Numerical Evaluation of Commingled Production Potential of Marine Multilayered Gas Hydrate Reservoirs Using Fractured Horizontal Wells and Thermal Fluid Injection
Abstract
1. Introduction
2. Numerical Modeling
2.1. Geoengineering Background
2.2. Development Mode Design
2.3. Numerical Simulator
2.4. Initial and Boundary Conditions
2.5. Model Validation
2.6. Simulation Scenarios
3. Results and Discussion
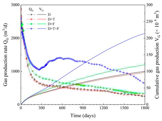
3.1. Comparison of Different Development Modes
3.1.1. NGH Dissociation
3.1.2. Gas and Water Production
3.2. Effect of Fractured Sublayers
3.2.1. NGH Dissociation
3.2.2. Gas and Water Production
3.3. Effect of Fracture Conductivity and Fracture Spacing
3.3.1. NGH Dissociation
3.3.2. Gas and Water Production
3.4. Vanrican Analysis
3.4.1. Significance of and to
3.4.2. Significance of and to
3.4.3. Significance of and to
3.5. Commercial Potential Evaluation
4. Conclusions
Author Contributions
Funding
Institutional Review Board Statement
Informed Consent Statement
Data Availability Statement
Conflicts of Interest
Nomenclature
| mass or heat gain term of component , kg/m3 or J/m3 | |
| Darcy flux vector of component , kg/m2 or J/m2 | |
| mass or heat external yield rate of component , kg/m3/s or W/m3 | |
| volume of subdomain , m3 | |
| surface area of subdomain , m2 | |
| porosity, dimensionless | |
| density of phase , kg/m3 | |
| saturation of phase | |
| mass fraction of component in phase, dimensionless | |
| heat capacity of dry sediment, J/kg/K | |
| specific internal energy of phase , J/kg | |
| hydrate dissociation activation energy, J/kg | |
| intrinsic permeability, m2 | |
| relative permeability of phase | |
| irreducible saturation of phase | |
| viscosity of phase , Pa·s | |
| gravitational acceleration, 9.806 m/s2 | |
| Klinkenberg factor, Pa | |
| pressure of phase , Pa | |
| stone indexes of phase | |
| thermal conductivity of sentiment, W/m/K | |
| sediment density, kg/m3 | |
| thermal conductivity of phase , W/m/K | |
| specific enthalpy of phase , J/kg | |
| radiance emittance factor, dimensionless | |
| Stefan–Boltzmann constant, 5:6687 × 108 J/m2/K4 | |
| capillary pressure, Pa | |
| threshold pressure, Pa | |
| pore structure index, dimensionless | |
| direct heat inputs or withdrawals, W/m3 | |
| pore pressure, Pa | |
| standard atmospheric pressure, 101,325 Pa | |
| seawater density, 1024 kg/m3 | |
| distance from the seafloor to sea level, m | |
| meter below the seafloor, mbsf | |
| seafloor temperature, K | |
| geothermal gradient, K/m | |
| fracture conductivity, D·cm | |
| fracture spacing, m | |
| CH4 release rate from NGH dissociation, m3/d | |
| cumulative CH4 release volume from NGH dissociation, m3 | |
| average daily CH4 release rate, m3/d | |
| decomposed hydrate mass, kg | |
| total hydrate mass in the model, kg | |
| hydrate decomposition ratio, defined by /, dimensionless | |
| gas production rate, m3/d | |
| cumulative gas production, m3 | |
| average daily gas production, m3/d | |
| cumulative water production, m3 | |
| gas to water ratio, defined by /, dimensionless | |
| recovered gas mass, kg | |
| total gas mass in the model, kg | |
| timely recovery ratio, defined by /, dimensionless | |
| horizontal section length, m |
References
- Hubbert, M.K.; Willis, D.G. Mechanics of Hydraulic Fracturing. Trans. AIME 1957, 210, 153–168. [Google Scholar] [CrossRef]
- Chong, Z.R.; Yang, S.H.B.; Babu, P.; Linga, P.; Li, X. Review of natural gas hydrates as an energy resource: Prospects and challenges. Appl. Energy 2016, 162, 1633–1652. [Google Scholar] [CrossRef]
- Hancock, S.; Collett, T.S.; Dallimore, S.R.; Satoh, T.; Inoue, T.; Huenges, E.; Henninges, J.; Weatherill, B. Overview of thermal-stimulation production-test results for the JAPEX/JNOC/GSC et al. Mallik 5L-38 gas hydrate production research wel. In Scientific Results from the Mallik 2002 Gas Hydrate Production Research Well Program, Mackenzie Delta, Northwest Territories, Canada, (GSC Bulletin; 585), Geological Survey of Canada, CD-ROM; Dallimore, S.R., Collett, T.S., Eds.; Geological Survey of Canada: Ottawa, ON, Canada, 2005. [Google Scholar]
- Boswell, R.; Schoderbek, D.; Collett, T.S.; Ohtsuki, S.; White, M.; Anderson, B.J. The Iġnik Sikumi Field Experiment, Alaska North Slope: Design, Operations, and Implications for CO2–CH4 Exchange in Gas Hydrate Reservoirs. Energy Fuels 2016, 31, 140–153. [Google Scholar] [CrossRef]
- Konno, Y.; Fujii, T.; Sato, A.; Akamine, K.; Naiki, M.; Masuda, Y.; Yamamoto, K.; Nagao, J. Key Findings of the World’s First Offshore Methane Hydrate Production Test off the Coast of Japan: Toward Future Commercial Production. Energy Fuels 2017, 31, 2607–2616. [Google Scholar] [CrossRef]
- Li, B.; Li, X.; Li, G.; Chen, Z. Evaluation of gas production from Qilian Mountain permafrost hydrate deposits in two-spot horizontal well system. Cold Reg. Sci. Technol. 2015, 109, 87–98. [Google Scholar] [CrossRef]
- Li, J.; Ye, J.; Qin, X.; Qiu, H.; Wu, N.; Lu, H.; Xie, W.; Lu, J.; Peng, F.; Xu, Z.; et al. The first offshore natural gas hydrate production test in South China Sea. China Geol. 2018, 1, 5–16. [Google Scholar] [CrossRef]
- Dai, S.; Santamarina, J.C. Hydrate-Bearing Clayey Sediments: Morphology, Physical Properties, Production and Engineering/Geological Implications; Georgia Institute of Technology: Atlanta, GA, USA, 2017. [Google Scholar] [CrossRef]
- Guerin, G.; Goldberg, D.; Meltser, A. Characterization of in situ elastic properties of gas hydrate-bearing sediments on the Blake Ridge. J. Geophys. Res. Solid Earth 1999, 104, 17781–17795. [Google Scholar] [CrossRef]
- Zhang, Z.; McConnell, D.R. Seismic modeling analysis and characterization of a gas hydrate and free gas mixed system in Green Canyon, Gulf of Mexico. In Proceedings of the Annual Offshore Technology Conference, Houston, TX, USA, 3 May 2010; Volume 2, pp. 1530–1541. [Google Scholar]
- Lee, M.W.; Collett, T.S. Gas hydrate and free gas saturations estimated from velocity logs on Hydrate Ridge offshore Oregon USA. In Proceedings of the Ocean Drilling Program, Scientific Results; Tréhu, A.M., Bohrmann, G., Torres, M.E., Colwell, F.S., Eds.; ODP Publications: CA, USA, 2006; Volume 204, pp. 1–25. Available online: http://www-odp.tamu.edu/publications/204_SR/VOLUME/CHAPTERS/103.PDF (accessed on 18 February 2024).
- Liang, D.; He, S.; Li, D. Effect of microwave on formation/decomposition of natural gas hydrate. Sci. Bull. 2009, 54, 965–971. [Google Scholar] [CrossRef]
- Minagawa, H.; Ito, T.; Kimura, S.; Kaneko, H.; Noda, S.; Tenma, N. Depressurization and electrical heating of methane hydrate sediment for gas production: Laboratory-scale experiments. J. Nat. Gas Sci. Eng. 2018, 50, 147–156. [Google Scholar] [CrossRef]
- Liang, Y.; Liu, S.; Wan, Q.; Li, B.; Liu, H.; Han, X. Comparison and Optimization of Methane Hydrate Production Process Using Different Methods in a Single Vertical Well. Energies 2018, 12, 124. [Google Scholar] [CrossRef]
- Jin, G.; Xu, T.; Xin, X.; Wei, M.; Liu, C. Numerical evaluation of the methane production from unconfined gas hydrate-bearing sediment by thermal stimulation and depressurization in Shenhu area, South China Sea. J. Nat. Gas Sci. Eng. 2016, 33, 497–508. [Google Scholar] [CrossRef]
- Jin, G.; Peng, Y.; Liu, L.; Su, Z.; Liu, J.; Li, T.; Wu, D. Enhancement of gas production from low-permeability hydrate by radially branched horizontal well: Shenhu Area, South China Sea. Energy 2022, 253, 124129. [Google Scholar] [CrossRef]
- Zhang, J.; Li, X.; Chen, Z.; Li, Q.; Li, G.; Lv, T. Numerical simulation of the improved gas production from low permeability hydrate reservoirs by using an enlarged highly permeable well wall. J. Pet. Sci. Eng. 2019, 183, 106404. [Google Scholar] [CrossRef]
- Feng, Y.; Chen, L.; Suzuki, A.; Kogawa, T.; Okajima, J.; Komiya, A.; Maruyama, S. Enhancement of gas production from methane hydrate reservoirs by the combination of hydraulic fracturing and depressurization method. Energy Convers. Manag. 2019, 184, 194–204. [Google Scholar] [CrossRef]
- Pan, D.; Zhong, X.; Zhu, Y.; Zhai, L.; Zhang, H.; Li, X.; Wang, Y.; Chen, C. CH4 recovery and CO2 sequestration from hydrate-bearing clayey sediments via CO2/N2 injection. J. Nat. Gas Sci. Eng. 2020, 83, 103503. [Google Scholar] [CrossRef]
- Ma, Y.; Zhong, X.; Li, X.; Nie, S.; Li, Q.; Tu, G.; Chen, C. Numerical simulation of gas extraction from marine hydrate sediments using sodium chloride injection. Fuel 2023, 342, 127910. [Google Scholar] [CrossRef]
- Chen, C.; Meng, Y.; Zhong, X.; Nie, S.; Ma, Y.; Pan, D.; Liu, K.; Li, X.; Gao, S. Research on the Influence of Injection–Production Parameters on Challenging Natural Gas Hydrate Exploitation Using Depressurization Combined with Thermal Injection Stimulated by Hydraulic Fracturing. Energy Fuels 2021, 35, 15589–15606. [Google Scholar] [CrossRef]
- Jin, Y.; Li, S.; Yang, D.; Jiang, X. Determination of dissociation front and operational optimization for hydrate development by combining depressurization and hot brine stimulation. J. Nat. Gas Sci. Eng. 2018, 50, 215–230. [Google Scholar] [CrossRef]
- Yu, T.; Guan, G.; Wang, D.; Song, Y.; Abudula, A. Numerical evaluation on the effect of horizontal-well systems on the long-term gas hydrate production behavior at the second Shenhu test site. J. Nat. Gas Sci. Eng. 2021, 95, 104200. [Google Scholar] [CrossRef]
- Yu, T.; Guan, G.; Wang, D.; Song, Y.; Abudula, A. Gas Production Enhancement from a Multilayered Hydrate Reservoir in the South China Sea by Hydraulic Fracturing. Energy Fuels 2021, 35, 12104–12118. [Google Scholar] [CrossRef]
- Ma, X.; Sun, Y.; Guo, W.; Jia, R.; Li, B. Numerical simulation of horizontal well hydraulic fracturing technology for gas production from hydrate reservoir. Appl. Ocean Res. 2021, 112, 102674. [Google Scholar] [CrossRef]
- Yin, F.; Gao, Y.; Chen, Y.; Sun, B.; Li, S.; Zhao, D. Numerical investigation on the long-term production behavior of horizontal well at the gas hydrate production site in South China Sea. Appl. Energy 2022, 311, 118603. [Google Scholar] [CrossRef]
- Guo, K.; Fan, S.; Wang, Y.; Lang, X.; Zhang, W.; Li, Y. Physical and chemical characteristics analysis of hydrate samples from northern South China sea. J. Nat. Gas Sci. Eng. 2020, 81, 103476. [Google Scholar] [CrossRef]
- Qin, X.; Lu, J.; Lu, H.; Qiu, H.; Liang, J.; Kang, D.; Zhan, L.; Lu, H.; Kuang, Z. Coexistence of natural gas hydrate, free gas and water in the gas hydrate system in the Shenhu Area, South China Sea. China Geol. 2020, 3, 210–220. [Google Scholar] [CrossRef]
- Moridis, G.J.; Sloan, E.D. Gas production potential of disperse low-saturation hydrate accumulations in oceanic sediments. Energy Convers. Manag. 2007, 48, 1834–1849. [Google Scholar] [CrossRef]
- Chen, L.; Feng, Y.; Okajima, J.; Komiya, A.; Maruyama, S. Production behavior and numerical analysis for 2017 methane hydrate extraction test of Shenhu, South China Sea. J. Nat. Gas Sci. Eng. 2018, 53, 55–66. [Google Scholar] [CrossRef]
- Moridis, G.J. Numerical Studies of Gas Production from Methane Hydrates. SPE J. 2003, 8, 359–370. [Google Scholar] [CrossRef]
- Stone, H.L. Probability Model for Estimating Three-Phase Relative Permeability. J. Pet. Technol. 1970, 22, 214–218. [Google Scholar] [CrossRef]
- Makogon, Y.F. Natural gas hydrates—A promising source of energy. J. Nat. Gas Sci. Eng. 2010, 2, 49–59. [Google Scholar] [CrossRef]
- Ye, J.; Qin, X.; Xie, W.; Lu, H.; Ma, B.; Qiu, H.; Liang, J.; Lu, J.; Kuang, Z.; Lu, C.; et al. The second natural gas hydrate production test in the South China Sea. China Geol. 2020, 3, 197–209. [Google Scholar] [CrossRef]
- Sun, J.; Ning, F.; Li, S.; Zhang, K.; Liu, T.; Zhang, L.; Jiang, G.; Wu, N. Numerical simulation of gas production from hydrate-bearing sediments in the Shenhu area by depressurising: The effect of burden permeability. J. Unconv. Oil Gas Resour. 2015, 12, 23–33. [Google Scholar] [CrossRef]
- Gao, Y.; Yang, M.; Zheng, J.; Chen, B. Production characteristics of two class water-excess methane hydrate deposits during depressurization. Fuel 2018, 232, 99–107. [Google Scholar] [CrossRef]
- Ahmadi, G.; Ji, C.; Smith, D.H. Production of natural gas from methane hydrate by a constant downhole pressure well. Energy Convers. Manag. 2007, 48, 2053–2068. [Google Scholar] [CrossRef]
- Zhong, X.; Pan, D.; Zhai, L.; Zhu, Y.; Zhang, H.; Zhang, Y.; Wang, Y.; Li, X.; Chen, C. Evaluation of the gas production enhancement effect of hydraulic fracturing on combining depressurization with thermal stimulation from challenging ocean hydrate reservoirs. J. Nat. Gas Sci. Eng. 2020, 83, 103621. [Google Scholar] [CrossRef]
- Ju, X.; Liu, F.; Fu, P.; White, M.D.; Settgast, R.R.; Morris, J.P. Gas Production from Hot Water Circulation through Hydraulic Fractures in Methane Hydrate-Bearing Sediments: THC-Coupled Simulation of Production Mechanisms. Energy Fuels 2020, 34, 4448–4465. [Google Scholar] [CrossRef]
- Research Consortium for Methane Hydrate Resources in Japan. 2017. Available online: https://www.mh21japan.gr.jp/mh21wp/wp-content/uploads/mh21form2017_doc01.pdf (accessed on 29 November 2017).
- Li, Z. Basic Theory and Technology of Waterflooding Oilfield Development; Science Press Beijing: Beijing, China, 2019; pp. 68–70. [Google Scholar]





















| Parameters | Value & Unit |
|---|---|
| Porosity of OL, HBL, TPL, FGL, and UL | 0.373, 0.373, 0.346, 0.347, and 0.347 |
| Intrinsic permeability of OL, HBL, TPL, FGL, and UL | 2.38, 2.38, 6.63, 6.8, and 6.8 mD |
| Mean hydrate saturation in HBL and TPL | 31% and 11.7% |
| Mean gas saturation in TPL and FGL | 13.2% and 9.3% |
| Gas composition | CH4 100% |
| Seawater salinity | 0.03 |
| Dry and wet thermal conductivity (all deposits) | 1 and 3.1 W/m/K |
| Sediment density | 2650 kg/m3 |
| Sediment specific heat | 1000 J/K/kg |
| Production and injection pressure | 3 and 16 MPa |
| Hot water temperature | 60 °C |
| 1024 kg/m3 | |
| 3.6 °C | |
| 46 °C/km | |
| 1 × 105 Pa | |
| 0.45 | |
| 3.50 | |
| 3.50 | |
| 0.30 | |
| 0.03 |
| Scenario No. | Development Mode | Fractured Sublayers | (D·cm) | (m) | Scenario No. | Development Mode | Fractured Sublayers | (D·cm) | (m) |
|---|---|---|---|---|---|---|---|---|---|
| 01# | D | / | / | / | 12# | D+T+F | HBL, TPL | 25 | 15 |
| 02# | D+T | / | / | / | 13# | D+T+F | HBL, TPL | 25 | 10 |
| 03# | D+F | HBL | 10 | 30 | 14# | D+T+F | HBL, TPL | 25 | 5 |
| 04# | D+T+F | HBL | 10 | 30 | 15# | D+T+F | HBL, TPL | 50 | 30 |
| 05# | D+T+F | HBL, TPL | 10 | 30 | 16# | D+T+F | HBL, TPL | 50 | 15 |
| 06# | D+T+F | HBL, TPL, FGL | 10 | 30 | 17# | D+T+F | HBL, TPL | 50 | 10 |
| 07# | D+T+F | HBL, TPL | 10 | 30 | 18# | D+T+F | HBL, TPL | 50 | 5 |
| 08# | D+T+F | HBL, TPL | 10 | 15 | 19# | D+T+F | HBL, TPL | 100 | 30 |
| 09# | D+T+F | HBL, TPL | 10 | 10 | 20# | D+T+F | HBL, TPL | 100 | 15 |
| 10# | D+T+F | HBL, TPL | 10 | 5 | 21# | D+T+F | HBL, TPL | 100 | 10 |
| 11# | D+T+F | HBL, TPL | 25 | 30 | 22# | D+T+F | HBL, TPL | 100 | 5 |
Disclaimer/Publisher’s Note: The statements, opinions and data contained in all publications are solely those of the individual author(s) and contributor(s) and not of MDPI and/or the editor(s). MDPI and/or the editor(s) disclaim responsibility for any injury to people or property resulting from any ideas, methods, instructions or products referred to in the content. |
© 2024 by the authors. Licensee MDPI, Basel, Switzerland. This article is an open access article distributed under the terms and conditions of the Creative Commons Attribution (CC BY) license (https://creativecommons.org/licenses/by/4.0/).
Share and Cite
Nie, S.; Li, J.; Liu, K.; Zhong, X.; Wang, Y. Numerical Evaluation of Commingled Production Potential of Marine Multilayered Gas Hydrate Reservoirs Using Fractured Horizontal Wells and Thermal Fluid Injection. J. Mar. Sci. Eng. 2024, 12, 365. https://doi.org/10.3390/jmse12030365
Nie S, Li J, Liu K, Zhong X, Wang Y. Numerical Evaluation of Commingled Production Potential of Marine Multilayered Gas Hydrate Reservoirs Using Fractured Horizontal Wells and Thermal Fluid Injection. Journal of Marine Science and Engineering. 2024; 12(3):365. https://doi.org/10.3390/jmse12030365
Chicago/Turabian StyleNie, Shuaishuai, Jiangfei Li, Ke Liu, Xiuping Zhong, and Yafei Wang. 2024. "Numerical Evaluation of Commingled Production Potential of Marine Multilayered Gas Hydrate Reservoirs Using Fractured Horizontal Wells and Thermal Fluid Injection" Journal of Marine Science and Engineering 12, no. 3: 365. https://doi.org/10.3390/jmse12030365
APA StyleNie, S., Li, J., Liu, K., Zhong, X., & Wang, Y. (2024). Numerical Evaluation of Commingled Production Potential of Marine Multilayered Gas Hydrate Reservoirs Using Fractured Horizontal Wells and Thermal Fluid Injection. Journal of Marine Science and Engineering, 12(3), 365. https://doi.org/10.3390/jmse12030365
