A Study on the Hydrodynamic Response Characteristics of Vessel-Shaped Cages Based on the Smoothed Particle Hydrodynamics Method
Abstract
1. Introduction
2. Numerical Methods
2.1. Governing Equations
2.2. Boundary Conditions and Time Integration
2.3. Fluid–Rigid Body Motion
2.4. MoorDyn+ Library
2.5. Coupling DualSPHysics–MoorDyn+
3. Validation and Simulation
3.1. Numerical Modeling of a Scaled Ship Type Net Box
3.2. Convergence Analysis
3.3. Simulations and Validations
4. Extension to Real-Scale Vessel-Shaped Fish Cage Simulations
4.1. Numerical Modeling of Real-Scale Vessel-Shaped Fish Cage
4.2. Dynamic Response and Mooring Force Analysis of Vessel-Shaped Fish Cage
4.2.1. Hydrodynamic Analysis of Vessel-Shaped Fish Cage Under Regular Waves
4.2.2. Effect of Mooring Length on Fish Cage
4.2.3. Effect of Buoy on Fish Cage
5. Discussion and Application
5.1. Motion of Fish Cage and Analysis of Errors
5.2. Ocean Testing
6. Conclusions
- The Smoothed Particle Hydrodynamics method demonstrates a strong consistency with the experimental results regarding the simulation of motion responses and the trends in mooring force changes for the reduced-scale vessel-shaped fish cage model under wave conditions. The discrepancy between the simulated and experimental motion results is maintained at approximately 6%, which is more precise than that achieved with traditional grid methods. This indicates that the SPH method can effectively predict the hydrodynamic characteristics of the scaled-down vessel-shaped fish cage.
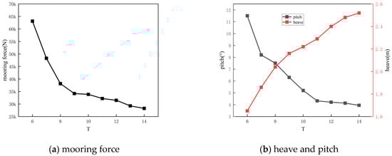
- The maximum force exerted on the mooring rope increases with wave height, while changes in the wave period have a less pronounced effect. Increasing the length of the anchor rope effectively reduces the peak mooring tension and slightly decreases both the maximum pitch angle and lift height of the vessel-shaped fish cage. Additionally, the maximum force on the anchor rope initially decreases and then increases as the float diameter increases, while it decreases as the float position moves away from the attachment point of the floating frame. If the float position is too far from the mooring point of the floating frame, it can lead to an increase in the pull-out anchor force, thereby raising the risk of the fish cage becoming unanchored.
- When simulating the actual size of a vessel-shaped fish cage, it is important to note that the simulation model is a rigid body model. As a result, the wave dynamics and the fish cage do not completely conform to the water surface. The flexible deformation of the floating tube causes the actual force data on the fish cage to be lower than the simulation data. In real-world conditions, the HDPE floating tube will exhibit significant deformation under external loads. Additionally, when wind, waves, and current directions are inconsistent, the fish cage experiences increased torque, making it susceptible to localized damage and potential losses. Therefore, future research should focus on investigating the deformation characteristics of the floating frame system and implementing reinforcement measures at points of maximum deformation to mitigate the risk of failure.
Author Contributions
Funding
Institutional Review Board Statement
Informed Consent Statement
Data Availability Statement
Conflicts of Interest
References
- Cai, R.; Liu, K.; Tan, H. The impact, risks, and adaptation strategies of climate change on China’s oceans and coastal zones. J. China Popul. Resour. Environ. 2020, 30, 1–8. Available online: https://kns.cnki.net/kcms2/article/abstract?v=YMwpULBJqz5chQ2GGb9JYuSrGGBPEV8UK6aIMg59099FvKx1HPqyhnNgIyK-0KStR_lp3DHkLImKnfECayVsen_zMLpO24QiMa-IOWnyXkVJD5g4Tp-9BhncSG8YL3l78FxbmuPJY3OjRZFFNi77ce3l0m1Q_4eGeUmAFtbAYT_OYqhfBcMGT3SJQ6vn9d9y97cRtTYHAm4=&uniplatform=NZKPT&language=CHS (accessed on 27 November 2024).
- Jun, C.C.; Zuo, S.L.; Jun, H.C. Structural analysis and design of single point mooring cage floating frame based on CFD simulation. Mar. Sci. 2020, 4, 116–123. Available online: https://kns.cnki.net/kcms2/article/abstract?v=YMwpULBJqz47rxQlr-rnqujZgo6rGcu98R4nAQdhd1ZBN0ThGJ9V6exOhtbmueDf54UKa79-w1mVHXVUkS1fetz7mznBlapHnHu-6K-qPALUYpkvFw2pMv_ZS0dOoFp1M_QfYGE3dEBh1bQd1amHfj8UVPNL6RgiWP_U86kpl24-QPkGR0oaC1-aJ5tWkVGplfSpsmB8hn4=&uniplatform=NZKPT&language=CHS (accessed on 27 November 2024).
- Li, L.; Jiang, Z.; Vangdal Høiland, A.; Chen Ong, M. Numerical Analysis of a Vessel-Shaped Offshore Fish Farm. J. Offshore Mech. Arct. Eng. 2018, 140, 041201. [Google Scholar] [CrossRef]
- Wang, S.; Yuan, T.; Yang, X.; Tao, Q.; Shen, W.; Hu, Y.; Huang, X. Frequency domain analysis of hydrodynamic characteristics of mariculture ship with truss and plate frame hybrid structure. South China Fish. Sci. 2021, 4, 82–90. [Google Scholar] [CrossRef]
- Huang, X.; Wang, F.; Liu, H.; Hu, Y.; Wang, Z.; Wang, S.; Zhao, Y. Effects of mooring systems and ballast status on dynamic behaviors of semi-submersible offshore fish farm. Trans. Chin. Soc. Agric. Eng. 2019, 15, 48–53. [Google Scholar] [CrossRef]
- Cui, Y.; Guan, C.; Qin, S. Hydrodynamic Characteristics of a Semisubmersible Aquaculture Cage under Waves. Prog. Fish. Sci. 2022, 43, 11–17. [Google Scholar] [CrossRef]
- Zhao, Y.; Guan, C.; Bi, C.; Liu, H.; Cui, Y. Experimental Investigations on Hydrodynamic Responses of a Semi-Submersible Offshore Fish Farm in Waves. J. Mar. Sci. Eng. 2019, 7, 238. [Google Scholar] [CrossRef]
- Zhang, F.; Zhang, L.; Xie, Y.; Wang, Z.; Shang, S. Smoothed Particle Hydrodynamics Simulation of a Mariculture Platform under Waves. Water 2021, 13, 2847. [Google Scholar] [CrossRef]
- Islam, M.; Sayeed, T. Smoothed Particle Hydrodynamics Modelling of Bergy Bit and Offshore Structure Interactions Due to Large Waves. J. Mar. Sci. Eng. 2024, 12, 1195. [Google Scholar] [CrossRef]
- Liu, Z.; Wang, Y. Numerical investigations and optimizations of typical submerged box-type floating breakwaters using SPH. Ocean Eng. 2020, 209, 107475. [Google Scholar] [CrossRef]
- El Rahi, J.; Martínez-Estévez, I.; Almeida Reis, R.; Tagliafierro, B.; Domínguez, J.M.; Crespo, A.J.C.; Stratigaki, V.; Suzuki, T.; Troch, P. Exploring Wave–Vegetation Interaction at Stem Scale: Analysis of the Coupled Flow–Structure Interactions Using the SPH-Based DualSPHysics Code and the FEA Module of Chrono. J. Mar. Sci. Eng. 2024, 12, 1120. [Google Scholar] [CrossRef]
- Tan, Z.; Sun, P.N.; Liu, N.N.; Li, Z.; Lyu, H.G.; Zhu, R.H. SPH simulation and experimental validation of the dynamic response of floating offshore wind turbines in waves. Renew. Energy 2023, 205, 393–409. [Google Scholar] [CrossRef]
- Cleary, P.W.; Rudman, M. Extreme wave interaction with a floating oil rig: Prediction using SPH. Prog. Comput. Fluid Dyn. 2009, 9, 332. [Google Scholar] [CrossRef]
- Shi, Q.; Zhao, D.; Xue, D.; Zhang, N.; Zhang, L.; Pan, Y. Numerical modelling of the interaction between flexible net panels and fluids using SPH method. Front. Mar. Sci. 2024, 11, 1365857. [Google Scholar] [CrossRef]
- González-Ávalos, R.; Martínez-Estévez, I.; Capasso, S.; Domínguez, J.M.; Gironella, X.; Altomare, C. Numerical modelling of copper alloy aquaculture net in currents with the Smoothed Particle Hydrodynamics method. Appl. Ocean Res. 2024, 151, 104151. [Google Scholar] [CrossRef]
- Liu, M.B.; Liu, G.R. Smoothed Particle Hydrodynamics (SPH): An Overview and Recent Developments. Arch. Comput. Methods Eng. 2010, 17, 25–76. [Google Scholar] [CrossRef]
- Wei, Z.; Edge, B.L.; Dalrymple, R.A.; Hérault, A. Modeling of wave energy converters by GPUSPH and Project Chrono. Ocean Eng. 2019, 183, 332–349. [Google Scholar] [CrossRef]
- Zhang, A.; Sun, P.; Ming, F.; Colagrossi, A. Smoothed particle hydrodynamics and its applications in fluid-structure interactions. J. Hydrodyn. 2017, 29, 187–216. [Google Scholar] [CrossRef]
- Long, T.; Hu, D.; Wan, D.; Zhuang, C.; Yang, G. An arbitrary boundary with ghost particles incorporated in coupled FEM–SPH model for FSI problems. J. Comput. Phys. 2017, 350, 166–183. [Google Scholar] [CrossRef]
- Wendland, H. Piecewise polynomial, positive definite and compactly supported radial functions of minimal degree. Adv. Comput. Math. 1995, 4, 389–396. [Google Scholar] [CrossRef]
- Monaghan, J.J. Smoothed particle hydrodynamics. Annu. Rev. Astron. Astrophys. 1992, 30, 543–574. [Google Scholar] [CrossRef]
- Altomare, C.; Crespo, A.J.; Domínguez, J.M.; Gómez-Gesteira, M.; Suzuki, T.; Verwaest, T. Applicability of Smoothed Particle Hydrodynamics for estimation of sea wave impact on coastal structures. Coast. Eng. 2015, 96, 1–12. [Google Scholar] [CrossRef]
- Monaghan, J.J.; Kos, A. Solitary waves on a Cretan beach. J. Waterw. Port Coast. Ocean Eng. 1999, 125, 145–155. [Google Scholar] [CrossRef]
- Hall, M.; Goupee, A. Validation of a lumped-mass mooring line model with DeepCwind semisubmersible model test data. Ocean Eng. 2015, 104, 590–603. [Google Scholar] [CrossRef]
- Morison, J.; Johnson, J.W.; Schaaf, S.A. The Force Exerted by Surface Waves on Piles. J. Petro. Tec. 1950, 2, 149–154. [Google Scholar] [CrossRef]
- Goudey, C.A.; Loverich, G.; Kite-Powell, H.; Costa-Pierce, B.A. Mitigating the environmental effects of mariculture through single-point moorings (SPMs) and drifting cages. ICES J. Mar. Sci. 2001, 58, 497–503. [Google Scholar] [CrossRef]
- Raaijmakers, R.M. The Influence of Mooring Lines on the Damping of Low Frequency Motions of Moored Offshore Structures. Master’s Thesis, Delft University of Technology, Delft, The Netherlands, 1995. Available online: http://resolver.tudelft.nl/uuid:0c78579c-a922-44cb-ab36-65a846f0ff53 (accessed on 15 December 1995).
- Rafiee, A.; Dutykh, D.; Dias, F. Numerical Simulation of Wave Impact on a Rigid Wall Using a Two-phase Compressible SPH Method. Procedia IUTAM 2015, 18, 123–137. [Google Scholar] [CrossRef]
- Khakimzyanov, G.; Dutykh, D. Long Wave Interaction with a Partially Immersed Body. Part I: Mathematical Models. Commun. Comput. Phys. 2019, 27, 321–378. [Google Scholar] [CrossRef]
- Khakimzyanov, G.; Dutykh, D. Numerical Modelling of Surface Water Wave Interaction with a Moving Wall. Commun. Comput. Phys. 2018, 23, 1289–1354. [Google Scholar] [CrossRef]
- Lalanne, C.; Rafiee, A.; Dutykh, D.; Lysaght, M.; Dias, F. Enabling the UCD-SPH Code on the Xeon Phi. 2014. Available online: http://hal.archives-ouvertes.fr/hal-00927227/ (accessed on 22 January 2014).

















| Parameter | Value | Unit |
|---|---|---|
| Length | 0.7 | m |
| Width | 0.22 | m |
| Diameter of inner float tube | 0.015 | m |
| Diameter of outer float tube | 0.015 | m |
| Material | resinous | / |
| Floating frame quality | 0.24 | kg/m |
| Parameter | Value | Unit |
|---|---|---|
| Material | 304 stainless steel | / |
| Elasticity modulus | 193 | Gpa |
| Density | 7.93 | g/cm3 |
| Mass per unit length | 0.32 | kg/m |
| Length1 | 0.55 | m |
| Length2 | 0.1 | m |
| Volume-equivalent diameter | 0.00404 | m |
| Parameter | Value | Unit |
|---|---|---|
| Line stiffness | 7.42 × 105 | N |
| Bottom stiffness constant | 3 × 106 | Pa/m |
| Bottom damping constant | 3 × 105 | Pa/m |
| Transverse added mass coefficient | 1 | / |
| Tangential added mass coefficient | 0 | / |
| Transverse drag coefficient | 1.6 | / |
| Tangential drag coefficient | 0.05 | / |
| Number of discrete nodes of mooring line | 35 | / |
| Component | Parameter | Value | Unit |
|---|---|---|---|
| Floating frame | Length | 76 | m |
| Width | 20 | m | |
| Head angle | 30 | ° | |
| Diameter of inner float tube | 0.315 | m | |
| Diameter of outer float tube | 0.315 | m | |
| Wall thickness of floating tube | 28.3 | mm | |
| Mass density | 952 | kg/m3 | |
| Armrest tube cross-section diameter | 110 | mm | |
| Wall thickness of armrest tube | 10 | mm | |
| I-shaped three-way pipe | 660 | mm | |
| I-shaped three-way pipe Spacing | 2.5 | m | |
| Standpipe length | 1.2 | m | |
| Material | HDPE | / | |
| Floating frame quality | 24.25 | kg/m | |
| Buoy | Caliber | 800 | mm |
| Material | PE | / | |
| Mooring line1 | Caliber | 70 | mm |
| Length | 60 | m | |
| Material | PE | / | |
| Mooring line2 | Caliber | 70 | mm |
| Length | 5 | m | |
| Material | PE | / |
| Wave Condition | Type | Period/s | Wave Height/m |
|---|---|---|---|
| 1 | Second-order Stokes wave | 6 | 4 |
| 2 | 7 | ||
| 3 | 8 | ||
| 4 | 9 | ||
| 5 | 10 | ||
| 6 | 11 | ||
| 7 | 12 | ||
| 8 | 13 | ||
| 9 | 14 |
| Wave Height/m | Period/s | Heave/m | Pitch/° |
|---|---|---|---|
| 4 | 12 | 2.4 | 4.2 |
| 5 | 2.8 | 7.9 | |
| 6 | 3.3 | 13.2 | |
| 4 | 6 | 1.65 | 11.5 |
| 9 | 2.16 | 6.3 | |
| 12 | 2.4 | 4.2 |
Disclaimer/Publisher’s Note: The statements, opinions and data contained in all publications are solely those of the individual author(s) and contributor(s) and not of MDPI and/or the editor(s). MDPI and/or the editor(s) disclaim responsibility for any injury to people or property resulting from any ideas, methods, instructions or products referred to in the content. |
© 2024 by the authors. Licensee MDPI, Basel, Switzerland. This article is an open access article distributed under the terms and conditions of the Creative Commons Attribution (CC BY) license (https://creativecommons.org/licenses/by/4.0/).
Share and Cite
Zhuo, Y.; Chen, J.; Bao, L.; Li, H.; Huang, F.; Jiang, C. A Study on the Hydrodynamic Response Characteristics of Vessel-Shaped Cages Based on the Smoothed Particle Hydrodynamics Method. J. Mar. Sci. Eng. 2024, 12, 2199. https://doi.org/10.3390/jmse12122199
Zhuo Y, Chen J, Bao L, Li H, Huang F, Jiang C. A Study on the Hydrodynamic Response Characteristics of Vessel-Shaped Cages Based on the Smoothed Particle Hydrodynamics Method. Journal of Marine Science and Engineering. 2024; 12(12):2199. https://doi.org/10.3390/jmse12122199
Chicago/Turabian StyleZhuo, Yue, Junhua Chen, Lingjie Bao, Hao Li, Fangping Huang, and Chuhua Jiang. 2024. "A Study on the Hydrodynamic Response Characteristics of Vessel-Shaped Cages Based on the Smoothed Particle Hydrodynamics Method" Journal of Marine Science and Engineering 12, no. 12: 2199. https://doi.org/10.3390/jmse12122199
APA StyleZhuo, Y., Chen, J., Bao, L., Li, H., Huang, F., & Jiang, C. (2024). A Study on the Hydrodynamic Response Characteristics of Vessel-Shaped Cages Based on the Smoothed Particle Hydrodynamics Method. Journal of Marine Science and Engineering, 12(12), 2199. https://doi.org/10.3390/jmse12122199

