Design and Computational Modelling of AUV Tunnel Thruster Covers for Efficient Operation
Abstract
1. Introduction
2. Contribution
3. Materials and Methods
3.1. Cover Geometry
3.2. AUV Body Geometries
3.3. Hydrodynamic Phenomena of Interest
3.4. Computational Fluid Dynamics Model
3.5. Convergence and Validation
4. Results
4.1. Drag Coefficients
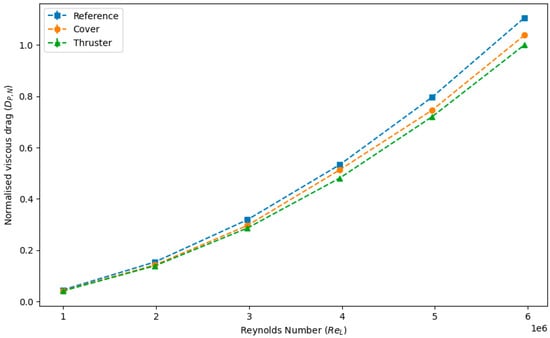
4.2. Normalised Drag Forces
4.3. Flow Fields
5. Discussion
6. Conclusions
Author Contributions
Funding
Data Availability Statement
Acknowledgments
Conflicts of Interest
Appendix A
| Speed [m/s] | Force [Kg·F] 1 | Pressure [Pa] | RPM 1 | [m/s] |
|---|---|---|---|---|
| 3.00 | 6.70 | 20,044 | 3907 | 15.55 |
| 2.50 | 5.43 | 16,236 | 3229 | 12.85 |
| 2.00 | 4.34 | 12,989 | 2651 | 10.55 |
| 1.50 | 3.26 | 9741 | 2074 | 8.25 |
| 1.00 | 2.17 | 6494 | 1496 | 5.96 |
| 0.50 | 1.09 | 3247 | 919 | 3.66 |
References
- Bovio, D.C.E.; Baralli, F. Autonomous underwater vehicles for scientific and naval operations. Annu. Rev. Control 2006, 30, 117–130. [Google Scholar] [CrossRef]
- Stefan, O.P.; Williams, B.; Steinberg, D.M.; Friedman, A.; Bryson, M. Reflections on a decade of autonomous underwater vehicles operations for marine survey at the Australian Centre for Field Robotics. Annu. Rev. Control 2016, 42, 117–130. [Google Scholar] [CrossRef]
- Campbell, K.J.; Kinnear, S.; Thame, A. AUV technology for seabed characterization and geohazards assessment. Lead. Edge 2015, 34, 170–178. [Google Scholar] [CrossRef]
- Cooper-Baldock, Z.; Santos, P.E.; Brinkworth, R.S.A.; Sammut, K. Payload bay berthing of underwater vehicles with a larger XLUUV. In Proceedings of the 7th Submarine Science Technology and Engineering Conference (SubSTEC7), Adelaide, Australia, 18–20 September 2023; Volume 1, pp. 97–104, ISBN 970-0-9944841-4-7. [Google Scholar]
- Xiang, C.Y.X.; Zhang, Q.; Wilson, P.A.; Xu, G. Manoeuvring-based actuation evaluation of an AUV with control surfaces and through-body thrusters. Appl. Ocean Res. 2020, 96, 102046. [Google Scholar] [CrossRef]
- Nicholson, J.W.; Healey, A.J. The present state of autonomous underwater vehicle (AUV) applications and technologies. Mar. Technol. Soc. J. 2008, 42, 1–124. [Google Scholar] [CrossRef]
- Patil, P.V.; Khan, M.K.; Korulla, M.; Nagarajan, V.; Sha, O.P. Design optimization of an AUV for performing depth control maneuver. Ocean Eng. 2022, 266, 112929. [Google Scholar] [CrossRef]
- Bellingham, J.G.; Zhang, Y.; Kerwin, J.E.; Erikson, J.; Hobson, B.; Kieft, B.; Godin, M.; McEwen, R.; Hoover, T.; Paul, J.; et al. Efficient propulsion for the Tethys long-range autonomous underwater vehicle. In Proceedings of the 2010 IEEE/OES Autonomous Underwater Vehicles, Monterey, CA, USA, 1–3 September 2010; pp. 1–7. [Google Scholar] [CrossRef]
- Nagashima, Y.; Taguchi, N.; Ishimatsu, T.; Mizokami, T. Development of a Compact Autonomous Underwater Vehicle Using Variable Vector Propeller. In Proceedings of the 12th International Offshore and Polar Engineering Conference, Kitakyushu, Japan, 26–31 May 2002. ISOPE-I-02-176. [Google Scholar]
- Du, X.; Cui, H.; Zhang, Z. Dynamics model and maneuverability of a novel AUV with a deflectable duct propeller. Ocean Eng. 2018, 163, 191–206. [Google Scholar] [CrossRef]
- Stevenson, P.; Graham, D. Advanced materials and their influence on the structural design of AUVs. In The Technology and Applications of Autonomous Underwater Vehicles; Taylor & Francis: Abingdon, UK, 2003; pp. 77–91. [Google Scholar]
- Steenson, L.V.; Phillips, A.B.; Furlong, M.; Rogers, E.; Turnock, S.R. Maneuvering of an over-actuated autonomous underwater vehicle using both through-body tunnel thrusters and control surfaces. In Proceedings of the 17th International Undersea Untethered Submersible Technology Conference, Portsmouth, NH, USA, 21–24 August 2011; Available online: https://nora.nerc.ac.uk/id/eprint/307875 (accessed on 15 September 2024).
- Steenson, L.V.; Phillips, A.B.; Furlong, M.; Rogers, E.; Turnock, S.R. The performance of vertical tunnel thrusters on an autonomous underwater vehicle operating near the free surface in waves. In Proceedings of the Second International Symposium on Marine Propulsors, Hamburg, Germany, 15–17 June 2011; Available online: https://nora.nerc.ac.uk/id/eprint/307855 (accessed on 15 September 2024).
- Eguchi, Y.Y.K.; Yasuda, S.; Awaya, I.; Adachi, T.; Yamauchi, Y. Low-speed and low-altitude AUV control. In Proceedings of the 2020 IEEE/OES Autonomous Underwater Vehicles Symposium, St. Johns, NL, Canada, 30 September–2 October 2020; pp. 1–5. [Google Scholar] [CrossRef]
- Cavallo, E.; Michelini, R. A robotic equipment for the guidance of a vectored thruster AUV. In Proceedings of the 35th International Symposium on Robotics ISR, Paris, France, 23–26 March 2004; Volume 1, pp. 1–6. [Google Scholar]
- Korde, U.A. Study of a jet-propulsion method for an underwater vehicle. Ocean Eng. 2004, 31, 1205–1218. [Google Scholar] [CrossRef]
- Odetti, A.; Altosole, M.; Bruzzone, G.; Caccia, M.; Viviani, M. Design and Construction of a Modular Pump-Jet Thruster for Autonomous Surface Vehicle Operations in Extremely Shallow Water. J. Mar. Sci. Eng. 2019, 7, 222. [Google Scholar] [CrossRef]
- Choi, J.-K.; Kondo, H. On fault-tolerant control of a hovering AUV with four horizontal and two vertical thrusters. In Proceedings of the OCEANS’10 IEEE SYDNEY, Sydney, NSW, Australia, 24–27 May 2010; pp. 1–6. [Google Scholar] [CrossRef]
- Saunders, A.; Nahon, M. The effect of forward vehicle velocity on through-body AUV tunnel thruster performance. In Proceedings of the OCEANS’02 MTS/IEEE, Biloxi, MI, USA, 29–31 October 2002; pp. 250–259. [Google Scholar] [CrossRef]
- Desai, M.; Halder, A.; Benedict, M.; Young, Y.L. A control scheme for 360° thrust vectoring of cycloidal propellers with forward speed. Ocean Eng. 2022, 249, 110833. [Google Scholar] [CrossRef]
- Mazlan, A.; Naddi, A. A Fully Actuated Tail Propulsion System for a Biomimetic Autonomous Underwater Vehicle. Ph.D. Thesis, University of Glasgow, Glasgow, UK, 2015. [Google Scholar]
- Bansal, P. Theoretical and Experimental Investigation of Magneto Hydrodynamic Propulsion for Ocean Vehicles. Master’s Thesis, Virginia Polytechnic Institute and State University, Blacksburg, VA, USA, 2018. [Google Scholar]
- Mojarrad, M. AUV biomimetic propulsion. In Proceedings of the OCEANS 2000 MTS/IEEE Conference and Exhibition, Providence, RI, USA, 11–14 September 2000; Volume 3, pp. 2141–2146. [Google Scholar] [CrossRef]
- Matsumoto, M.; Kuwajima, Y.; Shigemune, H. Soft-skin actuator capable of seawater propulsion based on magnetohydrodynamics. In Proceedings of the 2022 IEEE/RSJ International Conference on Intelligent Robots and Systems (IROS), Kyoto, Japan, 23–27 October 2022; pp. 10059–10065. [Google Scholar] [CrossRef]
- Kartidjo, M.W.; Manullang, R.A.M.; Jaya, A.S. Hydrodynamic design and analysis of low drag hybrid AUV-ITB. In Proceedings of the International Conference on Intelligent Unmanned Systems, Beijing, China, 27–29 August 2019. [Google Scholar]
- Miller, L.M.; Njaka, T.; Brizzolara, S.; Curtin, T. Drag reduction and power optimization due to an innovative toroidal hull form of an AUV. In Proceedings of the International Workshop on Ship and Marine Hydrodynamics, Espoo, Finland, 28 August–1 September 2023; Volume 1288. [Google Scholar] [CrossRef]
- D’Epagnier, K.P. AUV propellers: Optimal design and improving existing propellers for greater efficiency. In Proceedings of the OCEANS 2006, Boston, MA, USA, 18–21 September 2006; pp. 1–7. [Google Scholar] [CrossRef]
- Gucer, C.A.; Acar, O.; Kantarcioglu, B.; Ulu, C. Thruster design for unmanned underwater vehicles. J. Selcuk.-Tech. 2020, 19, 196–208. [Google Scholar]
- Krishnan, A.K.S.; Kadiyam, J.; Mohan, S. Comparative performance investigations of the intervention-class underwater vehicle with different possible thruster configurations using eight identical thrusters. Ocean. Eng. 2023, 288, 116147. [Google Scholar] [CrossRef]
- Xu, D.; Yan, Z.; Xie, H.; Lu, L.; Xiao, Z.; Han, B. Demand-driven optimization method for thruster configuration of underwater vehicles considering capability boundary and system efficiency. Ocean. Eng. 2024, 310, 118749. [Google Scholar] [CrossRef]
- Gasparoto, H.F.; Chocron, O.; Benbouzid, M.; Meirelles, P.S. Advances in reconfigurable vectorial thrusters for adapative underwater robots. J. Mar. Sci. Eng. 2021, 9, 170. [Google Scholar] [CrossRef]
- Li, C.; Guo, S.; Guo, J. Performance Evaluation of a hybrid thruster for spherical underwater robots. IEEE Trans. Instrum. Meas. 2022, 71, 7503110. [Google Scholar] [CrossRef]
- Li, S.; Chu, Z. Structural design of thruster for deep-sea underwater vehicle. Int. Core J. Eng. 2022, 8, 547–553. [Google Scholar] [CrossRef]
- Liu, T.; Hu, Y.; Xu, H. Investigation of an underwater vectored thruster based on 3RPS parallel manipulator. Math. Probl. Eng. 2020, 2020, 9287241. [Google Scholar] [CrossRef]
- Panda, J.P.; Mitra, A.; Warrior, H.V. A review on the hydrodynamic characteristics of autonomous underwater vehicles. Proc. Inst. Mech. Eng. Part M J. Eng. Marit. Environ. 2020, 235, 1. [Google Scholar] [CrossRef]
- Luo, W.; Guo, X.; Dai, J.; Rao, T. Hull optimization of an underwater vehicle based on dynamic surrogate model. Ocean Eng. 2021, 230, 109050. [Google Scholar] [CrossRef]
- Hou, S.; Zhang, Z.; Lian, H.; Xing, X.; Gong, X.; Xu, X. Hull shape optimization of small underwater vehicle based on kriging-based response surface method and multi-objective optimization algorithm. Brodogr. Int. J. Nav. Archit. Ocean Eng. Res. Dev. 2022, 73, 3. [Google Scholar] [CrossRef]
- Lin, G.; Yang, Y.; He, Z.; Jiao, P. Hydrodynamic optimization in high-acceleration underwater motions using added-mass coefficient. Ocean Eng. 2022, 263, 112274. [Google Scholar] [CrossRef]
- Lavimi, R.; Le Hocine, A.E.B.; Poncet, S.; Marcos, B.; Panneton, R. Hull shape optimization of autonomous underwater vehicles using a fully turbulent continuous adjoint solver. Ocean Eng. 2024, 312, 119256. [Google Scholar] [CrossRef]
- Bontempo, R.; Cardone, M.; Manna, M.; Vorraro, G. A comparison of nonlinear actuator disk methods for the performance analysis of ducted marine propellers. Proc. Inst. Mech. Eng. Part A J. Power Energy 2015, 229, 539–548. [Google Scholar] [CrossRef]
- Bontempo, R.; Manna, M. Actuator disc methods for open propellers: Assessments of numerical methods. Eng. Appl. Comput. Fluid Mech. 2016, 11, 42–53. [Google Scholar] [CrossRef]
- BlueRobotics, T200 Public Performance Data. Available online: https://bluerobotics.com/store/thrusters/t100-t200-thrusters/t200-thruster-r2-rp/ (accessed on 10 June 2024).
- Sadraey, M.; Müller, D. Drag force and drag coefficient. In Aircraft Performance Analysis; College of Engineering, Technology and Aeronautics, Southern New Hampshire University: Hooksett, NH, USA, 2009; Chapter 3. [Google Scholar]
- Zaidi, M.; Taiar, R.; Polidori, G. Turbulence model choice for the calculation of drag forces when using the CFD method. J. Biomech. 2010, 43, 405–411. [Google Scholar] [CrossRef]
- Abdellah, E.; Bo, W. CFD analysis on effect of front windshield angle on aerodynamic drag. Mater. Sci. Eng. 2017, 231, 012173. [Google Scholar] [CrossRef]
- Hartwanger, D.; Horvat, A. 3D modelling of a wind turbine using CFD. In Proceedings of the NAFEMS Conference, UK, Cheltenham, UK, 10–11 June 2008. [Google Scholar]
- Cooper-Baldock, Z.; Santos, P.E.; Brinkworth, R.S.A.; Sammut, K. Hydrodynamic analysis of payload bay berthing for underwater vehicles. IEEE J. Ocean Eng. 2024, 49, 727–748. [Google Scholar] [CrossRef]
- Alfonsi, G. Reynolds-averaged Navier-Stokes equations for turbulence modelling. Appl. Mech. Rev. 2009, 62, 4. [Google Scholar] [CrossRef]
- Shih, T.H.; Liou, W.W.; Shabbir, A.; Yang, Z.; Zhu, J. A new k-e eddy viscosity model for high Reynolds number turbulent flows—Model development and validation. Comput. Fluids 1995, 24, 227–238. [Google Scholar] [CrossRef]
- Pan, Y.C.; Zhang, H.X.; Zhou, Q.D. Numerical prediction of submarine hydrodynamic coefficients using CFD simulation. J. Hydrodyn. 2012, 24, 840–847. [Google Scholar] [CrossRef]
- Phillips, A.B.; Turnock, S.R.; Furlong, M. Influence of turbulence closure models on the vortical flow field around a submarine body undergoing steady drift. J. Mar. Sci. Technol. 2010, 15, 201–217. [Google Scholar] [CrossRef]
- University of Washington, Modelling Turbulence. 2006. Available online: https://courses.washington.edu/mengr544/handouts-10/Fluent-k-epsilon.pdf (accessed on 16 June 2024).
- Joung, T.H.; Sammut, K.; He, F.; Lee, S.K. Shape optimization of an autonomous underwater vehicle with a ducted propeller using computational fluid dynamics analysis. Int. J. Naval Archit. Ocean Eng. 2012, 4, 44–56. [Google Scholar] [CrossRef]
- International Towing Tank Conference. ITTC—Recommended Procedures and Guidelines: Resistance Test. 7.5-02-02-01. 2011. Revision 3, pp. 1–13. Available online: https://ittc.info/media/1217/75-02-02-01.pdf (accessed on 15 September 2024).
- Hai, H.; Zexing, Z.; Jiyong, L.; Qirong, T.; Wanli, Z.; Wang, G. Investigation on the mechanical design and manipulation hydrodynamics for a small sized, single body and streamlined I-AUV. Ocean Eng. 2019, 186, 1–13. [Google Scholar] [CrossRef]
- Penkov, I.; Aleksandrov, D. Propeller shrouding influence on lift force of mini unmanned quadcopter. Int. J. Automot. Mech. Eng. 2017, 14, 4486–4495. [Google Scholar] [CrossRef]













| Variable | Sizing [Unit] |
|---|---|
| AUV length | 2.000 [m] |
| AUV diameter | 0.110 [m] |
| Tunnel diameter | 0.076 [m] |
| Tunnel cover depth | 0.003 [m] |
| Wetted area (reference) | 0.701 [m2] |
| Wetted area (tunnel) | 0.753 [m2] |
| Wetted area (cover) | 0.706 [m2] |
| Mesh Cell Count | Inflation Layers | Maximum Allowable Cell Sizes | ||
|---|---|---|---|---|
| Domain | Inner | Propeller | ||
| 465,197 | 15 | 0.500 [m] | 0.150 [m] | 0.040 [m] |
| 1,012,565 | 15 | 0.500 [m] | 0.100 [m] | 0.035 [m] |
| 7,184,031 | 15 | 0.500 [m] | 0.030 [m] | 0.012 [m] |
| 16,214,647 | 15 | 0.500 [m] | 0.030 [m] | 0.010 [m] |
| Mesh Cell Count | Drag Force Fluctuation () | Drag Coefficient Fluctuation () |
|---|---|---|
| 1,012,565 | 4.10% | 4.10% |
| 7,184,031 | 1.58% | 1.58% |
| 16,214,647 | 1.15% | 1.15% |
Disclaimer/Publisher’s Note: The statements, opinions and data contained in all publications are solely those of the individual author(s) and contributor(s) and not of MDPI and/or the editor(s). MDPI and/or the editor(s) disclaim responsibility for any injury to people or property resulting from any ideas, methods, instructions or products referred to in the content. |
© 2024 by the authors. Licensee MDPI, Basel, Switzerland. This article is an open access article distributed under the terms and conditions of the Creative Commons Attribution (CC BY) license (https://creativecommons.org/licenses/by/4.0/).
Share and Cite
McNeill, C.; Cooper-Baldock, Z.; Sammut, K. Design and Computational Modelling of AUV Tunnel Thruster Covers for Efficient Operation. J. Mar. Sci. Eng. 2024, 12, 2021. https://doi.org/10.3390/jmse12112021
McNeill C, Cooper-Baldock Z, Sammut K. Design and Computational Modelling of AUV Tunnel Thruster Covers for Efficient Operation. Journal of Marine Science and Engineering. 2024; 12(11):2021. https://doi.org/10.3390/jmse12112021
Chicago/Turabian StyleMcNeill, Christopher, Zachary Cooper-Baldock, and Karl Sammut. 2024. "Design and Computational Modelling of AUV Tunnel Thruster Covers for Efficient Operation" Journal of Marine Science and Engineering 12, no. 11: 2021. https://doi.org/10.3390/jmse12112021
APA StyleMcNeill, C., Cooper-Baldock, Z., & Sammut, K. (2024). Design and Computational Modelling of AUV Tunnel Thruster Covers for Efficient Operation. Journal of Marine Science and Engineering, 12(11), 2021. https://doi.org/10.3390/jmse12112021

