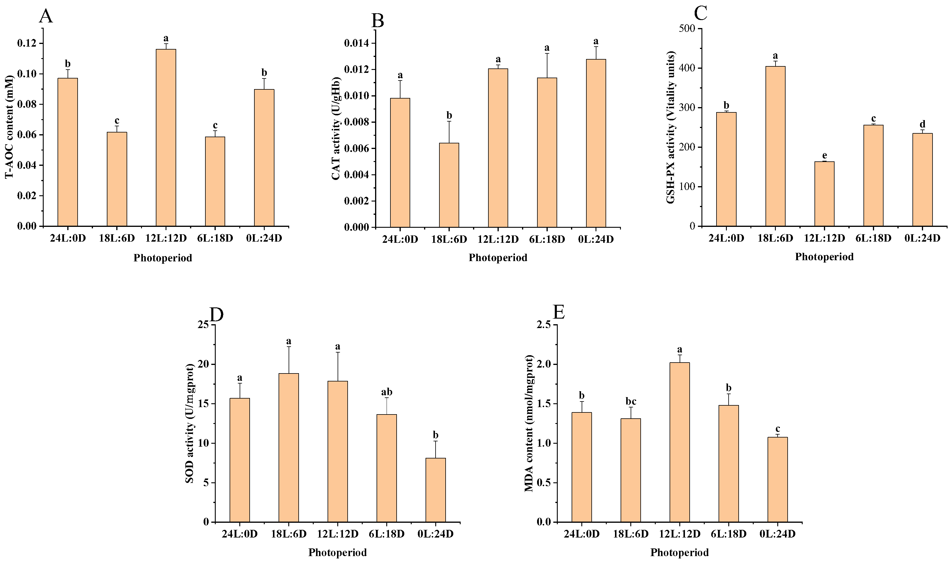
3.4. Antioxidant Capacity
4. Discussion
4.1. Effects of the Photoperiod on the Growth Performance of the Animals
4.2. Effects on the Digestive Performance of Animals Due to the Photoperiod
4.3. Effects of Photoperiod on Animals’ Immune Function
4.4. Effect of Photoperiod on Animals’ Antioxidant Capacity
5. Conclusions
Author Contributions
Funding
Institutional Review Board Statement
Informed Consent Statement
Data Availability Statement
Conflicts of Interest
References
- Macdonald, A.H.H.; Reddy, M.M.; Groeneveld, J.C.; Schleyer, M.H. Phylogeography of the scalloped spiny-lobster Panulirus homarus rubellus in the southwest Indian Ocean. J. Crustac. Biol. 2014, 34, 773–781. [Google Scholar] [CrossRef]
- Singh, S.P.; Groeneveld, J.C.; Willows-Munro, S. Between the current and the coast: Genetic connectivity in the spiny lobster Panulirus homarus rubellus, despite potential barriers to gene flow. Mar. Biol. 2019, 166, 36. [Google Scholar] [CrossRef]
- Marzouqi, A.; Al-Nahdi, A.; Jayabalan, N.; Groeneveld, J.C. An Assessment of the Spiny Lobster Panulirus homarus Fishery in Oman—Another Decline in the Western Indian Ocean? West. Indian Ocean J. Mar. Sci. 2009, 6, 1183. [Google Scholar] [CrossRef]
- Tirtadanu; Suman, A.; Chodrijah, U.; Kang, B.; Zhang, C. Stock assessment and management implications of three lobster species in Gunungkidul waters, Indonesia. Ocean. Coast. Manag. 2021, 211, 105780. [Google Scholar] [CrossRef]
- Devi, N.R.; Rasheeq, A.A.; Preethi, B.A.; Anand, M.; Titus, C.; Subbiah, S.; Rangesh, K.; Dineshkumar, R.; Arumugam, A. Assessment of Lobster Resources in Coastal Region of Gulf of Mannar, Southeast Coast of India. Thalass. Int. J. Mar. Sci. 2023, 39, 1169–1186. [Google Scholar] [CrossRef]
- Duy Mai, M.; Thi Tran, L. Growth Performance of Scalloped Spiny Lobster Panulirus homarus (Linaeus) Fed Formulated Diet in Recirculating System. Agric. For. Fish. 2022, 11, 1. [Google Scholar] [CrossRef]
- Ihsan, M.; Suhirman, S.; Jayadi, E.M.; Sagista, R.; Hardianti, Y.E.; Ilahi, W.B.; Muliasari, H.; Tantilar Wangsajati Sukmaring Kalih, L.A. Analisis makanan alami dalam lambung dan mikrohabitat lobster pasir (Panulirus homarus) fase puerulus di teluk awang. J. Ris. Akuakultur 2019, 14, 183–191. [Google Scholar] [CrossRef]
- Suman, A.; Hasanah, A.; Pane, A.R.P.; Panggabean, A.S. Penangkapan, parameter populasi serta tingkat pemanfaatan lobster pasir (Panulirus homarus) dan lobster batu (Panulirus penicillatus) di perairan gunung kidul, dan sekitarnya. J. Penelit. Perikan. Indones. 2020, 25, 147–160. [Google Scholar] [CrossRef]
- Priyambodo, B.; Jones, C.M.; Sammut, J. Improved collector design for the capture of tropical spiny lobster, Panulirus homarus and P. ornatus (Decapoda: Palinuridae), pueruli in Lombok, Indonesia. Aquaculture 2017, 479, 321–332. [Google Scholar] [CrossRef]
- Nurfiarini, A.; Wijaya, D. Estimasi potensi DAN tingkat pemanfaatan sumberdaya lobster pasir (Panulirus homarus) di perairan prigi kabupanen trenggalek. J. Penelit. Perikan. Indones. 2020, 25, 169–178. [Google Scholar] [CrossRef]
- Priyambodo, B.; Jones, C.M.; Sammut, J. Assessment of the lobster puerulus (Panulirus homarus and Panulirus ornatus, Decapoda: Palinuridae) resource of Indonesia and its potential for sustainable harvest for aquaculture. Aquaculture 2020, 528, 735563. [Google Scholar] [CrossRef]
- Junaidi, M.; Cokrowati, N.; Diniarti, N.; Setyono, B.D.H.; Mulyani, L.F. Identifying the Environmental Factors Affecting Puerulus Settlement of the Spiny Lobster, Panulirus homarus in Awang Bay, Lombok Island. Asian J. Fish. Aquat. Res. 2022, 18, 1–14. [Google Scholar] [CrossRef]
- Chen, H.; Pan, J.; Wang, Y.; Qiao, Y.; Han, F.; Xu, C.; Farhadi, A.; Li, E. Growth, health status and gut microbiota of the scalloped spiny lobster (Panulirus homarus) at different salinities. Aquaculture 2023, 562, 738779. [Google Scholar] [CrossRef]
- Adiputra, Y.T.; Zairin Jr, M.; Suprayudi, M.A.; Manalu, W.; Widanarni; Brite, M. The effects of thyroxine hormone on gonadal maturation and growth of male spiny lobster (Panulirus homarus). Malays. J. Sci. 2020, 39, 30–40. [Google Scholar] [CrossRef][Green Version]
- Adiputra, Y.T.; Zairin, M., Jr.; Suprayudi, M.A.; Manalu, W.; Widanarni. Identification of steroid hormones and fatty acids during gonadal maturation of spiny lobster Panulirus homarus. Invertebr. Reprod. Dev. 2019, 63, 77–87. [Google Scholar] [CrossRef]
- Sudewi, S.; Widiastuti, Z.; Slamet, B.; Mahardika, K. Experimental inffctions of milky hemolymph disease in spiny lobster Panulirus homarus. Indones. Aquac. J. 2018, 13, 31–40. [Google Scholar] [CrossRef]
- Syed Musthaq, S.; Sudhakaran, R.; Balasubramanian, G.; Sahul Hameed, A.S. Experimental transmission and tissue tropism of white spot syndrome virus (WSSV) in two species of lobsters, Panulirus homarus and Panulirus ornatus. J. Invertebr. Pathol. 2006, 93, 75–80. [Google Scholar] [CrossRef]
- Farhadi, A.; Jeffs, A.G.; Lavery, S.D. Genome-wide SNPs in the spiny lobster Panulirus homarus reveal a hybrid origin for its subspecies. BMC Genom. 2022, 23, 750. [Google Scholar] [CrossRef]
- Zhuo, H.B.; Liang, H.F.; Cai, C.X.; Luo, J.J.; Liang, F.S.; Wen, C.Q. Molecular cloning, characterization and expression analysis of the ecdysone receptor from the spiny lobster Panulirus homarus (Linnaeus, 1758) (Decapoda, Palinuridae). Crustaceana 2020, 93, 769–783. [Google Scholar] [CrossRef]
- Delghandi, M.; Saif Nasser Al Hinai, M.; Afzal, H.; Khalfan Al-Wahaibi, M. Parentage analysis of tropical spiny lobster (Panulirus homarus) by microsatellite markers. Aquac. Res. 2017, 48, 4718–4724. [Google Scholar] [CrossRef]
- Chen, S.; Liu, J.; Shi, C.; Migaud, H.; Ye, Y.; Song, C.; Mu, C.; Ren, Z.; Wang, C. Effect of photoperiod on growth, survival, and lipid metabolism of mud crab Scylla paramamosain juveniles. Aquaculture 2023, 567, 739279. [Google Scholar] [CrossRef]
- Gao, X.L.; Pang, G.W.; Luo, X.; You, W.W.; Ke, C.H. Effects of light cycle on circadian feeding activity and digestive physiology in Haliotis discus hannai. Aquaculture 2021, 539, 736642. [Google Scholar] [CrossRef]
- Mirko Bögner, C.S.T.G. Effect of ambient light intensity on growth performance and diurnal stress response of juvenile starry flounder (Platichthys stellatus) in recirculating aquaculture systems (RAS). Aquacult Eng. 2018, 83, 20–26. [Google Scholar] [CrossRef]
- Hou, Z.; Wen, H.; Li, J.; He, F.; Li, Y.; Qi, X.; Zhao, J.; Zhang, K.; Tao, Y. Effects of photoperiod and light Spectrum on growth performance, digestive enzymes, hepatic biochemistry and peripheral hormones in spotted sea bass (Lateolabrax maculatus). Aquaculture 2019, 507, 419–427. [Google Scholar] [CrossRef]
- Wang, K.; Li, K.; Liu, L.; Tanase, C.; Mols, R.; van der Meer, M. Effects of light intensity and photoperiod on the growth and stress response of juvenile Nile tilapia (Oreochromis niloticus) in a recirculating aquaculture system. Aquac. Fish. 2023, 8, 85–90. [Google Scholar] [CrossRef]
- Bapary, M.A.J.; Amin, M.N.; Takeuchi, Y.; Takemura, A. The stimulatory effects of long wavelengths of light on the ovarian development in the tropical damselfish, Chrysiptera cyanea. Aquaculture 2011, 314, 188–192. [Google Scholar] [CrossRef]
- Kim, B.; Jung, S.J.; Choi, Y.J.; Kim, N.N.; Choi, C.Y.; Kim, J. Effects of different light wavelengths from LEDs on oxidative stress and apoptosis in olive flounder (Paralichthys olivaceus) at high water temperatures. Fish Shellfish. Immun. 2016, 55, 460–468. [Google Scholar] [CrossRef] [PubMed]
- Reis, W.G.; Wasielesky, W., Jr.; Abreu, P.C.; Brandão, H.; Krummenauer, D. The influence of different light wavelengths in the culture of the Pacific white shrimp Litopenaeus vannamei reared in BFT using LED lights. Aquaculture 2023, 563, 738924. [Google Scholar] [CrossRef]
- Zhang, Y.; Huang, Z.; Zhou, Y.; Ma, H.; Saqib, H.S.A.; Su, Q.; Cui, W.; Ma, H. The effects of different diet, salinity and light condition on growth performance and moulting cycle of juvenile mud crab, Scylla paramamosain. Aquac. Res. 2022, 53, 6333–6342. [Google Scholar] [CrossRef]
- Li, H.; Zhao, J.; Ji, B.; Zhang, Y.; Ye, Z.; Zhu, S. Effects of Photoperiod on Growth, Digestive Enzyme Activity, Stress, and Oxidative Status of Juvenile Chinese Soft-Shelled Turtles (Pelodiscus sinensis) in a Greenhouse. Trans. ASABE 2020, 63, 1787–1793. [Google Scholar] [CrossRef]
- Boeuf, G.; Le Bail, P. Does light have an influence on fish growth? Aquaculture 1999, 177, 129–152. [Google Scholar] [CrossRef]
- Mel Nikova, Y.B.; Melnikov, A.V. Solar radiation as a synchronizing factor of circadian and ultradian biological rhythms of planktonic communities. IOP Conf. Ser. Earth Environ. Sci. 2021, 853, 12001. [Google Scholar] [CrossRef]
- Wei, H.; Cai, W.; Liu, H.; Han, D.; Zhu, X.; Yang, Y.; Jin, J.; Xie, S. Effects of photoperiod on growth, lipid metabolism and oxidative stress of juvenile gibel carp (Carassius auratus). J. Photochem. Photobiol. B Biol. 2019, 198, 111552. [Google Scholar] [CrossRef] [PubMed]
- Wang, X.; Liu, B.; Gao, X.; Wang, X.; Li, H.; Xu, L.; Wang, G.; Zhao, K.; Huang, B. The Effects of Different UVA Photoperiods on the Growth Performance, Immune Responses, Antioxidant Status and Apoptosis-Related Gene Expression of the Pacific White Shrimp (Penaeus vannamei). Antibiotics 2022, 11, 37. [Google Scholar] [CrossRef]
- Bembe, S.; Zmora, N.; Williams, E.; Place, A.R.; Liang, D.; Chung, J.S. Effects of temperature and photoperiod on hemolymph vitellogenin levels during spawning events of the blue crab, Callinectes sapidus, in captivity. Aquac. Res. 2018, 49, 2201–2209. [Google Scholar] [CrossRef]
- Malinovskyi, O.; Rahimnejad, S.; Stejskal, V.; Boňko, D.; Stará, A.; Velíšek, J.; Policar, T. Effects of different photoperiods on growth performance and health status of largemouth bass (Micropterus salmoides) juveniles. Aquaculture 2022, 548, 737631. [Google Scholar] [CrossRef]
- Fitzgibbon, Q.P.; Battaglene, S.C. Effect of photoperiod on the culture of early-stage phyllosoma and metamorphosis of spiny lobster (Sagmariasus verreauxi). Aquaculture 2012, 368–369, 48–54. [Google Scholar] [CrossRef]
- Bermudes, M.; Ritar, A.J. Response of early stage spiny lobster Jasus edwardsii phyllosoma larvae to changes in temperature and photoperiod. Aquaculture 2008, 281, 63–69. [Google Scholar] [CrossRef]
- Tian, H.; Zhang, D.; Li, X.; Jiang, G.; Liu, W. Photoperiod affects blunt snout bream (Megalobrama amblycephala) growth, diel rhythm of cortisol, activities of antioxidant enzymes and mRNA expression of GH/IGF-I. Comp. Biochem. Physiol. Part B Biochem. Mol. Biol. 2019, 233, 4–10. [Google Scholar] [CrossRef]
- Nyuji, M.; Hamada, K.; Kazeto, Y.; Mekuchi, M.; Gen, K.; Soyano, K.; Okuzawa, K. Photoperiodic regulation of plasma gonadotropin levels in previtellogenic greater amberjack (Seriola dumerili). Gen. Comp. Endocr. 2018, 269, 149–155. [Google Scholar] [CrossRef]
- Zou, H.; Bai, X.; Feng, Y.; Zhang, Y.; Wang, Y.; Lu, W. Influence of long (16L:8D) and short (8L:16D) photoperiods on blood metabolites and hepatic metabolism in Olive flounder, Paralichthys olivaceus. SpringerPlus 2016, 5, 924. [Google Scholar] [CrossRef]
- Farhadi, A.; Harlıoğlu, M.M. Photoperiod affects gamete production, and protein and lipid metabolism in male narrow-clawed Crayfish Pontastacus leptodactylus (Eschscholtz, 1823). Anim. Reprod. Sci. 2019, 211, 106204. [Google Scholar] [CrossRef] [PubMed]
- Falahatkar, B.; Poursaeid, S.; Efatpanah, I.; Meknatkhah, B.; Biswas, A. Effect of Photoperiod Manipulation on Growth Performance, Physiological and Hematological Indices in Juvenile Persian Sturgeon, Acipenser persicus. J. World Aquacult. Soc. 2012, 43, 679–687. [Google Scholar] [CrossRef]
- Espinosa-Chaurand, D.; Vega-Villasante, F.; Carrillo-Farnés, O.; Nolasco-Soria, H. Effect of circadian rhythm, photoperiod, and molt cycle on digestive enzymatic activity of Macrobrachium tenellum juveniles. Aquaculture 2017, 479, 225–232. [Google Scholar] [CrossRef]
- Farhadi, S.; Atashbar Kangarloei, B.; Imani, A.; Sarvi Moghanlou, K. Biological Impact of Photoperiod on Fairy Shrimp (Branchinecta orientalis): Life History and Biochemical Composition. Biology 2021, 10, 695. [Google Scholar] [CrossRef]
- Farhadi, A.; Jensen, M.A. Effects of photoperiod and stocking density on survival, growth and physiological responses of narrow clawed crayfish (Astacus leptodactylus). Aquac. Res. 2016, 47, 2518–2527. [Google Scholar] [CrossRef]
- Ray, G.W.; Liang, D.; Yang, Q.; Tan, B.; Dong, X.; Chi, S.; Liu, H.; Zhang, S.; Rimei, L. Effects of replacing fishmeal with dietary soybean protein concentrate (SPC) on growth, serum biochemical indices, and antioxidative functions for juvenile shrimp Litopenaeus vannamei. Aquaculture 2020, 516, 734630. [Google Scholar] [CrossRef]
- Xu, Y.; Yin, Y.; Li, T.; Zhao, H.; Li, X.; Li, J.; Sun, T. Effects of lysozyme combined with cinnamaldehyde on storage quality of olive flounder (Paralichthys olivaceus) fillets. J. Food Sci. 2020, 85, 1037–1044. [Google Scholar] [CrossRef] [PubMed]
- Wu, J.; Tian, S.; Luo, K.; Zhang, Y.; Pan, H.; Zhang, W.; Mai, K. Dietary recombinant human lysozyme improves the growth, intestinal health, immunity and disease resistance of Pacific white shrimp Litopenaeus vannamei. Fish Shellfish. Immun. 2022, 121, 39–52. [Google Scholar] [CrossRef]
- Wei, J.; Tian, L.; Wang, Y.; Yu, L.; Zhu, X. Effects of salinity, photoperiod, and light spectrum on larval survival, growth, and related enzyme activities in the giant freshwater prawn, Macrobrachium rosenbergii. Aquaculture 2021, 530, 735794. [Google Scholar] [CrossRef]
- Ma, H.; Wei, P.; Li, X.; Liu, S.; Tian, Y.; Zhang, Q.; Liu, Y. Effects of photoperiod on growth, digestive, metabolic and non-special immunity enzymes of Takifugu rubripes larvae. Aquaculture 2021, 542, 736840. [Google Scholar] [CrossRef]
- Hu, N.; Yu, C.; Jin, J.; Zhao, X.; Zhao, Y.; Wei, H.; Li, Y. Impact of photoperiods on the specific activities of immune and antioxidant enzymes in different tissues of Dybowski’s frog (Rana dybowskii). Biol. Rhythm. Res. 2022, 53, 1790–1799. [Google Scholar] [CrossRef]
- Hao, Z.L.; Tang, X.J.; Ding, J.; Ben, Y.; Chang, Y.Q. Effect of high temperature on survival, oxygen consumption, behavior, ammonia-N excretion, and related immune indicators of the Japanese scallop Mizuhopecten yessoensis. Aquacult. Int. 2014, 22, 1863–1876. [Google Scholar] [CrossRef]
- Xu, H.; Shi, C.; Ye, Y.; Mu, C.; Wang, C. Effects of different photoperiods and feeding regimes on immune response, oxidative status, and tissue damage in juvenile rainbow trout (Oncorhynchus mykiss). Front. Mar. Sci. 2022, 9, 1036289. [Google Scholar] [CrossRef]
- Gao, X.; Zhang, M.; Li, X.; Song, C.; Liu, Y. Physiological metabolism of Haliotis discus hannai Ino under different light qualities and cycles. Aquac. Res. 2017, 48, 3340–3355. [Google Scholar] [CrossRef]
- Cheng, S.; Zheng, J.; Jia, Y.; Chi, M.; Jiang, W.; Liu, S.; Li, F.; Liu, Y.; Gu, Z.; Wang, D. Effects of light color, photoperiod, and growth-related gene interference or overexpression on the survival, growth, or physiological and biochemical indices of red claw crayfish juveniles. Aquaculture 2023, 562, 738740. [Google Scholar] [CrossRef]
- Hamasaki, K.; Ogiso, Y.; Dan, S.; Kitada, S. Survival, development and growth of larvae of the coconut crab, Birgus latro, cultured under different photoperiod conditions. Aquac. Res. 2016, 47, 2506–2517. [Google Scholar] [CrossRef]
- Andrés, M.; Rotllant, G.; Zeng, C. Survival, development and growth of larvae of the blue swimmer crab, Portunus pelagicus, cultured under different photoperiod conditions. Aquaculture 2010, 300, 218–222. [Google Scholar] [CrossRef]
- Litvak, M.K.; Zadmajid, V.; Butts, I.A.E. Growth and survival of winter flounder (Pseudopleuronectes americanus) larvae reared on different photoperiod regimes from hatch to metamorphosis. Aquac. Res. 2020, 51, 2314–2321. [Google Scholar] [CrossRef]
- Ichikawa, T.; Hamasaki, K.; Murakami, K. Larval survival, development and growth in the horsehair crab, Erimacrus isenbeckii, cultured under different photoperiod conditions. Aquac. Res. 2018, 49, 2511–2517. [Google Scholar] [CrossRef]
- Indriastuti, C.E.; Junior, M.Z.; Suprayudi, M.A.; Supriyono, E.; Alimuddin, A. Cannibalism, survival and growth performance of juvenile African catfish Clarias gariepinus in relation to photoperiod and 17β-Oestradiol treatment. Aquac. Res. 2022, 53, 4437–4448. [Google Scholar] [CrossRef]
- Gao, X.L.; Mo, Z.; Li, X.; Wu, F.C.; Song, C.B.; Liu, Y. Light cycle effects on Haliotis discus hannai Ino growth, energy budget, and related gene expression. Aquaculture 2018, 483, 213–222. [Google Scholar] [CrossRef]
- Crear, B.J.; Hart, P.R.; Thomas, C.W. The effect of photoperiod on growth, survival, colour and activity of juvenile southern rock lobster, Jasus edwardsii. Aquac. Res. 2003, 34, 439–444. [Google Scholar] [CrossRef]
- Xu, H.; Dou, J.; Wu, Q.; Ye, Y.; Wang, C.; Song, C.; Mu, C.; Ren, Z.; Shi, C. Photoperiod affects the survival rate but not the development of larval swimming crab Portunus trituberculatus. Aquacult. Int. 2022, 30, 1769–1778. [Google Scholar] [CrossRef]
- Minagawa, M. Effects of photoperiod on survival, feeding and development of larvae of the red frog crab, Ranina ranina. Aquaculture 1994, 120, 105–114. [Google Scholar] [CrossRef]
- Ramos, S.E.; Carvalho, A.F.S.D.; Castro, T.F.D.; Vasconcelos, A.C.N.; Veras, G.C.; Mourão Júnior, C.A.; Murgas, L.D.S. Cannibalism, growth performance, and body composition of giant trahira juveniles under different photoperiods. Pesqui. Agropecuária Bras. 2018, 53, 664–672. [Google Scholar] [CrossRef]
- Veras, G.C.; Paixão, D.J.D.M.; Brabo, M.F.; Soares, L.M.O.; Sales, A.D. Influence of photoperiod on growth, uniformity, and survival of larvae of the Amazonian ornamental Heros severus (Heckel, 1840). Rev. Bras. Zootec. 2016, 45, 422–426. [Google Scholar] [CrossRef]
- Lesmana, D.; Supriyono, E.; Junior, M.Z.; Nirmala, K.; Jusadi, D. The colour preference of scalloped spiny lobster, Panulirus homarus. IOP Conf. Ser. Earth Environ. Sci. 2021, 744, 12039. [Google Scholar] [CrossRef]
- Lavery, S.D.; Farhadi, A.; Farahmand, H.; Chan, T.; Azhdehakoshpour, A.; Thakur, V.; Jeffs, A.G. Evolutionary Divergence of Geographic Subspecies within the Scalloped Spiny Lobster Panulirus homarus (Linnaeus 1758). PLoS ONE 2014, 9, e97247. [Google Scholar] [CrossRef] [PubMed][Green Version]
- Zhang, B.; Yu, C.; Xu, Y.; Huang, Z.; Cai, Y.; Li, Y. Hepatopancreas immune response during different photoperiods in the Chinese mitten crab, Eriocheir sinensis. Fish Shellfish. Immun. 2023, 132, 108482. [Google Scholar] [CrossRef]
- Zhou, S.J.; Hu, J.; Yu, G.; Yang, Q.B.; Yang, R.; Liu, Y.J.; Ma, Z.H. Effects of photoperiod on digestive enzyme activity in larval and juvenile barramundi Lates calcarifer (Bloch). Mar. Sci. 2018, 42, 63–69. [Google Scholar] [CrossRef]
- Lee, M.; Kovacs-Nolan, J.; Yang, C.; Archbold, T.; Fan, M.Z.; Mine, Y. Hen Egg Lysozyme Attenuates Inflammation and Modulates Local Gene Expression in a Porcine Model of Dextran Sodium Sulfate (DSS)-Induced Colitis. J. Agr. Food Chem. 2009, 57, 2233–2240. [Google Scholar] [CrossRef] [PubMed]



| Group | WGR (%) | SGR (%/d) | SR (%) | MF (%) | HSI (%) | MYP (%) | 
|---|---|---|---|---|---|---|
| 24 L:0 D | 25.09 ± 4.80 ab | 0.40 ± 0.07 ab | 100.00 ± 0.00 | 88.89 ± 31.43 | 3.49 ± 0.19 b | 23.14 ± 1.17 | 
| 18 L:6 D | 23.21 ± 5.36 ab | 0.37 ± 0.08 ab | 100.00 ± 0.00 | 88.89 ± 15.71 | 3.41 ± 0.22 b | 23.32 ± 1.63 | 
| 12 L:12 D | 32.24 ± 4.35 a | 0.50 ± 0.06 a | 100.00 ± 0.00 | 88.89 ± 31.43 | 3.48 ± 0.19 b | 24.16 ± 0.80 | 
| 6 L:18 D | 19.79 ± 2.24 b | 0.32 ± 0.03 b | 100.00 ± 0.00 | 100.00 ± 0.00 | 4.09 ± 0.23 a | 23.76 ± 0.52 | 
| 0 L:24 D | 21.51 ± 2.96 b | 0.35 ± 0.04 b | 100.00 ± 0.00 | 111.11 ± 15.71 | 3.48 ± 0.26 b | 24.60 ± 1.71 | 
| Item | df | MS | F | p | 
|---|---|---|---|---|
| WGR (%) | 4 | 69.73 | 2.75 | 0.09 | 
| SGR (%/d) | 4 | 0.01 | 2.71 | 0.09 | 
| SR (%) | 4 | 0.00 | ||
| MF (%) | 4 | 0.09 | 0.40 | 0.80 | 
| HSI (%) | 4 | 0.24 | 3.33 | 0.06 | 
| MYP (%) | 4 | 1.08 | 0.46 | 0.77 | 
| Item | df | MS | F | p | 
|---|---|---|---|---|
| PEP | 4 | 8.12 | 14.11 | 0.00 | 
| TRYP | 4 | 581,512.53 | 5.54 | 0.01 | 
| AMS | 4 | 64.03 | 16.40 | 0.00 | 
| CHT | 4 | 3.19 | 89.50 | 0.00 | 
| LPS | 4 | 0.21 | 4.78 | 0.02 | 
| Item | df | MS | F | p | 
|---|---|---|---|---|
| ACP | 4 | 0.00 | 3.43 | 0.05 | 
| AKP | 4 | 0.00 | 8.99 | 0.00 | 
| LZM | 4 | 332.992 | 7.96 | 0.00 | 
| Item | df | MS | F | p | 
|---|---|---|---|---|
| T-AOC | 4 | 0.00 | 44.84 | 0.00 | 
| CAT | 4 | 0.00 | 7.06 | 0.00 | 
| GSH-Px | 4 | 23,296.86 | 260.06 | 0.00 | 
| SOD | 4 | 54.40 | 4.81 | 0.02 | 
| MDA | 4 | 0.37 | 16.70 | 0.00 | 
| Disclaimer/Publisher’s Note: The statements, opinions and data contained in all publications are solely those of the individual author(s) and contributor(s) and not of MDPI and/or the editor(s). MDPI and/or the editor(s) disclaim responsibility for any injury to people or property resulting from any ideas, methods, instructions or products referred to in the content. | 
© 2024 by the authors. Licensee MDPI, Basel, Switzerland. This article is an open access article distributed under the terms and conditions of the Creative Commons Attribution (CC BY) license (https://creativecommons.org/licenses/by/4.0/).
Share and Cite
Wang, Y.; Yang, R.; Fu, Z.; Ma, Z.; Bai, Z. The Photoperiod Significantly Influences the Growth Rate, Digestive Efficiency, Immune Response, and Antioxidant Activities in the Juvenile Scalloped Spiny Lobster (Panulirus homarus). J. Mar. Sci. Eng. 2024, 12, 389. https://doi.org/10.3390/jmse12030389
Wang Y, Yang R, Fu Z, Ma Z, Bai Z. The Photoperiod Significantly Influences the Growth Rate, Digestive Efficiency, Immune Response, and Antioxidant Activities in the Juvenile Scalloped Spiny Lobster (Panulirus homarus). Journal of Marine Science and Engineering. 2024; 12(3):389. https://doi.org/10.3390/jmse12030389
Chicago/Turabian StyleWang, Yinggang, Rui Yang, Zhengyi Fu, Zhenhua Ma, and Zemin Bai. 2024. "The Photoperiod Significantly Influences the Growth Rate, Digestive Efficiency, Immune Response, and Antioxidant Activities in the Juvenile Scalloped Spiny Lobster (Panulirus homarus)" Journal of Marine Science and Engineering 12, no. 3: 389. https://doi.org/10.3390/jmse12030389
APA StyleWang, Y., Yang, R., Fu, Z., Ma, Z., & Bai, Z. (2024). The Photoperiod Significantly Influences the Growth Rate, Digestive Efficiency, Immune Response, and Antioxidant Activities in the Juvenile Scalloped Spiny Lobster (Panulirus homarus). Journal of Marine Science and Engineering, 12(3), 389. https://doi.org/10.3390/jmse12030389
 
        



 
       