Research on Speed Cooperative Control Strategy for Rudderless Dual-PMSM Propulsion Ships
Abstract
1. Introduction
2. Materials and Methods
The Propeller Characteristics Model of a Rudderless Dual-PMSM Propulsion Ship
3. Research on the Coupling Control Strategy for Dual-PMSM
3.1. Vector Control System
3.2. Cross-Coupling Control (CCC)
3.3. Relative Coupling Control (RCC)
3.4. Variable Error Difference Compensation-Coupling Control Strategy (VEDC-CC)
4. Simulation Experiment and Results
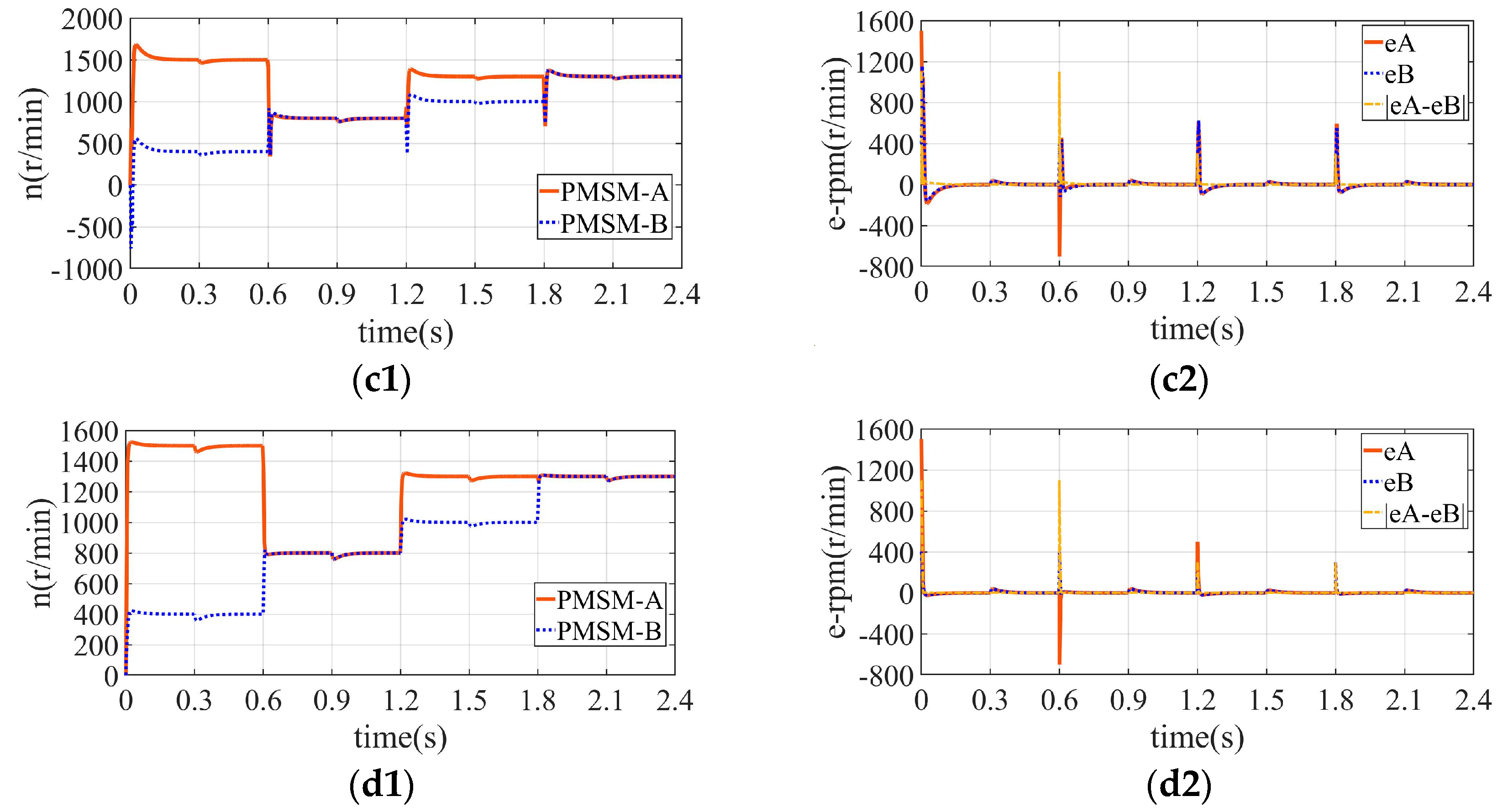
4.1. Simulation Experiment of the VEDC-CC Strategy
4.2. Simulation Study on the Propeller Load Characteristics of the VEDC-CC Strategy
- The ship accelerates from low-speed navigation to high-speed navigation, subsequently decelerates, and maintains a moderate cruising speed (linear acceleration and deceleration);
- The ship cruises at a moderate speed, then hard to starboard, returns to the neutral position, and finally increases speed (hard starboard and acceleration);
- The ship goes hard to port and leaves the berth, then turns right to correct the heading, and finally accelerates in a straight line to exit the harbor (accelerated departure);
- The ship goes hard to starboard, then decelerates while steering to the left to align the hull, and finally decelerates to approach the harbor (deceleration for docking).
5. Discussion
6. Conclusions
Contribution
- Proposed a VEDC-CC strategy for the dual propulsion motors speed cooperative control of rudderless dual-motor propulsion ships under both the same given command and different given commands.
- Designed a variable coupling compensation coefficient determination method to maintain and enhance both the cooperative performance and self-error handling ability of VEDC-CC strategy.
- Conducted an applicability verification simulation experiment of VEDC-CC strategy considering the propeller characteristics load of the target rudderless dual-motor propulsion ship and the actual navigation instructions.
Author Contributions
Funding
Institutional Review Board Statement
Informed Consent Statement
Data Availability Statement
Conflicts of Interest
Abbreviations
| PMSM | Permanent Magnet Synchronous Motor |
| SVPWM | Space Vector Pulse Width Modulation |
| AC | Alternating Current |
| DC | Direct Current |
| CCC | Cross-Coupling Control |
| RCC | Relative Coupling Control |
| SIRCC | Simplified Improved Relative Coupling Control |
| VEDC-CC | Variable Error Difference Compensation-Coupling Control |
References
- Zhang, H.; Liang, W.; Zhang, H. Multi-PMSM Sensorless Cooperative Control Based on LADRC. In Proceedings of the 2022 25th International Conference on Electrical Machines and Systems (ICEMS), Chiang Mai, Thailand, 29 November–2 December 2022; pp. 1–6. [Google Scholar] [CrossRef]
- Cai, W.; Hu, Y.; Wang, H.; Yao, L.; Guo, X.; Liu, J. Cross-coupling control design of a flexible dual rotor wind turbine with enhanced wind energy capture capacity. Renew. Energy 2024, 220, 119629. [Google Scholar] [CrossRef]
- Lan, C.Y.; Wang, H.; Deng, X.; Zhang, X.F.; Song, H. Multi-motor position synchronization control method based on non-singular fast terminal sliding mode control. PLoS ONE 2023, 18, e0281721. [Google Scholar] [CrossRef] [PubMed]
- Shi, T.; Liu, H.; Geng, Q.; Xia, C. Improved relative coupling control structure for multi-motor speed synchronous driving system. IET Electr. Power Appl. 2016, 10, 451–457. [Google Scholar] [CrossRef]
- Perez-Pinal, F.J.; Calderon, G.; Araujo-Vargas, I. Relative coupling strategy. In Proceedings of the IEEE International Electric Machines and Drives Conference, 2003. IEMDC’03, Madison, WI, USA, 1–4 June 2003; Volume 2, pp. 1162–1166. [Google Scholar] [CrossRef]
- Zhang, D.; Sun, C.; Hu, X.; Zhang, J. Cross-coupling synchronous control of double brushless DC motor based on variable domain fuzzy PID. Mechatron. Syst. Control 2021, 49, 9–16. [Google Scholar] [CrossRef]
- Saleem, O.; Rizwan, M. ILC-adapted parameter optimization of cross-coupled single-input fuzzy tracking controllers for an X-Y positioning table. J. Chin. Inst. Eng. 2020, 43, 519–531. [Google Scholar] [CrossRef]
- Ji, W.; Cui, X.; Xu, B.; Ding, S.; Ding, Y.; Peng, J. Cross-coupled control for contour tracking error of free-form curve based on fuzzy PID optimized by improved PSO algorithm. Meas. Control 2022, 55, 807–820. [Google Scholar] [CrossRef]
- Dou, H.; Lu, H.; Wang, S.; Liu, Q.; Wang, D.; Meng, L. Research on Synchronous Control of Gantry-type Dual-driving Feed System based on Fuzzy Single Neuron PID Cross-coupled Controller. In Proceedings of the 2021 IEEE 5th Advanced Information Technology, Electronic and Automation Control Conference (IAEAC), Chongqing, China, 12–14 March 2021; pp. 1107–1112. [Google Scholar] [CrossRef]
- Sun, C.; Dong, X.; Li, J. Cross-Coupled Sliding Mode Synchronous Control for a Double Lifting Point Hydraulic Hoist. Sensors 2023, 23, 9387. [Google Scholar] [CrossRef] [PubMed]
- Zhang, C.; Xiao, M.; He, J. Multimotor Improved Relative Coupling Cooperative Control Based on Sliding-Mode Controller. Math. Probl. Eng. 2020, 2020, 5638462. [Google Scholar] [CrossRef]
- Vedrana, J.S.; Toni, V.; Tin, B.; Marinko, B. A Survey of Fuzzy Algorithms Used in Multi-Motor Systems Control. Electronics 2020, 9, 1788. [Google Scholar] [CrossRef]
- Zhang, Y.L.; An, Y.J.; Wang, G.Y.; Kong, X.L. Multi motor neural PID relative coupling speed synchronous control. Arch. Electr. Eng. 2020, 69, 69–88. [Google Scholar] [CrossRef]
- Wang, H.; Du, H.; Cui, Q.; Lui, P.; Ma, X. A multi-motor speed synchronization control enhanced by artificial bee colony algorithm. Meas. Control 2023, 56, 133–146. [Google Scholar] [CrossRef]
- Chen, Q.; Dong, F.; Tao, L.; Nan, Y. Multiple motors synchronization based on active disturbance rejection control with improved adjacent coupling. In Proceedings of the 2016 35th Chinese Control Conference (CCC), Chengdu, China, 27–29 July 2016; pp. 4510–4516. [Google Scholar] [CrossRef]
- Cheng, Y.; Wu, Y.; Xiang, J.; Zhang, X.; Wang, S. Improved Relative Coupling Cooperative Control for Multi-motor Driving System. In Proceedings of the 2022 IEEE 5th Advanced Information Management, Communicates, Electronic and Automation Control Conference (IMCEC), Chongqing, China, 16–18 December 2022; pp. 929–933. [Google Scholar] [CrossRef]
- Khanfir, S.; Hasegawa, K.; Nagarajan, V.; Lee, S. Manoeuvring characteristics of twin-rudder systems: Rudder-hull interaction effect on the manoeuvrability of twin-rudder ships. J. Mar. Sci. Technol. 2011, 16, 472–490. [Google Scholar] [CrossRef]
- Okuda, R.; Yasukawa, H.; Sano, M.; Hirata, M.; Yoshimura, Y.; Furukawa, Y.; Matsuda, A. Maneuvering simulations of twin-propeller and twin-rudder ship in shallow water using equivalent single rudder model. J. Mar. Sci. Technol. 2022, 27, 948–970. [Google Scholar] [CrossRef]
- Nguyen, H.D.; Nguyen, T.Q.; Wang, Y.; Tran, M.Q.; Nguyen, C. Modelling and Control of a Model Scaled Surface Vessel with Twin Propellers, Single Rudder and Two Side Thrusters. In Proceedings of the 2022 Australian & New Zealand Control Conference (ANZCC), Gold Coast, Australia, 24–25 November 2022; pp. 87–92. [Google Scholar] [CrossRef]
- Zheng, L.; Jinsong, W.; Jinfeng, A.; Qingshan, Z.; Yiding, Z. Variable Gain Cross-Coupling Control System of Dual-Axis PM Synchronous Linear Motor Based on Model Predictive Speed and Current Integrated Controller. In Proceedings of the 2021 13th International Symposium on Linear Drives for Industry Applications (LDIA), Wuhan, China, 1–3 July 2021; pp. 1–6. [Google Scholar] [CrossRef]
- Sun, C.; Yuan, R. Adaptive robust Cross-coupling Position Synchronization Control of a Hydraulic Press Slider-leveling. Sci. Prog. 2021, 104, 0036850420987037. [Google Scholar] [CrossRef] [PubMed]










| No. | Name | Value | No. | Name | Value |
|---|---|---|---|---|---|
| 1. (basic) | overall length | 26.8 m | 8. (calc) | drag factor | 100 N/(m/s)2 |
| 2. (basic) | plumbline length | 25.5 m | 9. (calc) | reduction factor | 0.18 |
| 3. (basic) | beam | 8 m | 10. (calc) | tracer factor | 0.2 |
| 4. (basic) | depth | 2.95 m | 11. (calc) | squareness factor | 0.8 |
| 5. (calc) | displacement | 270 t | 12. (basic) | motor rated speed | 1300 r/min |
| 6. (calc) | propeller diameter | 0.9 m | 13. (calc) | cruising speed | 11 knots |
| 7. (basic) | lake density | 1000 kg/m3 | 14. (calc) | top speed | 20 knots |
| Strategy | Command Type | Given Speed | Overshoot | Stable Time | Disturbance Coupling Performance | Disturbance Recovery Time | Disturbance Speed Drop |
|---|---|---|---|---|---|---|---|
| CCC | same (switch) | 800 r/min | 2% | 0.05 s | strong | 0.15 s | 40 r/min |
| same (switch) | 1300 r/min | 3% | 0.05 s | strong | 0.15 s | 42 r/min | |
| diff (start-up) | 1500 r/min | \ | \ | \ | \ | \ | |
| 400 r/min | \ | \ | \ | \ | |||
| diff (switch) | 1300 r/min | \ | \ | \ | \ | \ | |
| 1000 r/min | \ | \ | \ | \ | |||
| SIRCC α = 0.1 | same (switch) | 800 r/min | 2% | 0.05 s | weak | 0.15 s | 52 r/min |
| same (switch) | 1300 r/min | 1.2% | 0.10 s | weak | 0.15 s | 48 r/min | |
| diff (start-up) | 1500 r/min | 11% | 0.16 s | weak | 0.15 s | 59 r/min | |
| 400 r/min | 2% | 0.14 s | 0.15 s | 10 r/min | |||
| diff (switch) | 1300 r/min | 2% | 0.15 s | weak | 0.15 s | 49 r/min | |
| 1000 r/min | 1.2% | 0.14 s | 0.15 s | 5 r/min | |||
| SIRCC α = 20 | same (switch) | 800 r/min | 7% | 0.20 s | strong | 0.15 s | 37 r/min |
| same (switch) | 1300 r/min | 5.3% | 0.17 s | strong | 0.15 | 35 r/min | |
| diff (start-up) | 1500 r/min | 15% | 0.16 s | strong | 0.15 s | 36 r/min | |
| 400 r/min | −180 to 25% | 0.16 s | 0.15 s | 34 r/min | |||
| diff (switch) | 1300 r/min | −48 to 7% | 0.18 s | strong | 0.15 s | 33 r/min | |
| 1000 r/min | −62 to 9% | 0.18 | 0.15 s | 32 r/min | |||
| VEDC-CC | same (switch) | 800 r/min | 2% | 0.05 s | strong | 0.15 s | 37 r/min |
| same (switch) | 1300 r/min | 1% | 0.05 s | strong | 0.15 s | 33 r/min | |
| diff (start-up) | 1500 r/min | 1% | 0.12 s | strong | 0.15 s | 36 r/min | |
| 400 r/min | 2% | 0.12 s | 0.15 s | 36 r/min | |||
| diff (switch) | 1300 r/min | 1.5% | 0.13 s | strong | 0.15 s | 33 r/min | |
| 1000 r/min | 2% | 0.13 s | 0.15 s | 32 r/min |
Disclaimer/Publisher’s Note: The statements, opinions and data contained in all publications are solely those of the individual author(s) and contributor(s) and not of MDPI and/or the editor(s). MDPI and/or the editor(s) disclaim responsibility for any injury to people or property resulting from any ideas, methods, instructions or products referred to in the content. |
© 2024 by the authors. Licensee MDPI, Basel, Switzerland. This article is an open access article distributed under the terms and conditions of the Creative Commons Attribution (CC BY) license (https://creativecommons.org/licenses/by/4.0/).
Share and Cite
Zhou, Z.; Geng, P.; Cao, W.; Xu, X. Research on Speed Cooperative Control Strategy for Rudderless Dual-PMSM Propulsion Ships. J. Mar. Sci. Eng. 2024, 12, 266. https://doi.org/10.3390/jmse12020266
Zhou Z, Geng P, Cao W, Xu X. Research on Speed Cooperative Control Strategy for Rudderless Dual-PMSM Propulsion Ships. Journal of Marine Science and Engineering. 2024; 12(2):266. https://doi.org/10.3390/jmse12020266
Chicago/Turabian StyleZhou, Ziqi, Pan Geng, Wei Cao, and Xiaoyan Xu. 2024. "Research on Speed Cooperative Control Strategy for Rudderless Dual-PMSM Propulsion Ships" Journal of Marine Science and Engineering 12, no. 2: 266. https://doi.org/10.3390/jmse12020266
APA StyleZhou, Z., Geng, P., Cao, W., & Xu, X. (2024). Research on Speed Cooperative Control Strategy for Rudderless Dual-PMSM Propulsion Ships. Journal of Marine Science and Engineering, 12(2), 266. https://doi.org/10.3390/jmse12020266
