Predefined-Time Hybrid Tracking Control for Dynamic Positioning Vessels Based on Fully Actuated Approach
Abstract
1. Introduction
- The introduction of FAS approaches into the ship’s dynamic positioning (DP) system converts the tracking problem into an error calibration problem and simplifies the design of the controller.
- A predefined-time control term is designed for the error system to ensure that the DP ship stabilizes within the predefined-time, and a nonlinear RESO is constructed to perform feedforward compensation for the system.
- A comprehensive design of a predefined-time hybrid controller with a conservative switching time is presented, allowing the system to operate without the need for estimating the upper bound of perturbations post-smooth conversion. The system is decoupled through the configuration of a linear control matrix, ensuring high control accuracy and robust performance.
2. Preliminary Knowledge
2.1. Nonlinear Mathematical Model of Dynamic Positioning Ships
2.2. Fully Actuated Approach
3. Predefined-Time Hybrid Controller Design
3.1. Transformation of the DP Ship Model
3.2. Reduced Order Expansion State Gauge Design
3.3. Design of Predefined-Time Tracking Control Term
3.4. System Smooth Switching Control Scheme and Control Matrix Parametric Designs
4. System Stability Analysis
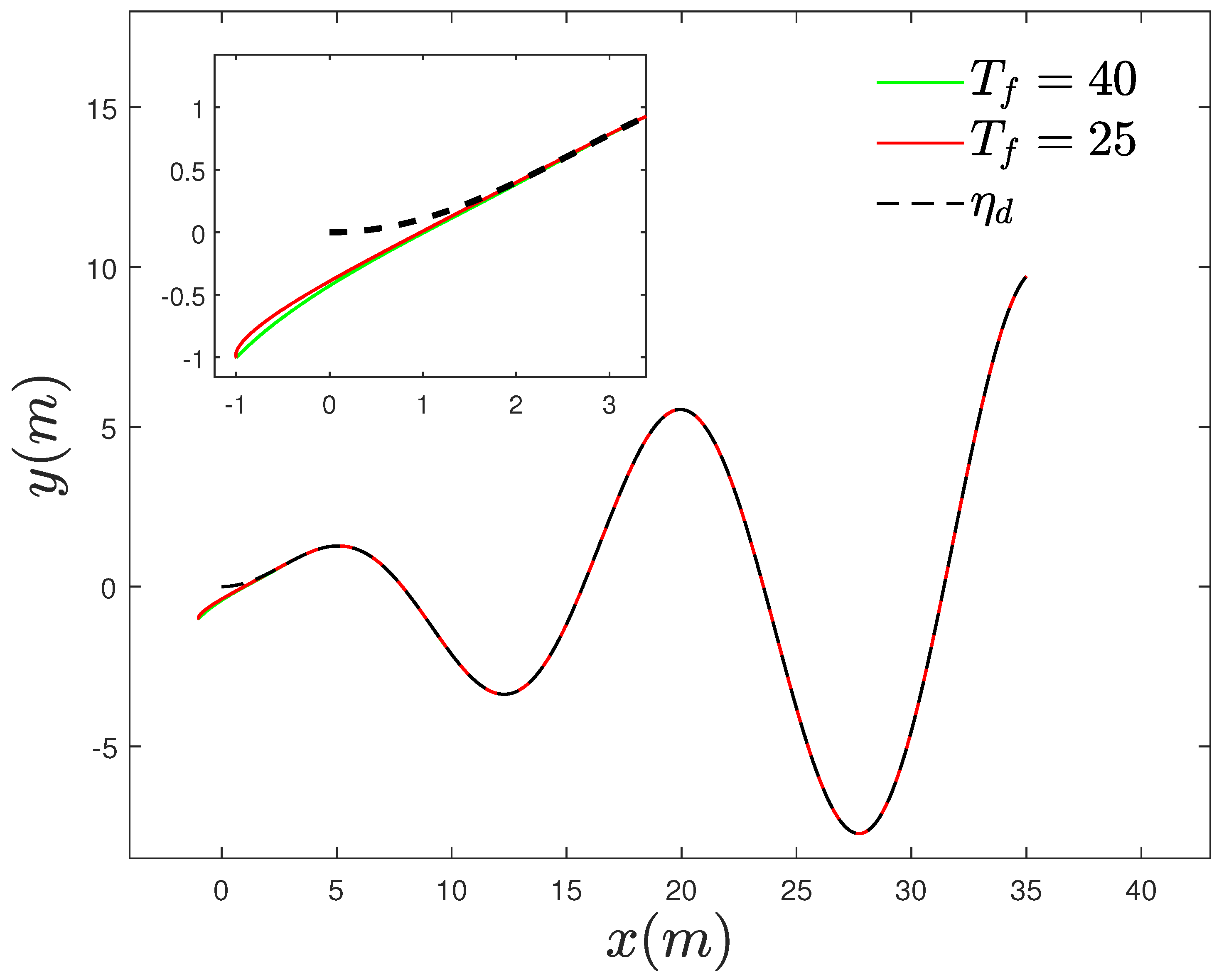
5. System Simulation and Analysis
6. Conclusions
Author Contributions
Funding
Institutional Review Board Statement
Informed Consent Statement
Data Availability Statement
Conflicts of Interest
References
- Hall, S.J.; Hilborn, R.; Andrew, N.L.; Allison, E.H. Innovations in Capture Fisheries Are an Imperative for Nutrition Security in the Developing World. Proc. Natl. Acad. Sci. USA 2013, 110, 8393–8398. [Google Scholar] [CrossRef] [PubMed]
- Arkema, K.K.; Verutes, G.M.; Wood, S.A.; Clarke-Samuels, C.; Rosado, S.; Canto, M.; Rosenthal, A.; Ruckelshaus, M.; Guannel, G.; Toft, J.; et al. Embedding Ecosystem Services in Coastal Planning Leads to Better Outcomes for People and Nature. Proc. Natl. Acad. Sci. USA 2015, 112, 7390–7395. [Google Scholar] [CrossRef] [PubMed]
- Gao, X.; Li, T. Dynamic Positioning Control for Marine Crafts: A Survey and Recent Advances. J. Mar. Sci. Eng. 2024, 12, 362. [Google Scholar] [CrossRef]
- Mu, D.; Feng, Y.; Wang, G. State-Unknown Single Parameter Learning Adaptive Output Feedback Control for Ship Dynamic Positioning. Ocean Eng. 2022, 266, 112811. [Google Scholar] [CrossRef]
- Xia, G.; Liu, C.; Zhao, B.; Chen, X.; Shao, X. Finite Time Output Feedback Control for Ship Dynamic Positioning Assisted Mooring Positioning System with Disturbances. Int. J. Control Autom. Syst. 2019, 17, 2948–2960. [Google Scholar] [CrossRef]
- Zhang, Y.; Zhang, J.; Sui, B. Robust Fixed-Time Adaptive Fault-Tolerant Control for Dynamic Positioning of Ships with Thruster Faults. Appl. Sci. 2024, 14, 5738. [Google Scholar] [CrossRef]
- Zhu, G.; Du, J. Global Robust Adaptive Trajectory Tracking Control for Surface Ships Under Input Saturation. IEEE J. Ocean. Eng. 2020, 45, 442–450. [Google Scholar] [CrossRef]
- Wang, N.; Karimi, H.R.; Li, H.; Su, S.-F. Accurate Trajectory Tracking of Disturbed Surface Vehicles: A Finite-Time Control Approach. IEEE-ASME Trans. Mechatron. 2019, 24, 1064–1074. [Google Scholar] [CrossRef]
- Fan, Y.; Qiu, B.; Liu, L.; Yang, Y. Global Fixed-Time Trajectory Tracking Control of Underactuated USV Based on Fixed-Time Extended State Observer. ISA Trans. 2023, 132, 267–277. [Google Scholar] [CrossRef]
- Do, K.D.; Jiang, Z.P.; Pan, J. Underactuated Ship Global Tracking under Relaxed Conditions. IEEE Trans. Autom. Control 2002, 47, 1529–1536. [Google Scholar] [CrossRef]
- Lee, T.C.; Jiang, Z.P. New Cascade Approach for Global κ-Exponential Tracking of Underactuated Ships. IEEE Trans. Autom. Control 2004, 49, 2297–2303. [Google Scholar] [CrossRef]
- Amato, F.; Ariola, M.; Cosentino, C. Finite-Time Stabilization via Dynamic Output Feedback. Automatica 2006, 42, 337–342. [Google Scholar] [CrossRef]
- Song, J.; Niu, Y.; Zou, Y. Finite-Time Stabilization via Sliding Mode Control. IEEE Trans. Autom. Control 2017, 62, 1478–1483. [Google Scholar] [CrossRef]
- Sun, Z.-Y.; Shao, Y.; Chen, C.-C. Fast Finite-Time Stability and Its Application in Adaptive Control of High-Order Nonlinear System. Automatica 2019, 106, 339–348. [Google Scholar] [CrossRef]
- Li, H.; Zhao, S.; He, W.; Lu, R. Adaptive Finite-Time Tracking Control of Full State Constrained Nonlinear Systems with Dead-Zone. Automatica 2019, 100, 99–107. [Google Scholar] [CrossRef]
- Polyakov, A.; Hetel, L. Relay Control Design for Robust Stabilization in a Finite-Time. IEEE Trans. Autom. Control 2017, 62, 1985–1991. [Google Scholar] [CrossRef]
- Meng, Q.; Ma, Q.; Shi, Y. Adaptive Fixed-Time Stabilization for a Class of Uncertain Nonlinear Systems. IEEE Trans. Autom. Control 2023, 68, 6929–6936. [Google Scholar] [CrossRef]
- Muñoz-Vázquez, A.J.; Sánchez-Torres, J.D.; Gutiérrez-Alcalá, S.; Jiménez-Rodríguez, E.; Loukianov, A.G. Predefined-Time Robust Contour Tracking of Robotic Manipulators. J. Frankl. Inst. 2019, 356, 2709–2722. [Google Scholar] [CrossRef]
- Muñoz-Vázquez, A.J.; Sánchez-Torres, J.D.; Gutiérrez-Alcalá, S.; Jiménez-Rodríguez, E.; Loukianov, A.G. Predefined-Time Robust Stabilization of Robotic Manipulators. IEEE/ASME Trans. Mechatron. 2019, 24, 1033–1040. [Google Scholar] [CrossRef]
- Wu, C.; Yan, J.; Shen, J.; Wu, X.; Xiao, B. Predefined-Time Attitude Stabilization of Receiver Aircraft in Aerial Refueling. IEEE Trans. Circuits Syst. II 2021, 68, 3321–3325. [Google Scholar] [CrossRef]
- Yao, Q.; Li, Q.; Huang, M.; Jahanshahi, H. Predefined-Time Trajectory Tracking Control of Free-Flying Space Manipulator Subject to Uncertainties and Disturbances. Ocean Eng. 2023, 284, 115030. [Google Scholar] [CrossRef]
- Xie, S.; Chen, Q. Predefined-Time Disturbance Estimation and Attitude Control for Rigid Spacecraft. IEEE Trans. Circuits Syst. II-Express Briefs 2024, 71, 2089–2093. [Google Scholar] [CrossRef]
- Wang, Z.; Ma, J.; Wang, C. Predefined-Time Guaranteed Performance Attitude Tracking Control for Uncertain Rigid Spacecraft. IET Control Theory Appl. 2022, 16, 1807–1819. [Google Scholar] [CrossRef]
- Zhang, G.; Fu, M.; Xu, Y.; Li, J.; Zhang, W.; Fan, Z. Finite-Time Trajectory Tracking Control of Dynamic Positioning Ship Based on Discrete-Time Sliding Mode with Decoupled Sampling Period. Ocean Eng. 2023, 284, 115030. [Google Scholar] [CrossRef]
- Li, M.-Y.; Xu, J.; Xie, W.-B.; Wang, H.-B. Finite-Time Composite Learning Control for Trajectory Tracking of Dynamic Positioning Vessels. Ocean Eng. 2022, 262, 112288. [Google Scholar] [CrossRef]
- Tang, L.; Liu, J.; Wang, L.; Wang, Y. Robust Fixed-Time Trajectory Tracking Control of the Dynamic Positioning Ship with Actuator Saturation. Ocean Eng. 2023, 284, 115199. [Google Scholar] [CrossRef]
- Duan, G. High-Order System Approaches: II. Controllability and Full-Actuation. Acta Autom. Sin. 2020, 46, 1571–1581. [Google Scholar]
- Duan, G. High-Order Fully Actuated System Approaches: Part I. Models and Basic Procedure. Int. J. Syst. Sci. 2021, 52, 422–435. [Google Scholar] [CrossRef]
- Duan, G. High-Order Fully Actuated System Approaches: Part VII. Controllability, Stabilisability and Parametric Designs. Int. J. Syst. Sci. 2021, 52, 3091–3114. [Google Scholar] [CrossRef]
- Yang, Y.; Du, J.; Liu, H.; Guo, C.; Abraham, A. A Trajectory Tracking Robust Controller of Surface ships With Disturbance Uncertainties. IEEE Trans. Control Syst. Technol. 2014, 22, 1511–1518. [Google Scholar] [CrossRef]
- Polycarpou, M.M. Stable Adaptive Neural Control Scheme for Nonlinear Systems. IEEE Trans. Autom. Control 1996, 41, 447–451. [Google Scholar] [CrossRef]
- Duan, G. High-Order System Approaches: I. Fully-Actuated Systems and Parametric Designs. Acta Autom. Sinica. 2020, 46, 1333–1345. [Google Scholar]
- Duan, G. High-Order Fully Actuated System Approaches: Part III. Robust Control and High-Order Backstepping. Int. J. Syst. Sci. 2021, 52, 952–971. [Google Scholar] [CrossRef]
- Wu, T.; Shi, S.; Zhang, D.; Shao, X. On Backstepping Control for a Class of Multiple Uncertain Systems with Reduced-Order ESO. Int. J. Control 2023, 96, 309–320. [Google Scholar] [CrossRef]
- Skjetne, R.; Smogeli, Ø.; Fossen, T.I. Modeling, Identification, and Adaptive Maneuvering of CyberShip II: A Complete Design with Experiments. IFAC Proc. Vol. 2004, 37, 203–208. [Google Scholar] [CrossRef]
- Qin, J.; Du, J.; Li, J. Adaptive Finite-Time Trajectory Tracking Event-Triggered Control Scheme for Underactuated Surface Vessels Subject to Input Saturation. IEEE Trans. Intell. Transp. Syst. 2023, 24, 8809–8819. [Google Scholar] [CrossRef]
- Liang, C.-D.; Ge, M.-F.; Liu, Z.-W.; Zhan, X.-S.; Park, J.H. Predefined-Time Stabilization of T-S Fuzzy Systems: A Novel Integral Sliding Mode-Based Approach. IEEE Trans. Fuzzy Syst. 2022, 30, 4423–4433. [Google Scholar] [CrossRef]









| Parametric | Value | Parametric | Value | Parametric | Value |
|---|---|---|---|---|---|
| m | 23.800 | ||||
| −0.72253 | |||||
| −2.0 | |||||
| −1.32742 | |||||
| −5.86643 | |||||
| 0.046 |
| Parametric | Value | Parametric | Value | Parametric | Value | Parametric | Value |
|---|---|---|---|---|---|---|---|
| Ts | 0.01 | 2 | 2 | 1.5 | |||
| diag([1, 1.5, 2.2]) | 0.5 | 2 | Unknown | ||||
| (0) | [0, 0, 0] | 0.4 | 0.1 | diag([1248, 768, 640]) | |||
| (0) | [−1; −1; 0] | 1 | 0.1 | diag([76, 64, 88]) | |||
| p | [0.5; 0.05; 0.5] | 1 | 0.1 | ||||
| 5 | 5 | 3.5 |
Disclaimer/Publisher’s Note: The statements, opinions and data contained in all publications are solely those of the individual author(s) and contributor(s) and not of MDPI and/or the editor(s). MDPI and/or the editor(s) disclaim responsibility for any injury to people or property resulting from any ideas, methods, instructions or products referred to in the content. |
© 2024 by the authors. Licensee MDPI, Basel, Switzerland. This article is an open access article distributed under the terms and conditions of the Creative Commons Attribution (CC BY) license (https://creativecommons.org/licenses/by/4.0/).
Share and Cite
Xu, Y.; Wang, Y.; Fu, M.; Chen, H. Predefined-Time Hybrid Tracking Control for Dynamic Positioning Vessels Based on Fully Actuated Approach. J. Mar. Sci. Eng. 2024, 12, 2025. https://doi.org/10.3390/jmse12112025
Xu Y, Wang Y, Fu M, Chen H. Predefined-Time Hybrid Tracking Control for Dynamic Positioning Vessels Based on Fully Actuated Approach. Journal of Marine Science and Engineering. 2024; 12(11):2025. https://doi.org/10.3390/jmse12112025
Chicago/Turabian StyleXu, Yujie, Yingjie Wang, Mingyu Fu, and Hao Chen. 2024. "Predefined-Time Hybrid Tracking Control for Dynamic Positioning Vessels Based on Fully Actuated Approach" Journal of Marine Science and Engineering 12, no. 11: 2025. https://doi.org/10.3390/jmse12112025
APA StyleXu, Y., Wang, Y., Fu, M., & Chen, H. (2024). Predefined-Time Hybrid Tracking Control for Dynamic Positioning Vessels Based on Fully Actuated Approach. Journal of Marine Science and Engineering, 12(11), 2025. https://doi.org/10.3390/jmse12112025

