Next Article in Journal
Numerical Study on the Wave Attenuation Performance of a Novel Partial T Special-Type Floating Breakwater
Previous Article in Journal
Ship Hull Steel Plate Deformation Modeling Based on Gaussian Process Regression
Previous Article in Special Issue
Operation Analysis of the Floating Derrick for Offshore Wind Turbine Installation Based on Machine Learning
 
 
Font Type:
Arial Georgia Verdana
Font Size:
Aa Aa Aa
Line Spacing:
Column Width:
Background:
Article

One-Way CFD/FEM Analysis of a Fish Cage in Current Conditions

Centre for Marine Technology and Ocean Engineering (CENTEC), Instituto Superior Técnico, Universidade de Lisboa, Av. Rovisco Pais, 1049-001 Lisboa, Portugal
*
Author to whom correspondence should be addressed.
J. Mar. Sci. Eng. 2024, 12(12), 2268; https://doi.org/10.3390/jmse12122268
Submission received: 18 November 2024 / Revised: 3 December 2024 / Accepted: 6 December 2024 / Published: 10 December 2024
(This article belongs to the Special Issue Impact of Ocean Wave Loads on Marine Structures)

Abstract

This study explores the hydrodynamic behaviour of a fish cage in a steady current by employing a fluid–structure interaction model with one-way coupling between a fluid solver and a structural model. The fluid field around the fish cage is predicted using a computational fluid dynamics solver, while the stress and deformation of the netting are calculated using finite element structural algorithm with solid elements reflecting their real geometry. The fluid velocity and hydrodynamic pressure are calculated and mapped to the structural analysis model. The fluid–structure interaction model is validated by comparing drag force results with published experimental data at different current conditions. Instead of modelling the netting of the fish cage as porous media or using lumped mass methods, the complete structural model is built in detail. The analysis of the fluid field around the nets shows that the change in the current condition has a limited impact on the flow behaviour, but the increase in the current velocity significantly enhances the magnitude of the drag force. This study reveals a reduction in flow within and downstream of the net, consistent with prior experimental findings and established research. Mechanical analysis shows that knotted nets have better performance than knotless ones, and although fluid pressure causes some structural deformation, it remains within safe limits, preventing material failure.

1. Introduction

Nowadays, the market is flooded with all sorts of types of aquaculture cages: fixed, floating, submersible and submerged, all with their set of advantages and restrictions. Among these, the floating or gravity-type cage is one of the most used worldwide due to its versatile and flexible design. Its floating ability allows for the exchange of water, which maintains the fish’s oxygen levels and water quality [1].
In aquaculture, the primary focus is on ensuring the well-being of the fish. Assessing the impact of environmental conditions inside and outside the net cage is essential to maintain the fish’s health. Since the exposure of cages to the ocean environment directly affects their performance, studies on cage behaviour have been released over many years. Many factors can affect cage behaviour in response to the ocean environment, including cage dimensions and shape [2], the applied loads, and the methods used to study this behaviour. Tsarau and Kristiansen [3] examined the effects of environmental loads on a fish farm system and found that these loads significantly influence the system’s behaviour. For offshore floating fish cages, mooring cables provide restoring force, ensuring the safety of the system. Numerical models, integrated with various wave theories, have been employed to analyse how design parameters and mooring forces impact cage behaviour [4,5,6]. Findings from studies [7,8] provide valuable insights, showing that cage displacement and mooring forces tend to increase with larger cage dimensions and stiffer mooring lines.
Experimental investigations have been conducted to study the behaviour of the cage and fluid flow around it. Dong et al. [9] conducted sea trials and experimental studies on a circular fish cage with a bottom net to study a silver salmon fish farm in Japan. They used devices such as acoustic waves, current meters, depth sensors in the sea trials, and a 2D electromagnetic current meter for the model test to measure velocity flow. Considering the existing problem of accumulation of fouling in marine structures, Nobakht-Kolur et al. [10] conducted physical tests on a floating cage with artificial marine fouling to study its impact on hydrodynamic forces. They induced irregular waves on a clean and fouled cage and used load cells to measure results. Liu and Guedes Soares [11] carried out experimental tests to examine the response of a circular gravity cage in linear waves. The setup included a wave maker, a rock breakwater, and a perforated membrane to replicate the effects of biofouling. The cage was affected in terms of structural strength and deformation caused by exposure to waves and currents. This aspect is typically studied concerning the loss of volume, as the primary objective is to maintain the cage volume to provide a safe space for fish growth [12].
Numerical methods have been developed to simulate flow behaviour, with many researchers adopting a combined approach using the porous-media fluid and lumped-mass mechanical models. The porous-media model allows them to analyse hydrodynamic forces on the net by treating the net as a porous zone. To simulate the water-blocking effects of the net, the porous net is attributed to specific porous coefficients. The lumped mass model associates the net as a series of mass points interconnected with springs without mass to study the net motion [13,14]. A numerical model that couples the boundary element method and lumped-mass model was used by Ma et al. [15] to simulate the dynamic behaviour of a multi-body floating aquaculture platform in irregular waves. The model was validated using physical tests, and the results focused on the motions of the platform and the mooring forces.
Computational Fluid Dynamics (CFD) is an ideal approach for analysing fluid flow around fish cages due to its accuracy and adaptability in handling complex FSI problems. CFD enables detailed simulation of the interactions between water currents, fish cage structures, and surrounding environmental factors. Bui et al. [16] utilized the software ANSYS Fluent to investigate the flow over and through a single offshore fish cage and multiple cages. The structure was modelled as a hollow sphere with its wall being a thin porous layer representing the net and the mechanical frame. The simulations conducted in ANSYS Fluent, employing a porous media fluid model along with the realizable k-epsilon turbulence model to analyse hydrodynamic loads on a net cage, were validated in [17]. Wake effects on the fish farm were investigated in Cheng et al. [18] using the CFD method combined with a porous-media model. A coupling algorithm between two open-source numerical toolboxes, OpenFOAM v2012 and Code_Aster was used in Aydemir et al. [19] to analyse the fish farms in current conditions, where the net was modelled with porous media.
Cheng [20] emphasized the crucial need for accurately estimating the structural responses of nets under different wave and current conditions, as the net bears over 85% of the total environmental loads on gravity-based fish cages. Faltisen and Shen [21] emphasized that hydroelasticity plays a significant role for net cages and closed membrane-type fish farms. Liu and Guedes Soares [22] further highlighted that the flexible nature of these nets makes them particularly vulnerable to deformation from currents and waves, adding to the design and operational challenges. This susceptibility underscores the importance of precise modelling to ensure structural integrity and optimal performance in various marine environments. A numerical model was built in [23] to calculate the mooring forces and cage deformation subjected to currents and waves using Finite Element Method (FEM), where the hydrodynamic load was estimated using Morison equation. Coupled CFD and FEM solvers have been widely used for analysing various FSI problems where the flexibility of the structure plays important roles [24,25,26]. Although the coupled solvers provide high-fidelity results, the simulations are very time consuming and sensitive to numerical setup parameters, making it less applicable on the fish cage investigations.
Instead of modelling the nets using simplified porous media or lumped mass methods and calculating the hydrodynamic forces using simplified formulations, the present study simulated the nets using solid elements reflecting their real geometry and predict the fluid field using a CFD solver. A fluid–structure interaction (FSI) simulation of a fish cage was implemented in ANSYS FLUENT 2022 R2 and structural mechanics to study the cage deformation, hydrodynamic loads and flow velocities around it when subjected to current conditions. In the present study, the primary focus is on determining the maximum deformation of the cage and the flow field around it. To reduce both the complexity and computational cost of the simulations, a one-way solver approach was adopted in this study.

2. Numerical Approach

The present numerical FSI solver utilized two models to study the flow field around a rigid structure and the structural responses due to the fluid separately. Figure 1 illustrates the calculation procedures that were implemented in the commercial software ANSYS 2022 R2 workbench environment. On the left, the flowchart shows the coupling between the fluid and structural models, while the right one presents the procedures for the CFD fluid analysis.
As seen, this is a one-way FSI simulation. Firstly, the fluid model (Model 1) was implemented in FLUENT with the structure modelled using Rhinoceros7, defining the boundary conditions, meshes, numerical setups. After obtaining the convergence in the fluid model, the structural analysis using Model 2 was performed in Static Structural. The hydrodynamic pressures around the undeformed structure were mapped to the same object in Model 2 for analysing the deformation and stresses. The cage structure was modelled to be hollow and verified for water tightness, and the nets were modelled as cylinders with spheres representing the knots [27].

2.1. Governing Equations

The CFD solver is based on the Reynolds-Averaged Navier–Stokes (RANS) equations, where the fluid flow is governed by a continuity equation and a momentum equation. They are described as follows: 
  • Continuity equation:
ρ t + x i ρ u i = 0
  • Momentum equation:
ρ u i t + ρ u i u j x j = p x i + x j ρ u i u j ¯ + x j μ u i x j + u j x i 2 3 δ i j u l x l
In the present simulations, the SST k-ω model is applied for the turbulence characteristics. The transport equations are written as:
t ρ k + x j ρ k u j = x j Γ k k x j + G k + G b Y k + S k
t ρ ω + x j ρ ω u j = x j Γ ω ε x j + G ω + G ω b Y ω + S ω + D ω
where G k is the generation of turbulence kinetic energy due to the mean velocity gradients, G ω means the generation ω ; Γ k and Γ ω represent the effective diffusivity of k and ω ; Y k and Y ω are the dissipation of k and ω due to turbulence; D ω means the cross-diffusion term; S k and S ω are source terms according to user definition; G b and G ω b account for buoyancy terms.
In the structural analysis using Model 2, a linear static analysis is performed. The displacement is solved for the materials properties matrix, (K) and the force (F) that is applied on the structure, as follows:
K x = F
Linear elastic material properties are considered for the structures. The deflections of the structures are assumed small, and [K] is assumed constant. Inertial effects such as mass and damping are neglected. In addition, the force which is applied on the structure is assumed unchanged at time domain.

2.2. Numerical Model

To validate the results of the present numerical model, the case study from Bi et al. [17,28] is applied. Figure 2 shows the configuration of the fish case, along with the details of the net. Table 1 shows the main dimensions of the fish cage in their experimental tests. The fish cage structure consists of a top ring, a bottom ring and a square-shaped net attached to both parts. The knot was assumed to be a sphere, the final structure was verified for water tightness, and no naked edges were found.

2.2.1. Numerical Setup for Fluid Solver

Figure 3 shows the numerical setup of the case study. The cartesian coordinate system (x, y, z) is introduced, with the (x, y) plane located in the vertical plane, while the (x, z) plane is located on the waterplane. As seen, the submerged depth of the body is 0.15 m, and the diameter of the fish cage is denoted as D. Multi phases, water and air are presented as well. The water depth in the tank is 0.4 m. The arrangement of the measurement points 1–4 was consistent with that in the experimental tests, which will serve as guidelines for the flow study. These points are located 0.05 m from the waterplane.
To reduce computational time, the longitudinal domain is limited, and only half of the domain is simulated, utilizing symmetry along the (x, y) plane. The cage is positioned vertically, with the top ring fixed one centimetre above the free surface. Longitudinally, its centre is located 5D metres forward from the tank’s starting point, and it is laterally centred within the tank’s width.
The structure is assumed to be hollow, acting as a stationary boundary. The tank walls are modelled with negligible friction and drag effects, resulting in zero fluid velocity at the wall and eliminating any relative motion between the fluid and the boundary. The wall’s motion was considered stationary to simulate these conditions with no slip shear. The inlet was defined as a pressure inlet, and the present study considers four different incoming velocities, which are 0.069 m/s, 0.122 m/s, 0.178 m/s and 0.242 m/s. These velocities are selected to compare with the experimental results in [17]. Commercial farms are typically exposed to currents of 0–0.5 m/s and up to extremes >1.5 m/s during storms [29]. The present study simulated the fish cage in small scale, so these velocities cover well the real-world current velocities.
Figure 4 shows the computational meshes of simulations, where Figure 4a presents all the meshes in the (x, y) plane. As seen, refinement is made at the centre domain along the length of the tank. This mesh is implemented with a body of influence limited by the free surface, the extremities of the tank and the cage depth. Figure 4b shows in detail the meshes around the cage. The details of the meshes are listed in Table 2, which enables an accurate study of the flow behaviour since it only created a surface area loss of approximately 0.4%.
Since the structure is floating along the free surface, two fluids (phases) are simulated with the fresh water (ρ = 998.2 kg/m3 and μ = 0.001003 kg/(m·s)), and the air (ρ = 1.225 kg/m3 and μ = 1.7894 × 10−5 kg/(m·s)). The calculation combines the viscous model k-omega with SST and the VOF multiphase model. The VOF defines open channel flow with implicit volume fraction formulation. The two fluids are separated at the free surface level. A constant pressure of 0.072 N/m was set at the interface that was defined as sharp. The segregated PISO algorithm with Warped-Face Gradient Correction (WFGC) and advanced stabilization was used to activate the coupling between the pressure and the fluid velocity. The discretisation was implemented with a second-order pressure scheme and a second-order upwind scheme for momentum and turbulent parameters. The transient formulation was solved using the second-order implicit method. Meanwhile, gravity effects and surface tension were neglected in steady-state simulation. In the transient state simulation, both these parameters were considered. The calculation procedure was considered valid if the residuals were smaller than 0.0001 and the difference between two iterations of drag force calculations was inferior to 0.001.

2.2.2. Structural Model

Fibre material is one of the crucial considerations in the netting of fish cages. The most common ones are polyamide (PA), polyethylene terephthalate (PET) and polyethylene (PE). These three materials present very similar elastic properties, but differ in their tensile strength, PET being the strongest. Nevertheless, PA, most commonly known as nylon, is considered a great cost-effective material and is the most used in both field measurements and experimental tests [30,31]. In the present study, different materials were utilized for the net to analyse their effects on structural behaviour. Table 3 lists the four material properties for the net.
The supporting structures are considered steel; however, since they do not deform, their material properties are insignificant to the simulation. The bottom ring of the cage is of stainless steel and deforms with E = 1.93 × 105 Pa and v = 0.31.
The Cartesian system in the mechanical structural model remains the same as the fluid model. However, in these analyses, the domain (water tank) is suppressed, and only the fish cage is studied. To study the deformation, the cage’s collar is considered a fixed support, and mass is added to the bottom ring. Once more, the fluid pressure acting on the net was imported from FLUENT and defined as a distribution of pressure applied on the structure, as defined in Figure 5.
Figure 5 also shows the mesh grid of the structure in the (y, z) plane, where the triangular element of the net and its orientation can be observed. The mesh is implemented with sizing on the collar (0.5 mm) and on the net and bottom ring (0.2 mm).

3. Results and Discussions

3.1. Drag Force

The drag force measured in the experimental tests performed in the two-dimensional wave-current tank at the State Key Laboratory of Coastal and Offshore Engineering (SLCOE), is used to validate the numerical model [13]. The drag force is obtained for the net with the bottom ring combination and compared with the experimental results (Figure 6). The overall results of drag are in good agreement with the experimental values. As observed in the plane net model, the bigger discrepancy of results occurs for the lowest incoming velocity, with a growing improvement of results when the incoming velocity is increased. However, this discrepancy is also observed for the highest incoming velocity in the cage model. This discrepancy could be explained by considering the cage as a wall in the numerical model instead of a moving body. In this one-way solver, the fluid field is computed by considering the rigid body, instead of a flexible netting. When the incoming velocity increases, the deformation of the nets would be larger, resulting in higher discrepancies. The differences observed at low incoming velocities may be attributed to experimental and numerical uncertainties. While the detailed netting of the fish cage is modelled, minor discrepancies in the geometry compared to the actual fibre materials may exist. Additionally, the fibre ropes in water are subject to soaking, which can introduce slight dimensional changes, further contributing to the variations.

3.2. Flow Velocity

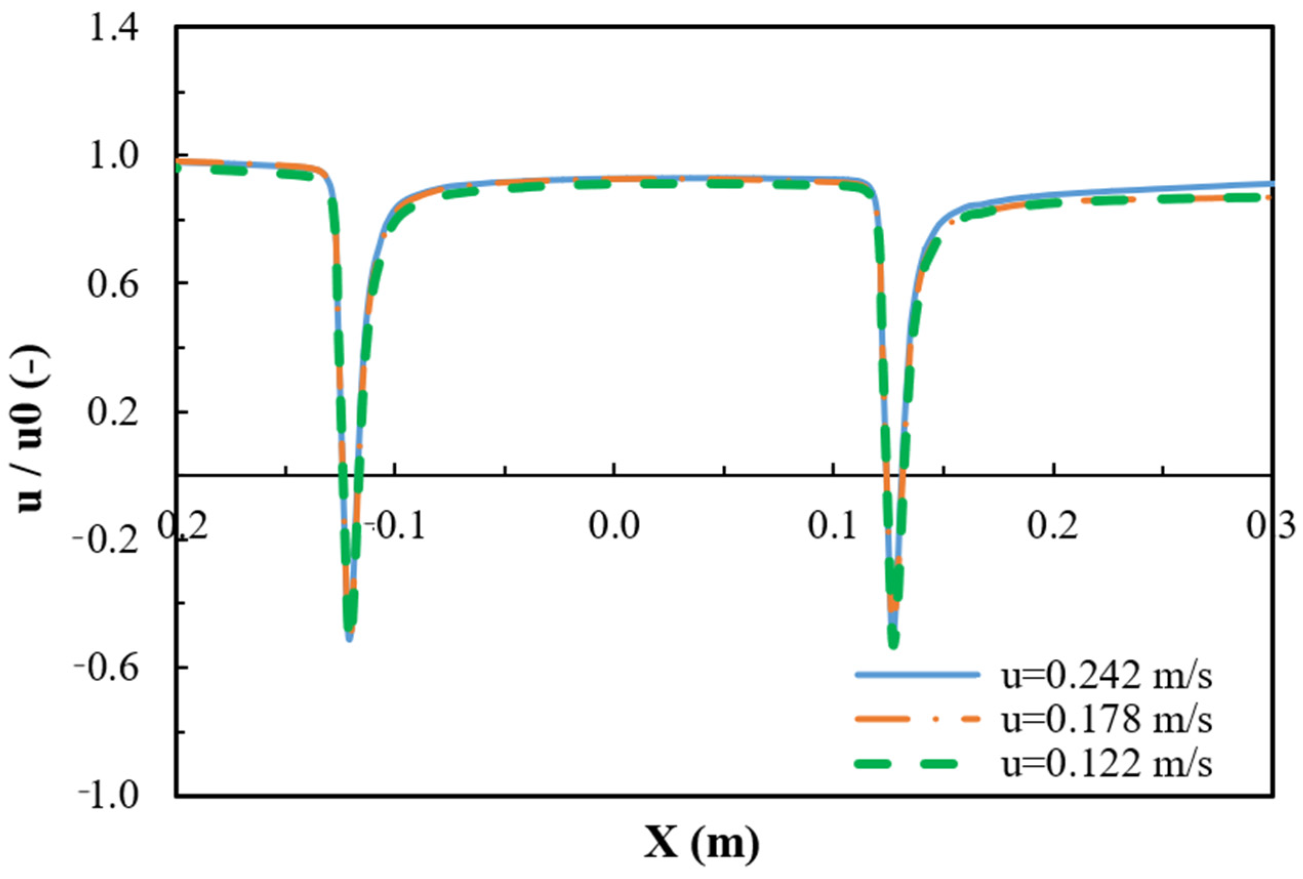
Flow velocity is an important parameter since it affects the fish’s behaviour, their health, and the structure motion. Figure 7 presents the dimensionless flow velocity in the mid-plane along the horizontal line y = −0.05 m for different incoming velocities.
As can be seen, the flow comes at a constant velocity until it encounters the front of the cage, where it drops to zero, leaving the net with the backflow. Inside the cage, it rapidly increases, never reaching the initial velocity, until it reencounters the cage, and the flow drops to zero again. This phenomenon is similar to the different incoming velocities. However, while the flow moves downstream from the cage, it behaves differently depending on the incoming velocities. A proportionality can be observed between the reduction in flow downstream from the net and the incoming velocity. For the higher incoming velocities, the flow stabilises quickly, reaching stability at 0.75 downstream from the centre of the cage. In contrast, the flow reduction maintains for the lower incoming velocities, only retrieving to its initial stage 2 m downstream from the centre of the cage.
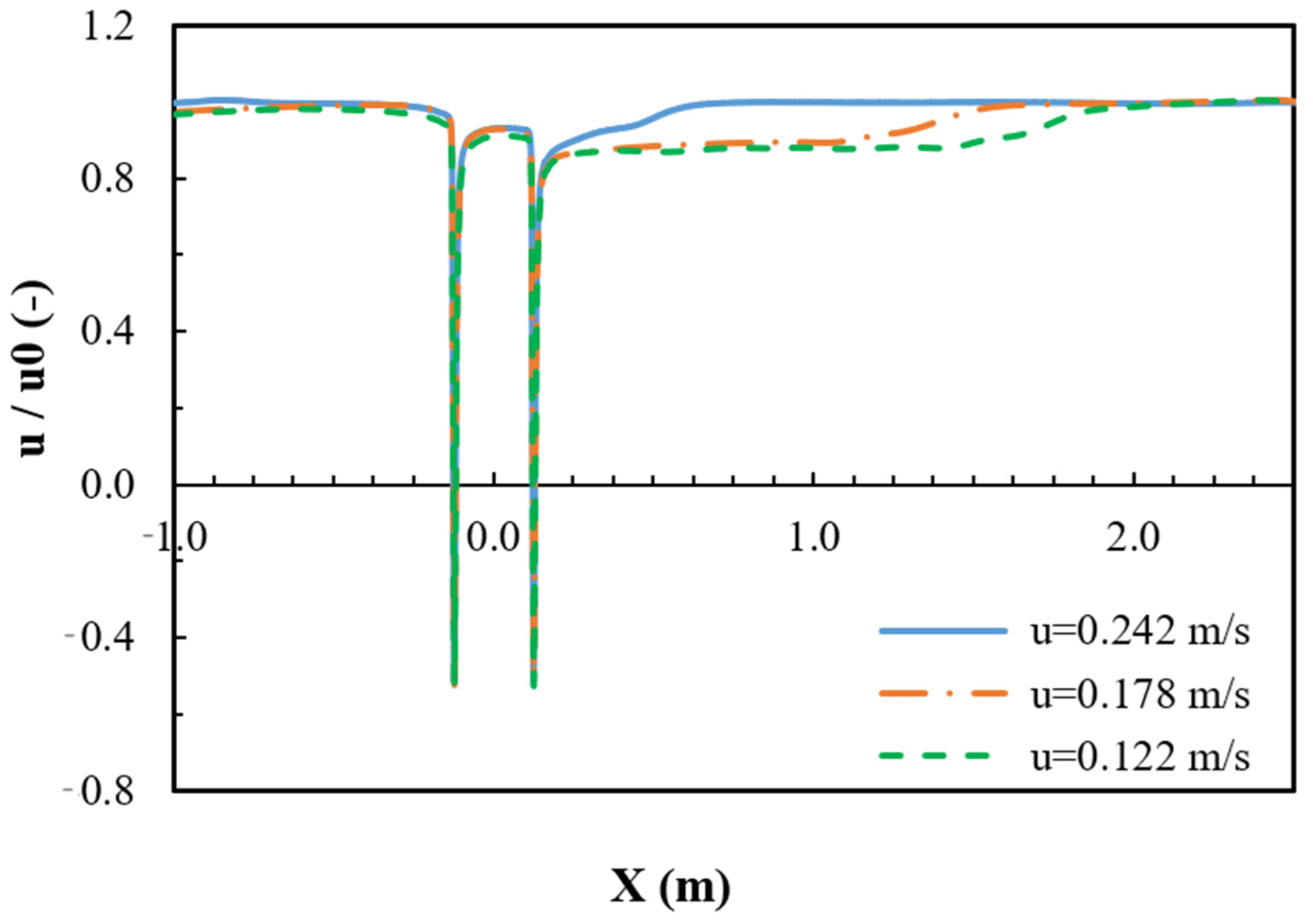
Figure 8 shows a more detailed view of the flow behaviour around the cage. It is possible to observe the negative flow after the fluid encounters the cage, which is the same phenomenon as the plane net. However, while in the plane net, the flow showed turbulence in this model, and the flow demonstrated smoother reactions to the encounter of the netting. It is also possible to observe that both around and inside the cage, the variation in incoming velocity has no significant effect on flow behaviour.
In Figure 9, the flow velocity inside the net cage for different current velocities can be observed for both the numerical model and the experimental results. The numerical simulation agrees well with the experimental data, presenting a maximum relative error of 6%. The flow velocity reduction inside the cage is noticeable for the different incoming velocities, delivering an average decrease of 7%. Nevertheless, the reduction does not have a significant change with the variations in incoming velocity.
A better visualisation of the flow behaviour can be observed in Figure 10, which represents the contour map of velocity u along the mid-plane (x, y) and horizontal plane y = −0.05 m for u0 = 0.242 m/s. It can immediately be observed that the cage blocks the flow, with its wake extending about half a metre downstream from the cage. In these detailed views, it becomes apparent that the overall flow reduction generated by the cage results from several backflow regions being generated behind the different cylinders that compose the net.
In the (x, y) plane, it can be observed in Figure 11 that the wake effect is more significant further in front of the free surface. It can also be viewed that the highest magnitude of flow velocity occurs as the flow surrounds the cage along the bottom. The flow along the y = −0.05 plane provides valuable insight to the study. It can be spotted in Figure 12 that the area in which the fluid encounters the net has a significant effect on flow reduction. This presents decreased flow reduction for the central and extremity areas and increased flow reduction for the zones in between. The difference in flow velocities that pass through the net generates low-pressure points, which consequently cause turbulence in the fluid. This phenomenon is consistent with the various current conditions. The influence of current velocity on the flow velocity magnitude inside and around the fish cage can be viewed in Figure 13. Compared to Figure 10, the flow magnitude is noticeable for an increased current velocity.

3.3. Deformation and Stress

Figure 14 compares the deformation of the fish cage net along the fluid plane (x, y) with the experimental results for three incoming velocities. The color “red” represents higher deformation while the color “blue” means lower deformation. It should be noted that these results present a continuation of the fluid model, and as such, errors obtained in the fluid model transitioned to the mechanical model. The deformation is compatible with the experimental results for the lowest current velocities. The maximum deformation is consistent, presenting a relative error of 6%, and the total deformation shape is similar. Some discrepancies can be contemplated for the higher current velocity, with the numerical model presenting more deformation than the experimental. However, the drag force previously obtained for this incoming velocity was also superior to the experimental, so the imported pressure is expected to have the same effect on cage deformation.
It is seen that for various incoming velocities, the deformation of the cage consistently demonstrates similarity, with the magnitude of deformation following a proportional trajectory relative to the incoming velocity. It is also noted that while the deformation in the experimental tests occurs along the x and y axes, the deformation in the proposed model only occurs on the x axis. This discordance may manifest due to the assumption of linear static analysis in the proposed model, which may oversimplify the simulation.
The total deformation along the cage for an incoming velocity of u0 = 0.242 m/s can be seen in Figure 15. The deformation follows a progressive path, starting with no deformation at the collar and increasing towards the bottom of the net, where the maximum deformation is located. This manifestation occurs due to the material’s free end and elastic properties. It was found that, for various incoming velocities, the deformation behaviour consistently demonstrates similarity, with the magnitude of deformation following a proportional trajectory relative to the incoming velocity.
In addition, the mechanical structural model was implemented for the different materials referenced in Table 3. Figure 16 and Figure 17 shows the average and maximum deformation on the net for different current velocities, respectively. Since the materials present similar elastic properties, the performance of the different materials at different conditions is similar, with PA6 and PE behaving equally. Although HPDE is not commonly used in netting, it deformed as the other referenced materials, presenting a silt increase in maximum and average deformation. The material that has much less deformation is PET, which outperformed the other materials substantially, as can be observed in Figure 16 and Figure 17. The results are consistent with the properties shown in Table 3, where the material PET has the largest Young modulus.
Figure 18 shows the von Mises stress distribution on the structure subjected to the current condition with u = 0.242 m/s. As seen, the material never surpasses the yield criteria, presenting always elastic behaviour for the highest current condition. For different current conditions and net materials, the distribution of stress is similar, with the lowest and highest points at the same position.

4. Conclusions

The one-way coupled numerical model was successfully implemented using ANSYS Fluent and Mechanical, enabling a detailed analysis of drag force, flow velocity, and the deformation of a gravity-type fish cage. The simulations provided valuable insights into fluid behaviour around the cage, with a consistent 7% flow reduction inside the cage across various incoming velocities. These results closely matched experimental data, with a maximum relative error of 6%. A clear proportional relationship was observed between flow reduction downstream of the cage and the incoming velocity, and the area where fluid first encounters the net significantly influenced flow behaviour. Deformation of the cage was also found to be proportional to incoming velocity, with the greatest deformation occurring at the cage’s bottom. Regarding net materials, PET showed significant benefits in minimising cage deformation.
The proposed numerical model proved effective and valid for simulating flow behaviour around a fish cage, demonstrating its utility in various analyses. However, some limitations were identified: the fluid model assumed no-slip walls with no deformation, overlooking the influence of structural deformation on flow velocity, and the structural model used linear analysis, neglecting mass contributions. Future work will focus on developing a two-way solver and incorporating wave effects to enhance the simulation’s application. Key improvements will include employing a dynamic mesh to simulate structural motion more accurately and integrating mass distribution in the structural analysis. These enhancements aim to improve the model’s accuracy and broaden its applicability in real-world scenarios.

Author Contributions

Conceptualisation, S.W. and C.G.S.; methodology, S.W., C.G.S. and M.D.V.; software, M.D.V. and S.W.; validation, M.D.V., S.W. and C.G.S.; formal analysis, M.D.V. and S.W.; investigation, M.D.V. and S.W; resources, M.D.V., S.W. and C.G.S.; data curation, M.D.V., S.W. and C.G.S.; writing—original draft preparation, M.D.V. and S.W.; writing—review and editing, M.D.V., S.W. and C.G.S.; visualisation, M.D.V. and S.W.; supervision, S.W. and C.G.S.; project administration, C.G.S.; funding acquisition, C.G.S. All authors have read and agreed to the published version of the manuscript.

Funding

This work was performed within the Strategic Research Plan of the Centre for Marine Technology and Ocean Engineering (CENTEC), which is financed by Portuguese Foundation for Science and Technology (Fundação para a Ciência e Tecnologia-FCT) under contract UIDB/UIDP/00134/2020.

Institutional Review Board Statement

Not applicable.

Informed Consent Statement

Not applicable.

Data Availability Statement

The data presented in this study are available on request from the corresponding author.

Conflicts of Interest

The authors declare no conflicts of interest.

References

  1. Xu, Z.; Qin, H. Fluid-structure interactions of cage based aquaculture: From structures to organisms. Ocean Eng. 2020, 217, 107961. [Google Scholar] [CrossRef]
  2. Zhao, Y.P.; Gui, F.; Xu, T.J.; Chen, X.F.; Cui, Y. Numerical analysis of dynamic behavior of a box-shaped net cage in pure waves and current. Appl. Ocean Res. 2013, 39, 158–167. [Google Scholar] [CrossRef]
  3. Tsarau, A.; Kristiansen, D. Application of FhSim for the analysis of environmental loads on a complete fish-farm system. In MARINE VIII: Proceedings of the VIII International Conference on Computational Methods in Marine Engineering, Göteborg, Sweden, 13–15 May 2019; CIMNE: Barcelona, Spain, 2019; pp. 271–284. [Google Scholar]
  4. Shaik, A.S.; Thuvanismail, N.; Vijayakumar, M.; Kumar, P. Numerical Investigation on Different Configurations of Offshore Fish Cages in Submerged Conditions Subjected to Regular Waves. J. Mar. Sci. Appl. 2023, 22, 445–455. [Google Scholar] [CrossRef]
  5. Zhang, X.; Fu, F.; Guo, J.; Qin, H.; Sun, Q.; Hu, Z. Numerical Simulation and On-Site Measurement of Dynamic Response of Flexible Marine Aquaculture Cages. J. Mar. Sci. Eng. 2024, 12, 1625. [Google Scholar] [CrossRef]
  6. Fredriksson, D.W.; Swift, M.R.; Irish, J.D.; Tsukrov, I.; Celikkol, B. Fish cage and mooring system dynamics using physical and numerical models with field measurements. Aquac. Eng. 2003, 27, 117–146. [Google Scholar] [CrossRef]
  7. Liu, Z.; Mohapatra, S.C.; Guedes Soares, C. Finite Element Analysis of the Effect of Currents on the Dynamics of a Moored Flexible Cylindrical Net Cage. JMSE 2021, 9, 159. [Google Scholar] [CrossRef]
  8. Tang, H.J.; Yang, R.Y.; Yao, H.C. Experimental and numerical investigations of a mooring line failure of an aquaculture net cage subjected to currents. Ocean. Eng. 2021, 238, 109707. [Google Scholar] [CrossRef]
  9. Dong, S.; Park, S.; Kitazawa, D.; Zhou, J.; Yoshida, T.; Li, Q. Model tests and full-scale sea trials for drag force and deformation of a marine aquaculture net cage. Ocean Eng. 2021, 240, 109941. [Google Scholar] [CrossRef]
  10. Nobakht-Kolur, F.; Zeinoddini, M.; Ghalebi, A. Hydrodynamic forces in marine-fouled floating aquaculture cages: Physical modelling under irregular waves. J. Fluids Struct. 2021, 105, 103331. [Google Scholar] [CrossRef]
  11. Liu, Z.; Guedes Soares, C. Experimental study of the behaviour of a circular gravity cage in linear waves. Aquac. Eng. 2022, 99, 102291. [Google Scholar] [CrossRef]
  12. Gansel, L.; Oppedal, F.; Birkevold, J.; Tuene, S. Drag forces and deformation of aquaculture cages-Full-scale towing tests in the field. Aquac. Eng. 2018, 81, 46–56. [Google Scholar] [CrossRef]
  13. Bi, C.W.; Zhao, Y.P.; Dong, G.H.; Xu, T.J.; Gui, F.K. Numerical simulation of the interaction between flow and flexible nets. J. Fluids Struct. 2014, 45, 180–201. [Google Scholar] [CrossRef]
  14. Chen, H.; Christensen, E.D. Development of a numerical model for fluid-structure interaction analysis of flow through and around an aquaculture net cage. Ocean Eng. 2017, 142, 597–615. [Google Scholar] [CrossRef]
  15. Ma, C.; Xie, S.; Bi, C.W.; Zhao, Y.P. Nonlinear dynamic analysis of aquaculture platforms in irregular waves based on Hilbert–Huang transform. J. Fluids Struct. 2023, 117, 103831. [Google Scholar] [CrossRef]
  16. Bui, C.M.; Ho, T.X.; Khieu, L.H. Numerical study of a flow over and through offshore fish cages. Ocean. Eng. 2020, 201, 107140. [Google Scholar] [CrossRef]
  17. Bi, C.W.; Zhao, Y.P.; Dong, G.H.; Zheng, Y.N.; Gui, F.K. A numerical analysis on the hydrodynamic characteristics of net cages using coupled fluid–structure interaction model. Aquac. Eng. 2014, 59, 1–12. [Google Scholar] [CrossRef]
  18. Cheng, H.; Aydemir, O.; Ong, M.C. Numerical Investigations on Wake Effects of Fish Cages. J. Offshore Mech. Arct. Eng. 2024, 146, 061301. [Google Scholar] [CrossRef]
  19. Aydemir, O.; Cheng, H.; Ong, M.C. A comparative study of two fish farm layouts under pure current conditions. Appl. Ocean Res. 2024, 148, 104025. [Google Scholar] [CrossRef]
  20. Cheng, H. Study on the Anti-Current Characteristics of a New Type Gravity Fish Cage and Design Optimising. Master Thesis, Ocean University of China, Qingdao, China, 2017. [Google Scholar]
  21. Faltinsen, O.M.; Shen, Y. Wave and Current Effects on Floating Fish Farms: Keynote Contribution for the International Workshop on Wave Loads and Motions of Ships and Offshore Structures, Harbin, China, 5–7 November, 2017. J. Mar. Sci. Appl. 2018, 17, 284–296. [Google Scholar] [CrossRef]
  22. Liu, Z.; Guedes Soares, C. Experimental and numerical studies on the effect of the reinforced tubes on the drag forces of a gravity cage system. Ocean Eng. 2024, 311, 118780. [Google Scholar] [CrossRef]
  23. Hu, K.; Fu, S.; Xu, Y.; Ma, L.; Chen, Y. Hydrodynamic response of multiple fish cages under wave loads. In International Conference on Offshore Mechanics and Arctic Engineering, San Francisco, CA, USA, 8–13 June 2014; American Society of Mechanical Engineers: Houston, TX, USA, 2014; Volume 45493, p. V007T05A013. [Google Scholar]
  24. Chen, Z.; Jiao, J.; Wang, Q.; Wang, S. CFD-FEM simulation of slamming loads on wedge structure with stiffeners considering hydroelasticity effects. J. Mar. Sci. Eng. 2022, 10, 1591. [Google Scholar] [CrossRef]
  25. Lin, H.; Luan, H.; Uzdin, A.M.; Zhang, S.; Wei, L.; Yang, L. A CFD-FEA coupled model for simulating dynamic response of offshore jacket platform under earthquake considering wind, wave, current and aftershock loads. Ocean. Eng. 2024, 300, 117481. [Google Scholar] [CrossRef]
  26. Luo, W.; Liu, W.; Chen, S.; Zou, Q.; Song, X. Development and Application of an FSI Model for Floating VAWT by Coupling CFD and FEA. J. Mar. Sci. Eng. 2024, 12, 683. [Google Scholar] [CrossRef]
  27. Balash, C.; Colbourne, B.; Bose, N.; Raman-Nair, W. Aquaculture Net Drag Force and Added Mass. Aquac. Eng. 2009, 41, 14–21. [Google Scholar] [CrossRef]
  28. Bi, C.W.; Zhao, Y.P.; Dong, G.H.; Wu, Z.M.; Zhang, Y.; Xu, T.J. Drag on and flow through the hydroid-fouled nets in currents. Ocean Eng. 2018, 161, 195–204. [Google Scholar] [CrossRef]
  29. Lader, P.; Dempster, T.; Fredheim, A.; Jensen, Ø. Current induced net deformations in full-scale sea-cages for Atlantic salmon (Salmo salar). Aquac. Eng. 2008, 38, 52–65. [Google Scholar] [CrossRef]
  30. Liu, L.; Kinoshita, T.; Wan, R.; Bao, W.; Itakura, H. Experimental investigation and analysis of hydrodynamic characteristics of a net panel oscillating in water. Ocean Eng. 2012, 47, 19–29. [Google Scholar] [CrossRef]
  31. Xu, T.J.; Dong, G.H.; Tang, M.F.; Liu, J.; Guo, W.J. Experimental analysis of hydrodynamic forces on net panel in extreme waves. Appl. Ocean Res. 2021, 107, 102495. [Google Scholar] [CrossRef]
Figure 1. Flowchart of the computational model. Left: FSI model; Right: CFD solver.
Figure 1. Flowchart of the computational model. Left: FSI model; Right: CFD solver.
Jmse 12 02268 g001
Figure 2. Configuration of fish cage studied and net detail.
Figure 2. Configuration of fish cage studied and net detail.
Jmse 12 02268 g002
Figure 3. Numerical setup of the simulation domain.
Figure 3. Numerical setup of the simulation domain.
Jmse 12 02268 g003
Figure 4. (a) Computational meshes in the domain and (b) the meshes around the fish cage.
Figure 4. (a) Computational meshes in the domain and (b) the meshes around the fish cage.
Jmse 12 02268 g004
Figure 5. Fish cage constraints in mechanical structural model.
Figure 5. Fish cage constraints in mechanical structural model.
Jmse 12 02268 g005
Figure 6. Drag force in net of fish cage.
Figure 6. Drag force in net of fish cage.
Jmse 12 02268 g006
Figure 7. Dimensionless flow velocity along the line y = −0.05 m.
Figure 7. Dimensionless flow velocity along the line y = −0.05 m.
Jmse 12 02268 g007
Figure 8. Detail of dimensionless flow velocity around the fish cage.
Figure 8. Detail of dimensionless flow velocity around the fish cage.
Jmse 12 02268 g008
Figure 9. Comparison of flow velocity inside the net cage of numerical model vs. experimental test.
Figure 9. Comparison of flow velocity inside the net cage of numerical model vs. experimental test.
Jmse 12 02268 g009
Figure 10. Flow representation in fluid domain of fish cage for u 0 = 0.242   m / s .
Figure 10. Flow representation in fluid domain of fish cage for u 0 = 0.242   m / s .
Jmse 12 02268 g010
Figure 11. Flow velocity distribution around cage in plane (x, y) for u0 = 0.242 m/s.
Figure 11. Flow velocity distribution around cage in plane (x, y) for u0 = 0.242 m/s.
Jmse 12 02268 g011
Figure 12. Flow velocity distribution around cage in plane y = −0.05 for u0 = 0.242 m/s.
Figure 12. Flow velocity distribution around cage in plane y = −0.05 for u0 = 0.242 m/s.
Jmse 12 02268 g012
Figure 13. Flow representation in the fluid domain for u 0 = 0.069   m / s .
Figure 13. Flow representation in the fluid domain for u 0 = 0.069   m / s .
Jmse 12 02268 g013
Figure 14. Deformation of fish cage in (x, y) plane, numerical model vs. experimental. (a) u0 = 0.122 m/s; (b) u0 = 0.178 m/s; (c) u0 = 0.242 m/s.
Figure 14. Deformation of fish cage in (x, y) plane, numerical model vs. experimental. (a) u0 = 0.122 m/s; (b) u0 = 0.178 m/s; (c) u0 = 0.242 m/s.
Jmse 12 02268 g014
Figure 15. Fish cage deformation for u0 = 0.242 m/s.
Figure 15. Fish cage deformation for u0 = 0.242 m/s.
Jmse 12 02268 g015
Figure 16. Average deformation for different net materials.
Figure 16. Average deformation for different net materials.
Jmse 12 02268 g016
Figure 17. Maximum deformation for different net materials.
Figure 17. Maximum deformation for different net materials.
Jmse 12 02268 g017
Figure 18. Von Mises stress in the cage for u = 0.242 m/s.
Figure 18. Von Mises stress in the cage for u = 0.242 m/s.
Jmse 12 02268 g018
Table 1. Main dimensions of the fish cage [28].
Table 1. Main dimensions of the fish cage [28].
ItemsParameterValueUnit
Top RingDiameter254 mm
Bar Diameter6.0 mm
MaterialSteel
Cylindrical netHeight160 mm
Mesh size20.0 mm
Twine diameter1.2 mm
Knot3.0 mm
MaterialPolyamide
Bottom ringDiameter254 mm
Mass in air8.0 g
Bar diameter1.0 mm
MaterialStainless steel
Table 2. Specifications of the fish cage mesh.
Table 2. Specifications of the fish cage mesh.
ParameterValue
Net element size0.2 mm
Collar element size0.5 mm
Body of Influence5.0 mm
Domain element size10.0 mm
Pinch Tolerance0.05 mm
Skewness>0.80675
Orthogonal quality<0.17498
Nodes8,095,423
Elements45,963,529
CPU time b50 h
b Note: the simulations were run on a PC with 4.20 GHz and 16.0 GB.
Table 3. Properties of net materials.
Table 3. Properties of net materials.
MaterialDensity [kg/m3]Young Modulus [MPa]Poisson RationYield Stress [MPa]
PA6114011110.349943.13
PE95011000.420025.00
HDPE958.510800.418328.39
PET133928980.388752.44
Disclaimer/Publisher’s Note: The statements, opinions and data contained in all publications are solely those of the individual author(s) and contributor(s) and not of MDPI and/or the editor(s). MDPI and/or the editor(s) disclaim responsibility for any injury to people or property resulting from any ideas, methods, instructions or products referred to in the content.

Share and Cite

MDPI and ACS Style

Viegas, M.D.; Wang, S.; Guedes Soares, C. One-Way CFD/FEM Analysis of a Fish Cage in Current Conditions. J. Mar. Sci. Eng. 2024, 12, 2268. https://doi.org/10.3390/jmse12122268

AMA Style

Viegas MD, Wang S, Guedes Soares C. One-Way CFD/FEM Analysis of a Fish Cage in Current Conditions. Journal of Marine Science and Engineering. 2024; 12(12):2268. https://doi.org/10.3390/jmse12122268

Chicago/Turabian Style

Viegas, Mariana D., Shan Wang, and C. Guedes Soares. 2024. "One-Way CFD/FEM Analysis of a Fish Cage in Current Conditions" Journal of Marine Science and Engineering 12, no. 12: 2268. https://doi.org/10.3390/jmse12122268

APA Style

Viegas, M. D., Wang, S., & Guedes Soares, C. (2024). One-Way CFD/FEM Analysis of a Fish Cage in Current Conditions. Journal of Marine Science and Engineering, 12(12), 2268. https://doi.org/10.3390/jmse12122268

Note that from the first issue of 2016, this journal uses article numbers instead of page numbers. See further details here.

Article Metrics

Back to TopTop