Seepage–Diffusion Mechanism of Gas Kick Considering the Filtration Loss of Oil-Based Muds During Deepwater Drilling
Abstract
1. Introduction
2. Seepage–Diffusion Mechanism and Physical Model of Gas Kick
3. Mathematical Model of Seepage–Diffusion-Driven Gas Kick
3.1. Model Assumptions
3.2. Model Construction
3.2.1. Model of Seepage-Driven Gas Kick Considering Filtration Loss
3.2.2. Model of Diffusion-Driven Gas Kick Considering Filtration Loss
3.2.3. Model of Seepage–Diffusion-Driven Gas Kick
3.3. Auxiliary Equations
4. Evolution Pattern of Seepage–Diffusion-Driven Gas Kick
4.1. Model Validation and Case Study
4.2. Evolution Pattern and Sensitivity Analysis of Seepage-Driven Gas Kick
4.2.1. Distribution of Gas-Kick Volume in Wellbore Under Seepage Effect
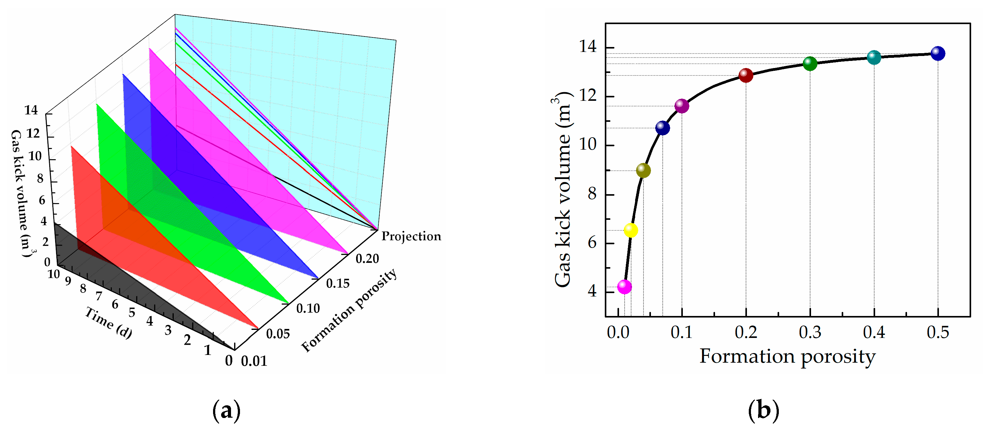
4.2.2. Effect of Formation Porosity on Seepage-Driven Gas Kick
4.2.3. Effect of Open-Hole Length on Seepage-Driven Gas Kick
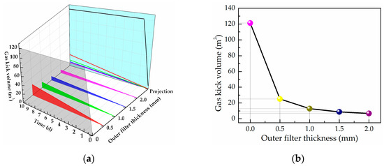
4.2.4. Effect of Drilling Fluid Filtration Loss on Seepage-Driven Gas Kick
4.3. Evolution Pattern and Sensitivity Analysis of Diffusion-Driven Gas Kick
4.3.1. Distribution of Gas-Kick Volume in Wellbore Under Diffusion Effect
4.3.2. Effect of Formation Porosity on Diffusion-Driven Gas Kick
4.3.3. Effect of Open-Hole Length on Diffusion-Driven Gas Kick
4.3.4. Effect of Drilling Fluid Filtration Loss on Diffusion-Driven Gas Kick
4.4. Evolution Pattern Under Seepage and Diffusion Effects
4.5. Summary and Model Limitation
5. Conclusions
- For permeable formations, a comprehensive model for calculating gas-kick volumes under the seepage–diffusion mechanism was established, which considered the synergistic effect of gas-concentration-diffusion and negative-differential-pressure, and mass transfer in both the filtrate zone and the filter-cake zone. It improves the prediction accuracy of the model
- For the diffusion-driven gas kick, the cumulative gas-kick volume in the wellbore increased with increasing formation porosity and open-hole length, while the thickness of the filter cake had a strong inhibitory effect.
- For the seepage-driven gas kick, the cumulative gas-kick volume in the wellbore also increased with increasing formation porosity and open-hole length. The filter-cake thickness inhibited the seepage-driven gas kick.
- The introduction of a “seepage–diffusion ratio” factor was beneficial for exploring the evolution pattern of gas kicks under the seepage–diffusion mechanism. Under specific case conditions, when the seepage–diffusion ratio was less than 1%, the diffusion-driven gas kick contributed more than the seepage-driven gas kick; when the seepage–diffusion ratio exceeded 1%, the negative-differential-pressure-driven gas kick contributed more. This ratio provides a valuable tool for understanding the relative contributions of seepage and diffusion mechanisms to overall gas kick.
Author Contributions
Funding
Institutional Review Board Statement
Informed Consent Statement
Data Availability Statement
Acknowledgments
Conflicts of Interest
Symbol Notation
| Cross-sectional area of the control unit, m2 | |
| Gas mass concentration, kg/m3 | |
| , , , , , | Gas mass concentrations in the unpolluted gas-bearing zone, at the boundary of the filtrate zone and the unpolluted gas-bearing zone, at the boundary of the drilling fluid zone and the outer filter cake, at the boundary of the outer and inner filter cakes, at the boundary of the filtrate zone and the inner filter cake, and in the drilling fluid zone, respectively, kg/m3 |
| Effective diffusion coefficient of the gas, m2/s | |
| Molecular diffusion coefficient of the gas, m2/s | |
| Thickness of the control unit, m | |
| Gas mass flow rate (mass diffusion flux), kg/s | |
| Gravitational acceleration, m/s2 | |
| Length of the open-hole section, m | |
| Formation permeability, m2 | |
| An overall seepage coefficient | |
| An overall diffusion coefficient | |
| Wellbore pressures at the bottom, Pa | |
| , | Wellbore pressures at positions and relative to the bottom, Pa |
| , , , | Pressures in the unpolluted gas-bearing zone, at the boundary between the outer and inner filter cakes, at the boundary between the inner filter cake and the filtrate zone, and at the boundary between the filtrate zone and the formation, respectively, Pa |
| , | Pressures under standard and formation conditions, respectively, Pa |
| Gas volumetric flow rate (volumetric diffusion flux) under standard conditions, m3/s | |
| Universal gas constant, J/(mol·K) | |
| Distance from the wellbore axis, m | |
| , , , , | Wellbore radius, outer radius of the outer filter cake, outer radius of the inner filter cake, outer radius of the filtrate zone, and outer radius of the formation, m |
| , | Temperatures under standard and formation conditions, K |
| , | Gas compressibility factors under standard and formation conditions |
| Angle between the wellbore and the fracture, | |
| Inertial drag coefficient caused by turbulence | |
| Gas seepage velocity, m/s | |
| Drilling fluid density, kg/m3 | |
| , | Gas densities under standard and formation conditions, kg/m3 |
| Gas viscosity, Pa·s | |
| Formation porosity | |
| Formation tortuosity |
Appendix A
References
- Elmgerbi, A.; Thonhauser, G. Holistic autonomous model for early detection of downhole drilling problems in real-time. Process Saf. Environ. Prot. 2022, 164, 418–434. [Google Scholar] [CrossRef]
- Jahanpeyma, Y.; Jamshidi, S. Two-phase simulation of well control methods for gas kicks in case of water and oil-based muds. J. Pet. Sci. Technol. 2018, 8, 34–48. [Google Scholar]
- Farahani, M.V.; Jahanpeyma, Y.; Taghikhani, V. Dynamic modeling and numerical simulation of gas lift performance in deviated oil well using the two-fluid model. In Proceedings of the 80th EAGE Conference and Exhibition, Copenhagen, Denmark, 10–15 June 2018. [Google Scholar]
- Zhang, J.; Wang, Z.; Lou, W.; Deng, X.; Zhong, J.; Sun, X.; Yin, B.; Sun, B. Research on methane hydrate formation in porous media with gas–water two-phase flow. Gas Sci. Eng. 2023, 110, 2–9. [Google Scholar] [CrossRef]
- Sun, B.; Wang, Z.; Gong, P.; Song, R. Application of a seven-component multiphase flow model to deepwater well control. Acta Pet. Sin. 2011, 32, 1042–1049. [Google Scholar]
- Eren, T. Kick tolerance calculations for drilling operations. J. Pet. Sci. Eng. 2018, 171, 558–569. [Google Scholar] [CrossRef]
- Nassab, K.; Ting, S.; Buapha, S.; MatNoh, N.; Hemmati, M. How to improve accuracy of a kick tolerance model by considering the effects of kick classification, frictional losses, pore pressure profile, and influx temperature. SPE Drill. Complet. 2021, 37, 15–25. [Google Scholar] [CrossRef]
- Rommetveit, R.; Vefring, E.H. Comparison of results from an advanced gas kick simulator with surface and downhole data from scale gas kick experiments in an inclined well. In Proceedings of the 66th Annual Technical Conference and Exhibition of the Society of Petroleum Engineers, Dallas, TX, USA, 6–9 October 1991. [Google Scholar]
- Miska, S.Z.; Samuel, G.R.; Azar, J.J. Modeling of pressure buildup on a kicking well and its practical application. SPE Drill. Complet. 1998, 13, 207–213. [Google Scholar] [CrossRef]
- Wang, J.; Wang, Y.; Gao, D.; Li, R.; Guo, L. Influence of auxiliary pipelines of the deepwater drilling riser on the dynamic characteristics of the subsea wellhead. J. Mar. Sci. Eng. 2023, 11, 1959. [Google Scholar] [CrossRef]
- Shu, G. Study on Coexistence of Leakage and Spray and Models During Drilling in Fractured Formation; Southwest Petroleum University: Chengdu, China, 2012. [Google Scholar]
- Li, D.; Kang, Y.; Liu, X. Progress in drilling fluid loss dynamics model for fractured formations. Pet. Drill. Tech. 2013, 41, 42–47. [Google Scholar]
- Li, D.; Liu, S.; Kang, Y. Dynamic behavior of drilling fluid leakage in naturally fractured formations. J. Southwest Pet. Univ. 2016, 38, 101–106. [Google Scholar]
- Zhang, X.; Zhou, Y.; Liu, W. Characters of gravity replacement gas kick in carbonate formation. Acta Pet. Sin. 2014, 35, 958–962. [Google Scholar]
- Zhang, X.; Zhou, Y.; Liu, W. A method for characterization and identification of gas kicks caused by underbalanced pressure and gravity displacement. J. China Univ. Pet. 2015, 39, 95–102. [Google Scholar]
- Zhou, Z. Study of Gas Kick Rule and Migration Model During Underbalance Drilling; Daqing Petroleum University: Daqing, China, 2010. [Google Scholar]
- Guo, Y.; Sun, B.; Gao, Y.; Li, H.; Wu, C. Gas kick during carbonate reservoirs drilling and its risk assessment. Pet. Explor. Dev. 2017, 44, 431–438. [Google Scholar] [CrossRef]
- Carlsen, L.A.; Nygaard, G.; Nikolaou, M. Evaluation of control methods for drilling operations with unexpected gas influx. J. Process Control. 2013, 23, 306–316. [Google Scholar] [CrossRef]
- Omrani, A.E.; Franchek, M.A.; Grigoriadis, K. Model-based early gas kick and well loss detection. In Proceedings of the IEEE 16th International Conference on Advanced Intelligent Mechatronics, Austin, TX, USA, 12–15 July 2016. [Google Scholar]
- Yuan, Z.; Wang, H.; Ge, Y. Research on modes of sour natural gas cut. Oil Drill. Prod. Technol. 2010, 32, 46–50. [Google Scholar]
- Jia, H.; Meng, Y.; LI, G. Research on well kick accompanied with lost circulation during drilling of gas formation with multi-pressure system. Fault-Block Oil Gas Field 2012, 19, 359–363. [Google Scholar]
- Wu, Z.; Shen, Z.; Yang, L. Research on gas diffusion during drilling in HPHT horizontal gas wells. Nat. Gas Ind. 2006, 26, 66–69. [Google Scholar]
- Wang, N.; Sun, B.; Liu, S. Quantitative calculation model of diffusion gas influx in wellbore. Acta Pet. Sin. 2017, 38, 1082–1090. [Google Scholar]
- Wan, T.; Wen, M.; Lu, H.; Li, Z.; Chen, Z.; Tian, L.; Li, Q.; Qu, J.; Wang, J. Numerical simulation of gas production behavior using radial lateral well and horizontal snake well depressurization mining of hydrate reservoir in the Shenhu Sea Area of the South China Sea. J. Mar. Sci. Eng. 2024, 12, 1204. [Google Scholar] [CrossRef]
- Wang, Y.; Gao, D.; Meng, C. Numerical simulation analysis on the lateral dynamic characteristics of deepwater conductor considering the pile-soil contact models. J. Mar. Sci. Eng. 2022, 10, 1540. [Google Scholar] [CrossRef]
- Sun, L.; Zou, C.; Zhu, R. Formation, distribution and potential of deep hydrocarbon resources in China. Pet. Explor. Dev. 2013, 40, 687–695. [Google Scholar] [CrossRef]
- Odiete, W.E. Modelling the effect of contamination on the rheological properties of cement slurry using oil-based mud as contaminant, to improve cementing job design and execution in the oil & gas industry. Eng. Technol. J. 2023, 8, 2601–2608. [Google Scholar]
- Wang, H.; Liu, X.; Geng, T. Functioning mechanism of and research progress in micro emulsion flushing fluid used in oil base mud drilling. Drill. Fluid Complet. Fluid 2015, 32, 96–100. [Google Scholar]
- Li, J.; Yang, P.; Guan, J. A new type of whole oil-based drilling fluid. Pet. Explor. Dev. 2014, 41, 538–544. [Google Scholar] [CrossRef]
- Yao, R.; Zhang, Z.; Peng, C. Status quo of methods for evaluating filtration performance and mud cake quality of drilling fluid. Drill. Fluid Complet. Fluid 2016, 33, 1–9. [Google Scholar]
- Farahani, M.V.; Soleimani, R.; Jamshidi, S.; Salehi, S. Development of a dynamic model for drilling fluid’s filtration: Implications to prevent formation damage. In Proceedings of the SPE International Symposium and Exhibition on Formation Damage Control, Lafayette, LA, USA, 26 February 2014. [Google Scholar]
- Smith, H. Transport Phenomena; Encyclopedia of Applied Physics: Weinheim, Germany, 2003. [Google Scholar]
- Dranchuk, P.M.; Purvis, R.A.; Robinson, D.B. Computer calculations of natural gas compressibility factors using the Standing and Katz correlation. Inst. Pet. Tech. Ser. 1974, 36, 76–80. [Google Scholar]
- Lee, A.; Gonzalez, M.; Eakin, B. The viscosity of natural gases. J. Pet. Technol. 1966, 18, 997–1000. [Google Scholar] [CrossRef]
- Fan, H.; Huang, Z.; Yuan, J. Experiment on solubility of CH4 and CO2 at high temperature and high pressure. J. China Univ. Pet. 2011, 35, 6–11. [Google Scholar]
- Obryan, P.L.; Bourgoyne, A.T.; Monger, T.G. An experimental study of gas solubility in oil-based drilling fluids. SPE Drill. Eng. 1988, 3, 33–42. [Google Scholar] [CrossRef]
- Bodwadkar, S.V.; Chenevert, M.E. Diffusion of gas in oil based drilling fluids. In SPE Production Operations Symposium; Society of Petroleum Engineers: Richardson, TX, USA, 1997. [Google Scholar]
- Sahimi, M.; Gavalas, G.R.; Tsotsis, T.T. Statistical and continuum models of fluid-solid reactions in porous media. Chem. Eng. Sci. 1990, 45, 1443–1502. [Google Scholar] [CrossRef]
- Kim, J.H.; Ochoa, J.A.; Whitaker, S. Diffusion in anisotropic porous media. Transp. Porous Media 1987, 2, 327–356. [Google Scholar] [CrossRef]
- Huang, S.; Lang, X.; Lan, Y. Porosity cutoff of porosity-permeability curve and the reservoir quality. J. Chengdu Univ. Technol. 2011, 38, 593–602. [Google Scholar]










| Geometric Parameter | Parameter Value |
|---|---|
| open-hole radius of wellbore (m) | 0.108 |
| outer radius of outer filter cake (m) | 0.109 |
| outer radius of inner filter cake (m) | 0.116 |
| outer radius of filtrate zone (m) | 0.128 |
| outer radius of gas-bearing formation (m) | 1000 |
| natural gas concentration in formation (kg/m3) | 180 |
| initial gas concentration in drilling fluid (kg/m3) | 0 |
| length of open-hole section (m) | 100 |
| bottomhole pressure (MPa) | 36.0 |
| formation pressure (MPa) | 36.5 |
| formation temperature (°C) | 100.2 |
| critical pressure of natural gas (MPa) | 4.59 |
| critical temperature of natural gas (°C) | −82.6 |
| drilling fluid density (kg/m3) | 1400 |
| Parameter | Outer Filter Cake | Inner Filter Cake | Filtrate Zone | Gas-Bearing Formation |
|---|---|---|---|---|
| porosity | 0.01 | 0.02 | 0.20 | 0.20 |
| tortuosity | 3 | 3 | 3 | 3 |
| molecular diffusion coefficient (m2/s) | 11 × 10−9 | 11 × 10−9 | 11 × 10−9 | 11 × 10−9 |
| Condition | Model | Gas-Kick Volume (m3) (10 min, a Short Time) | Gas-Kick Volume (m3) (10 d, a Long Time) | Type of Gas Kick | Source |
|---|---|---|---|---|---|
| condition 1 | Equation (4) | 0.00936 | 13.83 | diffusion-driven | reference [23] |
| Equation (30) | 0.00899 | 12.86 | diffusion-driven | this work | |
| condition 2 | Equation (2) | 0.00882 | 12.43 | seepage-driven | reference [16] |
| Equation (3) | 0.00865 | 11.96 | seepage-driven | reference [21] | |
| Equation (20) | 0.00874 | 12.59 | seepage-driven | this work | |
| Equation (32) | 0.00899 | 12.78 | seepage–diffusion-driven | this work |
| Parameter | Combination 1 | Combination 2 | Combination 3 | Combination 4 | Combination 5 |
|---|---|---|---|---|---|
| thickness of cake outer filter (mm) | 0 | 0.5 | 1.0 | 1.5 | 2.0 |
| thickness of cake inner filter (mm) | 0 | 3.5 | 7.0 | 10.5 | 14.0 |
| thickness of the filtrate zone (mm) | 0 | 6 | 12 | 18 | 24 |
| Parameters | Impact Type | Influence |
|---|---|---|
| seepage-driven gas kick | ||
| formation porosity | positive correlation | Increased porosity significantly raises gas-kick volume, especially when formation porosity exceeds filter-cake porosity. |
| open-hole length | positive correlation | Longer open-hole lengths increase gas-kick volume due to greater pressure differentials. |
| filter-cake thickness | negative correlation | Thicker filter cake reduces gas-kick volume by impeding flow. |
| diffusion-driven gas kick | ||
| formation porosity | positive correlation | Increased porosity significantly boosts gas-kick volume, especially at lower levels. |
| open-hole length | positive correlation | Longer open-hole sections raise gas-kick volume by exposing more formation. |
| filter-cake thickness | negative correlation | Thicker filter cake reduces gas diffusion, lowering gas-kick volume. |
| overall impact | ||
| seepage–diffusion ratio (λ) | When λ < 1%, diffusion-driven gas kick dominates. when λ > 1%, seepage-driven gas kick dominates. |
Disclaimer/Publisher’s Note: The statements, opinions and data contained in all publications are solely those of the individual author(s) and contributor(s) and not of MDPI and/or the editor(s). MDPI and/or the editor(s) disclaim responsibility for any injury to people or property resulting from any ideas, methods, instructions or products referred to in the content. |
© 2024 by the authors. Licensee MDPI, Basel, Switzerland. This article is an open access article distributed under the terms and conditions of the Creative Commons Attribution (CC BY) license (https://creativecommons.org/licenses/by/4.0/).
Share and Cite
Guo, Y.; Liu, W.; Song, C.; Gong, Q.; Teng, Y. Seepage–Diffusion Mechanism of Gas Kick Considering the Filtration Loss of Oil-Based Muds During Deepwater Drilling. J. Mar. Sci. Eng. 2024, 12, 2035. https://doi.org/10.3390/jmse12112035
Guo Y, Liu W, Song C, Gong Q, Teng Y. Seepage–Diffusion Mechanism of Gas Kick Considering the Filtration Loss of Oil-Based Muds During Deepwater Drilling. Journal of Marine Science and Engineering. 2024; 12(11):2035. https://doi.org/10.3390/jmse12112035
Chicago/Turabian StyleGuo, Yanli, Weiqi Liu, Chaojie Song, Qingtao Gong, and Yao Teng. 2024. "Seepage–Diffusion Mechanism of Gas Kick Considering the Filtration Loss of Oil-Based Muds During Deepwater Drilling" Journal of Marine Science and Engineering 12, no. 11: 2035. https://doi.org/10.3390/jmse12112035
APA StyleGuo, Y., Liu, W., Song, C., Gong, Q., & Teng, Y. (2024). Seepage–Diffusion Mechanism of Gas Kick Considering the Filtration Loss of Oil-Based Muds During Deepwater Drilling. Journal of Marine Science and Engineering, 12(11), 2035. https://doi.org/10.3390/jmse12112035

