Patterns in Anthropogenic Nitrogen and Water Quality Leading to Phytoplankton Blooms in Urban Estuaries
Abstract
1. Introduction
2. Materials and Methods
2.1. Data Sources
2.2. Analytical Protocols
2.3. Fitting Data
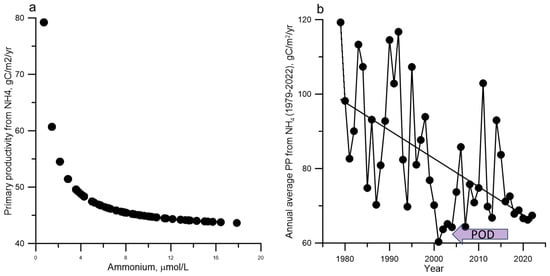
3. Results
4. Discussion
Author Contributions
Funding
Data Availability Statement
Acknowledgments
Conflicts of Interest
References
- Jassby, A. Phytoplankton in the upper San Francisco Estuary: Recent biomass trends, their causes and their trophic significance. San Franc. Estuary Watershed Sci. 2008, 6, 1–26. [Google Scholar]
- Cloern, J.E. Our evolving conceptual model of the coastal eutrophication problem. Mar. Ecol. Prog. Ser. 2001, 210, 223–253. [Google Scholar] [CrossRef]
- Sharp, J.H. Marine and aquatic communities, stress from eutrophication. In Encyclopedia of Biodiversity; Levine, S., Ed.; Academic Press: Amsterdam, The Netherlands, 2001; Volume 4, pp. 1–11. [Google Scholar]
- Ball, M.D.; Arthur, J.F. Planktonic chlorophyll dynamics in the Northern San Francisco Bay and Delta. In San Francisco Bay: The Urbanized Estuary; Conomos, T.J., Ed.; Pacific Division of the American Association for the Advancement of Science: San Francisco, CA, USA, 1979; pp. 265–286. [Google Scholar]
- Wilkerson, F.P.; Dugdale, R.C.; Hogue, V.E.; Marchi, A. Phytoplankton blooms and nitrogen productivity in San Francisco Bay. Estuaries Coasts 2006, 29, 401–416. [Google Scholar] [CrossRef]
- Kimmerer, W.J.; Parker, A.E.; Lidström, U.E.; Carpenter, E.J. Short-term and interannual variability in primary production in the low-salinity zone of the San Francisco Estuary. Estuaries Coasts 2012, 35, 913–929. [Google Scholar] [CrossRef][Green Version]
- Dugdale, R.; Wilkerson, F.; Parker, A.E.; Marchi, A.; Taberski, K. River flow and ammonium discharge determine spring phytoplankton blooms in an urbanized estuary. Estuar. Coast. Shelf Sci. 2012, 115, 187–199. [Google Scholar] [CrossRef]
- Jungbluth, M.; Lee, C.; Patel, C.; Ignoffo, T.; Bergamaschi, B.; Kimmerer, W. Production of the copepod Pseudodiaptomus forbesi is not enhanced by ingestion of the diatom Aulacoseira granulata during a bloom. Estuaries Coasts 2021, 44, 1083–1099. [Google Scholar] [CrossRef]
- Glibert, P.M. Long-term changes in nutrient loading and stoichiometry and their relationships with changes in the food web and dominant pelagic fish species in the San Francisco Estuary, California. Rev. Fish. Sci. 2010, 18, 211–232. [Google Scholar] [CrossRef]
- Lehman, P. The increase of cyanobacteria and benthic diatoms over 43 years in upper San Francisco Estuary, California. Estuar. Coast. Shelf Sci. 2022, 275, 107988. [Google Scholar] [CrossRef]
- Sommer, T.R.; Armor, C.; Baxter, R.; Breuer, R.; Brown, L.; Chotkowski, M.; Culberson, S.; Feyrer, F.; Gingas, M.; Herbold, B.; et al. The collapse of pelagic fishes in the upper San Francisco Estuary. Fisheries 2007, 32, 270–277. [Google Scholar] [CrossRef]
- Jassby, A.D.; Cloern, J.E.; Cole, B.E. Annual primary production: Patterns and mechanisms of change in a nutrient-rich tidal ecosystem. Limnol. Oceanogr. 2002, 47, 698–712. [Google Scholar] [CrossRef]
- Cloern, J.E. Turbidity as a control on phytoplankton biomass and productivity in estuaries. Cont. Shelf Res. 1987, 7, 1367–1381. [Google Scholar] [CrossRef]
- Carlton, J.T.; Thompson, J.K.; Schemel, L.E.; Nichols, F.H. Remarkable invasion of San Francisco Bay (California, USA) by the Asian clam, Potamocorbula amurensis. 1. Invasion and dispersal. Mar. Ecol. Prog. Ser. 1990, 66, 81–94. [Google Scholar] [CrossRef]
- Glibert, P.M.; Fullerton, D.; Burkholder, J.M.; Cornwell, J.; Kana, T.M. Ecological stoichiometry, biogeochemical cycling, invasive species, and aquatic food webs: San Francisco Estuary and comparative systems. Rev. Fish. Sci. 2011, 19, 358–417. [Google Scholar] [CrossRef]
- Glibert, P.M.; Wilkerson, F.P.; Dugdale, R.C.; Parker, A.E. Ecosystem recovery in progress? Initial nutrient and phytoplankton response to nitrogen reduction from sewage treatment upgrade in the San Francisco Bay Delta. Nitrogen 2022, 3, 569–591. [Google Scholar] [CrossRef]
- Yoshiyama, K.; Sharp, J.H. Phytoplankton response to nutrient enrichment in an urbanized estuary: Apparent inhibition of primary production by overeutrophication. Limnol. Oceanogr. 2006, 51, 424–434. [Google Scholar] [CrossRef]
- Waiser, M.J.; Tumber, V.; Holm, J. Effluent-dominated streams. Part 1: Presence and effects of excess nitrogen and phosphorus in Wascana Creek, Saskatchewan, Canada. Environ. Toxicol. Chem. 2010, 30, 496–507. [Google Scholar] [CrossRef]
- MacIsaac, J.J.; Dugdale, R.C.; Huntsman, S.A.; Conway, H.L. The effect of sewage on uptake of inorganic nitrogen and carbon by natural populations of marine phytoplankton. J. Mar. Sci. 1979, 37, 51–66. [Google Scholar]
- Parker, A.E.; Dugdale, R.C.; Wilkerson, F.P. Elevated ammonium concentrations from wastewater discharge depress primary productivity in the Sacramento River and the northern San Francisco Estuary. Mar. Pollut. Bull. 2012, 64, 574–586. [Google Scholar] [CrossRef]
- Xu, J.; Glibert, P.M.; Liu, H.; Yin, K.; Yuan, X.; Chen, M.; Harrison, P.J. Nitrogen sources and rates of phytoplankton uptake in different regions of Hong Kong waters in summer. Estuaries Coasts 2012, 35, 559–571. [Google Scholar] [CrossRef]
- Dugdale, R.C.; Wilkerson, F.P.; Hogue, V.E.; Marchi, A. The role of ammonium and nitrate in spring bloom development in San Francisco Bay. Estuar. Coast. Shelf Sci. 2007, 73, 17–29. [Google Scholar] [CrossRef]
- Parker, A.E.; Hogue, V.E.; Wilkerson, F.P.; Dugdale, R.C. Inorganic nitrogen speciation and phytoplankton growth in the high nutrient, low chlorophyll San Francisco Estuary. Estuar. Coast. Shelf Sci. 2012, 104–105, 91–101. [Google Scholar] [CrossRef]
- Wilkerson, F.P.; Dugdale, R.C. The ammonium paradox of a high nutrient low chlorophyll estuary. In Aquatic Microbial Ecology and Biogeochemistry: A Dual Perspective; Glibert, P.M., Kana, T.M., Eds.; Springer: Berlin/Heidelberg, Germany, 2016; pp. 117–126. [Google Scholar]
- Cochlan, W.P.; Harrison, P.J. Inhibition of nitrate uptake by ammonium and urea in the eucaryotic picoflagellate Micromonas pusilla (Butcher) Manton et Parke. J. Exp. Mar. Biol. Ecol. 1991, 153, 143–152. [Google Scholar] [CrossRef]
- Wilkerson, F.P.; Dugdale, R.C.; Parker, A.E.; Blaser, S.B.; Pimenta, A. Nutrient uptake and primary productivity in an urban estuary: Using rate measurements to evaluate phytoplankton response to different hydrological and nutrient conditions. Aquat. Ecol. 2015, 49, 211–233. [Google Scholar] [CrossRef]
- Gerendas, J.; Zhu, Z.; Bendixen, R.; Ratcliffe, R.G.; Sattelmacher, B. Physiological and bio- chemical processes related to ammonium toxicity in higher plants. Z. Pflanzenernährung Bodenkd. 1997, 160, 239–251. [Google Scholar] [CrossRef]
- Britto, D.T.; Kronzucker, H.J. Ecological significance and complexity of N-source preference in plants. Ann. Bot. 2013, 112, 957–963. [Google Scholar] [CrossRef]
- Glibert, P.M.; Dugdale, R.C.; Wilkerson, F.; Parker, A.E.; Alexander, J.; Antell, E.; Blaser, S.; Johnson, A.; Lee, J.; Lee, T.; et al. Major—But rare—Spring blooms in San Francisco Bay Delta, California, a result of the long-term drought, increased residence times, and altered nutrient loads and forms. J. Exp. Mar. Biol. Ecol. 2014, 460, 8–18. [Google Scholar] [CrossRef]
- Cloern, J.E.; Jassby, A.D. Drivers of change in estuarine–coastal ecosystems: Discoveries from four decades of study in San Francisco Bay. Rev. Geophys. 2012, 50, 1–33. [Google Scholar] [CrossRef]
- Nixon, S.W. Physical energy inputs and the comparative ecology of lake and marine ecosystems. Limnol. Oceanogr. 1988, 33, 1005–1025. [Google Scholar] [CrossRef]
- Whitledge, T.E.; Malloy, S.C.; Patton, C.J.; Winck, C.D. Automated Nutrient Analyses in Seawater; Department of Energy and Environment, Brookhaven National Laboratory: Upton, NY, USA, 1981. [Google Scholar]
- Bran Luebbe, Inc. Bran Luebbe AutoAnalyzer Applications; AutoAnalyzer Method No. G-172-96 Nitrate and Nitrite in Water and Seawater; Bran Luebbe, Inc.: Buffalo Grove, IL, USA, 1999. [Google Scholar]
- Solorzano, L. Determination of ammonia in natural waters by the phenolhypochlorite method. Limnol. Oceanogr. 1969, 14, 799–801. [Google Scholar]
- Arar, E.; Collins, G.B. In vitro determination of chlorophyll a and phaeophytin in marine and freshwater phytoplankton by fluorescence. In USEPA Methods for Determination of Chemical Substances in Marine and Estuarine Environmental Samples; USEPA: Cincinnati, OH, USA, 1992. [Google Scholar]
- Holm-Hansen, O.; Lorenzen, C.J.; Holmes, R.W.; Strickland, J.D.H. Fluorometric determination of chlorophyll. J. Cons. Perm. Int. l’Exploration Mer 1965, 30, 3–5. [Google Scholar] [CrossRef]
- Friederich, G.E.; Walz, P.M.; Burczynski, M.G.; Chavez, F.P. Inorganic carbon in the central California upwelling system during the 1997–1999 El Niño-La Niña event. Prog. Oceanogr. 2002, 54, 185–203. [Google Scholar] [CrossRef]
- Parker, A.; Fuller, J.; Dugdale, R.C. Estimating dissolved inorganic carbon concentrations from salinity in San Francisco Bay for use in 14C-primary production studies. Interag. Ecol. Program San Franc. Estuary Newsl. 2006, 19, 17–22. [Google Scholar]
- Slawyk, G.; Collos, Y.; Auclair, J.C. The use of the 13C and 15N isotopes for the simultaneous measurement of carbon and nitrogen turnover rates in marine phytoplankton. Limnol. Oceanogr. 1977, 22, 925–932. [Google Scholar] [CrossRef]
- Parker, A.E. Differential supply of autochthonous organic carbon and nitrogen to the microbial loop of the Delaware Estuary. Estuaries 2005, 286, 856–867. [Google Scholar] [CrossRef]
- Dugdale, R.C.; Wilkerson, F.P. The use of 15N to measure nitrogen uptake in eutrophic oceans: Experimental considerations. Limnol. Oceanogr. 1986, 31, 673–689. [Google Scholar] [CrossRef]
- Legendre, L.; Gosselin, M. Estimation of N or C uptake rates by phytoplankton using 15N or 13C: Revisiting the usual computation formulae. J. Plankton Res. 1996, 19, 263–271. [Google Scholar] [CrossRef][Green Version]
- Houde, E.D.; Rutherford, E.S. Recent trends in estuarine fisheries: Predictions of fish production and yield. Estuaries 1993, 16, 161–176. [Google Scholar] [CrossRef]
- Downing, J.A.; Plante, C.; Lalonde, S. Fish production correlated with primary productivity, not the morphoedaphic index. Can. J. Fish. Aquat. Sci. 1990, 47, 1929–1936. [Google Scholar] [CrossRef]
- Iverson, R.L. Control of marine fish production. Limnol. Oceanogr. 1990, 35, 1593–1604. [Google Scholar] [CrossRef]
- Sommer, T.; Mejia, F. A place to call home: A synthesis of Delta Smelt habitat in the upper San Francisco Estuary. San Franc. Estuary Watershed Sci. 2013, 11, 1–25. [Google Scholar] [CrossRef]
- Wheeler, P.A.; Kokkinakis, S.A. Ammonium recycling limits nitrate use in the oceanic subarctic Pacific. Limnol. Oceanogr. 1990, 35, 1267–1278. [Google Scholar] [CrossRef]
- Varela, D.E.; Harrison, P.J. Effect of ammonium on nitrate utilization by Emiliania huxleyi, a coccolithophore from the oceanic northeastern Pacific. Mar. Ecol. Prog. Ser. 1999, 186, 67–74. [Google Scholar] [CrossRef]
- Glibert, P.M.; Wilkerson, F.P.; Dugdale, R.C.; Raven, J.A.; Dupont, C.L.; Leavitt, P.R.; Parker, A.E.; Burkholder, J.M.; Kana, T.M. Pluses and minuses of ammonium and nitrate uptake and assimilation by phytoplankton and implications for productivity and community composition, with emphasis on nitrogen-enriched conditions. Limnol. Oceanogr. 2016, 61, 165–197. [Google Scholar] [CrossRef]
- Cloern, J.E.; Schraga, T.S.; Nejad, E.; Martin, C. Nutrient status of San Francisco Bay and its management implications. Estuaries Coasts 2020, 43, 1299–1317. [Google Scholar] [CrossRef]
- Sutula, M.; Kudela, R.K.; Hagy, J.D., III; Harding, L.W., Jr.; Senn, D.; Cloern, J.E.; Bricker, S.; Berg, G.M. Novel analyses of long-term data provide a scientific basis for chlorophyll-a thresholds in San Francisco Bay. Estuar. Coast. Shelf Sci. 2017, 197, 107–118. [Google Scholar] [CrossRef]
- Cloern, J.E.; Alpine, A.E.; Cole, B.E.; Wong, R.L.; Arthur, J.F.; Ball, M.D. River discharge controls phytoplankton dynamics in the northern San Francisco Bay estuary. Estuar. Coast. Shelf Sci. 1983, 16, 415–429. [Google Scholar] [CrossRef]
- Lee, J.; Parker, A.E.; Wilkerson, F.P.; Dugdale, R.C. Uptake and inhibition kinetics of nitrogen in Microcystis aeruginosa: Results from cultures and field assemblages collected in the San Francisco Bay Delta, CA. Harmful Algae 2015, 47, 126–140. [Google Scholar] [CrossRef]
- Herndon, J.; Cochlan, W.P. Nitrogen utilization by the raphidophyte Heterosigma akashiwo: Growth and uptake kinetics in laboratory cultures. Harmful Algae 2007, 6, 260–270. [Google Scholar] [CrossRef]
- Pennock, J.R. Temporal and spatial variability in phytoplankton ammonium and nitrate uptake in the Delaware Estuary. Estuar. Coast. Shelf Sci. 1987, 24, 841–857. [Google Scholar] [CrossRef]
- Richardson, E.T.; Hansen, A.M.; Kraus, T.E.; Downing, B.D.; Forsberg, D.; Stillian, J.; O’Donnell, K.; Sturgeon, C.L.; Bergamaschi, B.A. A novel boat-based field application of a high-frequency conductometric ammonium analyzer to characterize spatial variation in aquatic ecosystems. Limnol. Oceanogr. Methods 2023, 21, 761–774. [Google Scholar] [CrossRef]












| Study Name | Location | Date | Data |
|---|---|---|---|
| Nutrient Ratio (NUR) project | Transects from above Sacramento to Carquinez Straits | March or Sept. 2011, 2012, 2013, and 2014 | ρNO3, ρC, chl, NH4 |
| HICO | Transect from I80 to bottom of South Bay (Sta US36) | May 2016 | ρNO3, ρC, chl, NH4 |
| EOS Seawall | Tiburon | 2021 and 2022 | chl, NH4 |
| USGS data | Golden Gate to Lower South Bay | 2022 | chl, NH4 |
| Heterosigma | San Pablo Bay to South Bay | Aug to Oct 2022 | ρNO3, ρC, chl, NH4 |
| D7 surface from SWAMP, HICO, NUR | D7 | Spring 2011, 2012, 2013, 2014, 2015, and 2016 | ρNO3, ρC, chl, NH4 |
| D7 integrated from SWAMP Project | D7 | 2011 and 2012 | Int ρC |
| DWR-EMP D7 40-year time series | D7 | 1980–2022 | NH4 |
| Ball and Arthur | D7 | 1979 | chl, NH4 |
| Study Name and Data | r2 | A | C | n |
|---|---|---|---|---|
| Nutrient Ratio—ρNO3 | 0.76 | 1.0 | 0.01 | 100 |
| —ρC | 0.68 | 1.5 | 0.44 | 105 |
| —chlorophyll | 0.62 | 1.0 | 2.7 | 106 |
| HICO—ρNO3 | 0.90 | 0.3 | 0 | 33 |
| —ρC | 0.90 | 0.4 | 0.43 | 33 |
| —chlorophyll | 0.95 | 0.3 | 3.9 | 33 |
| Seawall 2022—chlorophyll | 0.97 | 0.4 | 4.4 | 36 |
| USGS 2022—chlorophyll | 0.92 | 1.3 | 5.7 | 187 |
| Heterosigma—ρNO3 | 0.76 | 0.2 | 0.04 | 35 |
| —ρC | 0.80 | 3.9 | 0.77 | 35 |
| —chlorophyll | 0.67 | 0.3 | 5.0 | 35 |
| D7 (2014-16)—ρNO3 | 0.82 | 3.1 | 0.02 | 34 |
| —ρC | 0.78 | 1.9 | 0.45 | 32 |
| —chlorophyll | 0.90 | 3.3 | 6.0 | 34 |
| D7 (2011, 2012)—integrated ρC | 0.95 | 3.4 | 42.0 | 24 |
| Compiled dataset—ρNO3 | 0.67 | 3.3 | 0.02 | 202 |
| —ρC | 0.72 | 3.4 | 0.62 | 206 |
| —chlorophyll | 0.70 | 2.3 | 6.0 | 432 |
Disclaimer/Publisher’s Note: The statements, opinions and data contained in all publications are solely those of the individual author(s) and contributor(s) and not of MDPI and/or the editor(s). MDPI and/or the editor(s) disclaim responsibility for any injury to people or property resulting from any ideas, methods, instructions or products referred to in the content. |
© 2024 by the authors. Licensee MDPI, Basel, Switzerland. This article is an open access article distributed under the terms and conditions of the Creative Commons Attribution (CC BY) license (https://creativecommons.org/licenses/by/4.0/).
Share and Cite
Dugdale, R.C.; Parker, A.E.; Wilkerson, F.P. Patterns in Anthropogenic Nitrogen and Water Quality Leading to Phytoplankton Blooms in Urban Estuaries. J. Mar. Sci. Eng. 2024, 12, 2029. https://doi.org/10.3390/jmse12112029
Dugdale RC, Parker AE, Wilkerson FP. Patterns in Anthropogenic Nitrogen and Water Quality Leading to Phytoplankton Blooms in Urban Estuaries. Journal of Marine Science and Engineering. 2024; 12(11):2029. https://doi.org/10.3390/jmse12112029
Chicago/Turabian StyleDugdale, Richard C., Alexander E. Parker, and Frances P. Wilkerson. 2024. "Patterns in Anthropogenic Nitrogen and Water Quality Leading to Phytoplankton Blooms in Urban Estuaries" Journal of Marine Science and Engineering 12, no. 11: 2029. https://doi.org/10.3390/jmse12112029
APA StyleDugdale, R. C., Parker, A. E., & Wilkerson, F. P. (2024). Patterns in Anthropogenic Nitrogen and Water Quality Leading to Phytoplankton Blooms in Urban Estuaries. Journal of Marine Science and Engineering, 12(11), 2029. https://doi.org/10.3390/jmse12112029

